所属成套资源:2022高考数学解题技巧题型培优10讲
- 第3讲 解三角形(原卷版)+解析版 试卷 5 次下载
- 第4讲 数列(原卷版)+解析版 试卷 3 次下载
- 第6讲 离心率(原卷版)+解析版 试卷 4 次下载
- 第7讲 点差法(原卷版)+解析版 试卷 5 次下载
- 第8讲 外接球与内切球(原卷版)+解析版 试卷 14 次下载
第5讲 焦点三角形(原卷版)+解析版
展开
这是一份第5讲 焦点三角形(原卷版)+解析版,文件包含第5讲焦点三角形原卷版docx、第5讲焦点三角形解析版pdf等2份试卷配套教学资源,其中试卷共30页, 欢迎下载使用。
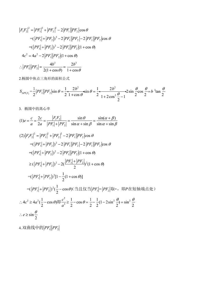
第5讲 焦点三角形一.技巧内容 椭圆双曲线图形周长2a+2c 离心率二.技巧推导过程1.2.椭圆中焦点三角形的面积公式 椭圆中的离心率4.5.双曲线中焦点三角形的面积公式6.双曲线中的离心率技巧1 焦点三角形的周长【例1】(2020·黑龙江)已知点分别是椭圆的左、右焦点,点在此椭圆上,则的周长等于( )A.20 B.16 C.18 D.14 【举一反三】1.(2020·西藏南木林县第一中学高三月考)若椭圆(其中a>b>0)的离心率为,两焦点分别为F1,F2,M为椭圆上一点,且△F1F2M的周长为16,则椭圆C的方程为( )A. B. C. D. 2.(2019·广西南宁)定义:椭圆上一点与两焦点构成的三角形为椭圆的焦点三角形,已知椭圆的焦距为,焦点三角形的周长为,则椭圆的方程是__________. 技巧2 焦点三角形的面积【例2-1】(2020·安徽省定远中学)已知椭圆的左、右焦点分别为、,为椭圆上一点,且,若的面积为9,则__________. 【例2-2】(2020·山西大同)已知、为双曲线的左、右焦点,点P在C上,,则的面积为 【举一反三】1.(2020·云南陆良)已知、为双曲线C:的左、右焦点,点P在C上,∠P=,则( )A.2 B.4 C.6 D.8 2(2020·广东汕头)若椭圆上一点P与椭圆的两个焦点、的连线互相垂直,则的面积为( )A.36 B.16 C.20 D.243.(2020·上海普陀·高三三模)设为双曲线()的上一点,,(为左、右焦点),则的面积等于( )A. B. C. D.技巧3 焦点三角形的离心率【例3-1】设椭圆的左、右焦点分别为,是上的点,,,则的离心率为 ( )A. B. C. D. 【例3-2】(2020·河北衡水中学)已知分别是椭圆的左、右焦点,若椭圆上存在点,使,则椭圆的离心率的取值范围为( )A. B. C. D. 【举一反三】1.(2020·沙坪坝·重庆一中高三月考(理))已知点P在以为左,右焦点的椭圆上,在中,若,,则( )A. B. C. D. 2.(2020·安徽合肥·高三二模(文))记,为椭圆的两个焦点,若上存在点满足,则实数取值范围是( )A. B.C. D.1.(2020·全国高三单元测试)已知F1,F2是椭圆+=1的两焦点,过点F2的直线交椭圆于A,B两点.在△AF1B中,若有两边之和是10,则第三边的长度为 ( )A.6 B.5 C.4 D.3 2.(2020·广西钦州一中)设椭圆C:(a>0,b>0)的左、右焦点分别为,,离心率为.P是C上一点,且⊥.若的面积为4,则a=( )A.1 B.2 C.4 D.8 3.(2020·河南高三其他(文))椭圆的左、右焦点分别为,,椭圆上的点满足:,且,则( )A.1 B.C. D.2.4.(2020·黑龙江绥化·高三其他(理))已知对任意正实数m,n,p,q,有如下结论成立:若,则有成立,现已知椭圆上存在一点P,,为其焦点,在中,,,则椭圆的离心率为( )A. B. C. D. 5.(2020·山西临汾)已知椭圆的左,右焦点分别为,若上的点到的距离为,则△的面积为( )A. B. C. D. 6.(2020·陆川中学)已知,分别是椭圆的左、右焦点,若椭圆上存在点,使得,则该椭圆的离心率的取值范围是( )A. B. C. D. 7.(2020·全国高三一模(文))设椭圆的两焦点为,,若椭圆上存在点,使,则椭圆的离心率的最小值为( )A. B. C. D. 8.(2019·江西南昌十中))已知点F1,F2分别是椭圆C1和双曲线C2的公共焦点,e1,e2分别是C1和C2的离心率,点P为C1和C2的一个公共点,且,若,则e1的取值范围是( )A. B. C. D. 9.(2020·伊美区第二中学)设是双曲线的两个焦点,是双曲线上的一点,且,则的面积等于( )A. B.C.24 D.48 10.(2020·四川青羊·树德中学高二月考(文))设、分别为双曲线的左、右焦点,双曲线上存在一点使得,,则该双曲线的离心率为( )A. B. C. D. 11.(2020·吉林松原·高三其他(文))已知点是双曲线上一点,,分别为双曲线的左、右焦点,若的外接圆半径为4,且为锐角,则( )A.15 B.16 C.18 D.20 12.(2020·陕西省丹凤中学高三一模(理))设,分别是双曲线的左右焦点.若点在双曲线上,且,则等于( )A. B. C. D. 13.(2020·陕西高三其他(文))已知双曲线:(,)的左、右焦点分别为,,点在双曲线的右支上,若,则的取值范围是( )A. B. C. D. 14.(2020·河北张家口·高三期末(理))已知双曲线的焦点为,,点为双曲线上一点,若,,则双曲线的离心率为( )A. B. C. D. 15.(2020·全国高三一模(理))已知F1,F2是双曲线E:的左,右焦点,点M在E上,M F1与轴垂直,sin ,则E的离心率为( )A. B.C. D.2 16.(2019·平罗中学高三二模(理))已知,是双曲线E:的左、右焦点,点M在E上,与x轴垂直,,则双曲线E的离心率为 A. B. C.2 D.317.(2020·陕西西安·高三其他(理))已知椭圆的两个焦点是、,点是椭圆上一点,且,则的面积是______. 18.(2020·全国高二课时练习)设是椭圆上一点,分别是椭圆的左、右焦点,若,则的大小_____.19.已知是椭圆的左,右焦点,点在上,且,则的面积为______.
相关试卷
这是一份新高考数学二轮复习圆锥曲线专题突破提升练习第1讲 圆锥曲线第一定义与焦点三角形(2份打包,原卷版+解析版),文件包含新高考数学二轮复习圆锥曲线专题突破提升练习第1讲圆锥曲线第一定义与焦点三角形原卷版doc、新高考数学二轮复习圆锥曲线专题突破提升练习第1讲圆锥曲线第一定义与焦点三角形解析版doc等2份试卷配套教学资源,其中试卷共15页, 欢迎下载使用。
这是一份2024届高考数学-第1讲 圆锥曲线第一定义与焦点三角形(原卷版),共4页。
这是一份2024届高考数学-第1讲 圆锥曲线第一定义与焦点三角形(解析版),共13页。

