- 2021_2022学年新教材高中数学第3章圆锥曲线与方程3.33.3.2抛物线的几何性质课件苏教版选择性必修第一册 课件 1 次下载
 - 2021_2022学年新教材高中数学第3章圆锥曲线与方程3.33.3.1抛物线的标准方程课件苏教版选择性必修第一册 课件 2 次下载
 - 2021_2022学年新教材高中数学第4章数列4.34.3.3第2课时等比数列前n项和的性质及应用课件苏教版选择性必修第一册 课件 1 次下载
 - 2021_2022学年新教材高中数学第4章数列4.24.2.3第2课时等差数列前n项和的性质课件苏教版选择性必修第一册 课件 1 次下载
 - 2021_2022学年新教材高中数学第4章数列4.1第2课时数列的递推公式课件苏教版选择性必修第一册 课件 1 次下载
 
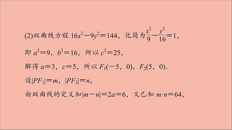
高中数学苏教版 (2019)选择性必修第一册第3章 圆锥曲线与方程本章综合与测试课文内容ppt课件
展开章末综合提升第3章 圆锥曲线与方程巩固层·知识整合NO.1提升层·题型探究NO.2类型1类型2类型3类型4体验层·真题感悟NO.31352421345213453124531245312454123541235245132451324513245132451324513谢谢观看 THANK YOU!
高中数学苏教版 (2019)选择性必修第一册3.3 抛物线课堂教学ppt课件: 这是一份高中数学苏教版 (2019)选择性必修第一册3.3 抛物线课堂教学ppt课件,共26页。PPT课件主要包含了思维导图·构建网络,考点整合·素养提升等内容,欢迎下载使用。
苏教版 (2019)选择性必修第一册第1章 直线与方程本章综合与测试课文ppt课件: 这是一份苏教版 (2019)选择性必修第一册第1章 直线与方程本章综合与测试课文ppt课件,共42页。PPT课件主要包含了巩固层·知识整合,NO1,提升层·题型探究,NO2,类型1,类型2,类型3,类型4,体验层·真题感悟,NO3等内容,欢迎下载使用。
高中数学苏教版 (2019)选择性必修第一册第5章 导数及其应用本章综合与测试集体备课ppt课件: 这是一份高中数学苏教版 (2019)选择性必修第一册第5章 导数及其应用本章综合与测试集体备课ppt课件,共60页。PPT课件主要包含了巩固层·知识整合,NO1,提升层·题型探究,NO2,类型1,类型2,类型3,类型4,体验层·真题感悟,NO3等内容,欢迎下载使用。

