还剩45页未读,
继续阅读
成套系列资料,整套一键下载
- 2021_2022学年新教材高中数学过程性评价五十三第五章三角函数5.5.2简单的三角恒等变换二课时练习课件新人教A版必修第一册 课件 0 次下载
- 2021_2022学年新教材高中数学过程性评价五十一第五章三角函数5.5.1第3课时两角和与差的正弦余弦正切公式二课时练习课件新人教A版必修第一册 课件 0 次下载
- 2021_2022学年新教材高中数学单元形成性评价二课时练习课件新人教A版必修第一册 课件 0 次下载
- 2021_2022学年新教材高中数学单元形成性评价三课时练习课件新人教A版必修第一册 课件 0 次下载
- 2021_2022学年新教材高中数学单元形成性评价一课时练习课件新人教A版必修第一册 课件 0 次下载
2021_2022学年新教材高中数学单元形成性评价四课时练习课件新人教A版必修第一册
展开
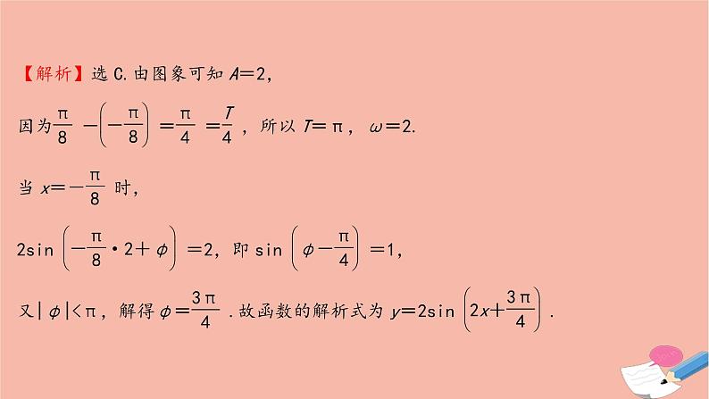
单元形成性评价(四)(第五章)(120分钟 150分)本课结束
相关课件
人教A版 (2019)必修 第一册1.3 集合的基本运算集体备课课件ppt: 这是一份人教A版 (2019)必修 第一册1.3 集合的基本运算集体备课课件ppt,共25页。

