所属成套资源:2022高考数学解题技巧题型培优10讲
- 第1讲 函数相关技巧(原卷版)+解析版 试卷 4 次下载
- 第2讲 平面向量(原卷版)+解析版 试卷 3 次下载
- 第4讲 数列(原卷版)+解析版 试卷 3 次下载
- 第5讲 焦点三角形(原卷版)+解析版 试卷 4 次下载
- 第6讲 离心率(原卷版)+解析版 试卷 4 次下载
第3讲 解三角形(原卷版)+解析版
展开
这是一份第3讲 解三角形(原卷版)+解析版,文件包含第3讲解三角形原卷版docx、第3讲解三角形解析版docx等2份试卷配套教学资源,其中试卷共24页, 欢迎下载使用。
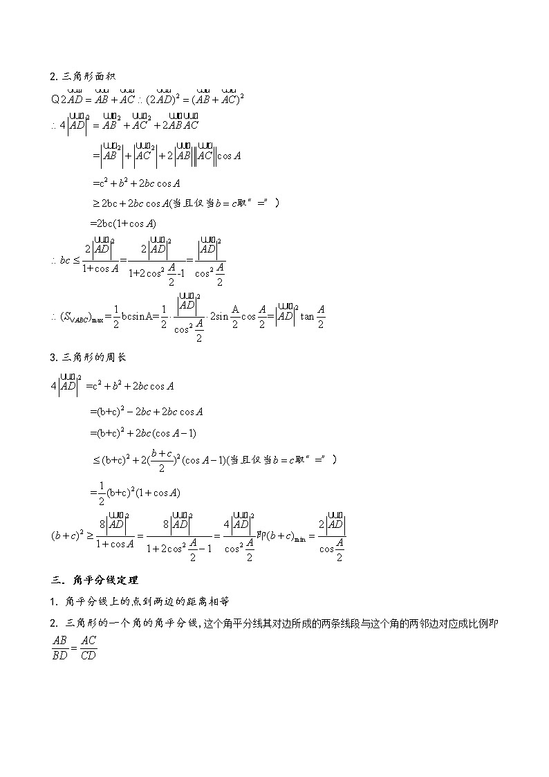
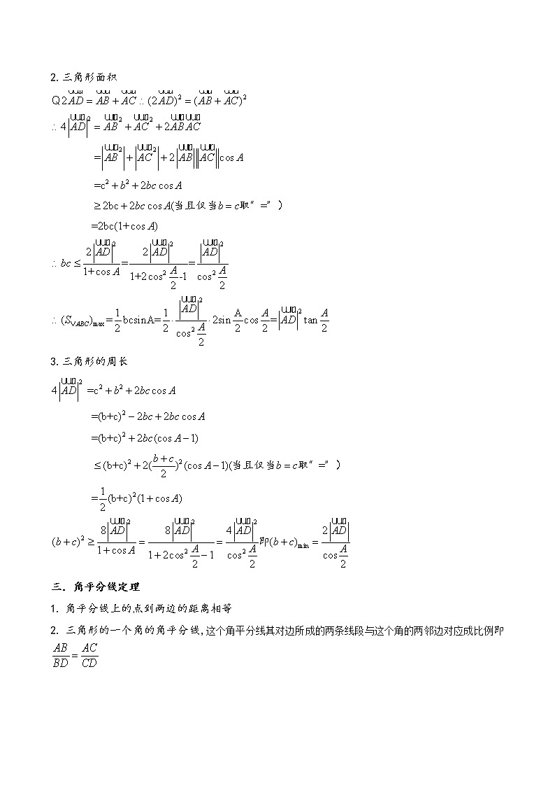
第3讲 解三角形一.射影内容二.中线定理1.中线定理推导2.三角形面积3.三角形的周长三.角平分线定理角平分线上的点到两边的距离相等三角形的一个角的角平分线,这个角平分线其对边所成的两条线段与这个角的两邻边对应成比例即技巧一 三角形的射影定理【例1】(2017•新课标Ⅱ)的内角,,的对边分别为,,,若,则 .【答案】【解析】技巧法:由射影定理可得,,,故答案为:常规法:,由正弦定理可得,,,,,,故答案为:【举一反三】1.(2020•青岛模拟)在中,内角,,所对的边分别是,,,若,且,则B= 【答案】【解析】技巧法:由射影定理可得,因为,则.常规法:因为,由正弦定理可得,,因为,所以,所以,因为,则.2(2020•安徽模拟)在中,角,,的对边分别为,,.若,,,则的面积为 。【答案】 【解析】技巧法:由射影定理可得,,得.,解得.则的面积.常规法:,,,即,,解得,,解得.,解得.则的面积.3(2020•南充模拟)的内角,,的对边分别为,,,若,则内角C= 。【答案】【解析】技巧法:由射影定理可得故,又,所以.常规法:由正弦定理得:,即,即,由于,故,又,所以.技巧2 三角形的中线定理【例2】(2020·梅河口市第五中学高三(理))在中,,已知边上的中线,则面积的最大值为__________.【答案】.【解析】技巧法:常规法:在△ABC中,,BC边上的中线AD=3,,设AB=c,AC=b,平方可得 9=. 化简可得,,∴bc≤36,当且仅当时成立,故△ABC的面积S= 故答案为【举一反三】1.(2020·广东高三月考(理))在中,,已知BC边上的中线,则面积的最大值为______.【答案】【解析】技巧法:常规法:中,,边上的中线长为3,,设,,平方可得:,化简可得,,可得:,故的面积.故答案为:.2.(2020·全国)在锐角三角形中,角、、的对边分别为、、,向量,,且.(1)求角;(2)若,且的面积为,求边上的中线的大小.【答案】(1);(2).【解析】(1)因为,,,所以,由正弦定理得.因为,所以,所以,因为,所以;(2)因为的面积为,所以,因为,,所以.在中,为的中点,,由余弦定理得.所以.技巧3 角平分线的定理【例3】(2020·梅河口市第五中学)已知中,.是的角平分线,交于.(Ⅰ)求的值;(Ⅱ)求的长.【答案】(I);(II).【解析】(Ⅰ)在中,,在中,因为是的角平分线,所以(Ⅱ)法一:由题知,所以 ,所以法二: 所以【举一反三】1.(2019·江苏)在中,,,角A的角平分线,则______.【答案】【解析】由题意,,,角的角平分线,在中,由正弦定理:,可得,则,所以,那么,则,所以.在中,由正弦定理:,所以.可得.故答案为:.2.(2020·梅河口市第五中学高一期末(文))已知中,是的角平分线,交于.(1)求 的值; (2)若,求.【答案】(1);(2).【解析】(1)在中, ,在中,,因为是的角平分线,所以.(2)设,则,所以,所以,所以.3.(2019·河南高考模拟(理))在中,,,为的内角平分线,.(Ⅰ)求的值(Ⅱ)求角的大小【答案】(Ⅰ)2;(Ⅱ).【解析】(Ⅰ)在三角形ABD中,由正弦定理得:在三角形ACD中,由正弦定理得:因为(Ⅱ)在三角形ABD中,由余弦定理得在三角形ACD中,由余弦定理得又解得又1.(2020春•上饶月考)在中,角,,的对边分别是,,,且面积为,若,,则角等于 【答案】 【解析】技巧法:由射影定理可得所以,故,,,,故,则角.常规法:因为,由正弦定理可得,,即,因为,所以,故,,,,故,则角.2.(2020春•路南区校级月考)在中,内角,,所对的边分别为,,,且.若,的面积为,则b+c= 【答案】4 【解析】技巧法:由射影定理可得所以即,所以,,所以,因为,由余弦定理可得,,故.常规法:因为.由正弦定理可得,.因为,所以即,所以,,所以,因为,由余弦定理可得,,故.3.(2019·福建高三(理))已知为等腰三角形,,边上的中线的长为7,则的面积为__________.【答案】【解析】【分析】先设等腰三角形的腰长为,进而可得底边的长,再由余弦定理列出方程,即可求出,从而可得结果.【详解】设等腰三角形的腰长为,因为,所以,由余弦定理可得:,,因为与互补,所以,即,解得,所以,所以故答案为4.(2020·本溪市燕东高级中学)已知三角形两边长分别为和,第三边上的中线长为,则三角形的外接圆半径为________.【答案】1【解析】分析:设AB=1,AC=,AD=1,D为BC边的中点,BC=2x,则BD=DC=x,由余弦定理求出cos∠ADB,cos∠ADC通过cos∠ADB=﹣cos∠ADC,代入可求BC,则可得A=90°,外接圆的直径2R=BC,从而可求结果.详解:设AB=1,AC=,AD=1,D为BC边的中点,BC=2x,则BD=DC=x,△ABD中,由余弦定理可得cos∠ADB=,△ADC中,由余弦定理可得,cos∠ADC=,因为cos∠ADB=﹣cos∠ADC所以=﹣∴x=1∴BC=2∴AB2+AC2=BC2即A=90°∴外接圆的直径2R=BC=2,从而可得R=1故答案为:1.5.(2020·浙江省杭州第二中学高三)中,,,,则边上的中线长_______.【答案】1【解析】设,,,由余弦定理得:,所以,或(舍去),在中,,由余弦定理得:,所以.故答案为:.6.(2020·商丘市第一高级中学)在中,,.边上的中线,则_____.【答案】【解析】技巧法:常规法:设,中,,中, ,,,解得:,,中,,,.故答案为:7.(2020·新疆高三月考(理))在中,已知,,BC边上的中线,则________.【答案】【解析】如图所示,由中线长定理可得:,由余弦定理得到:,即.联立成方程组,解得:,故由可得,.故答案为:8.(2019·浙江)若锐角的面积为,则边上的中线为_________.【答案】【解析】技巧法:锐角的面积为,,,则:,解得:,所以:,所以:,解得:.根据中线定理可得常规法:锐角的面积为,,,则:,解得:,所以:,所以:,解得:.在中,利用余弦定理:,在中,利用余弦定理:得:,解得:故答案为9.(2019·辽宁高三(理))已知△,,,是边上的中线,且,则的长为__________.【答案】【解析】取AB中点E,因为D为BC中点,所以,由余弦定理得,即10.(2020·全国高三月考(理))在中,角的平分线长,角,,则__________.【答案】.【解析】设角B的平分线为,由正弦定理得,即,得,,,.即答案为.11.(2020·滨海县八滩中学高三)在中,,,的角平分线,则________.【答案】【解析】由正弦定理可得,所以.在中,所以,所以在中.又因为,所以.所以,所以=,所以.12.(2020·全国)在中,,的角平分线交于点,若,,则______.【答案】【解析】在△ABC中,由余弦定理得.所以.所以.在△ABD中,由正弦定理得.故答案为:.13.(2020·安徽高三月考(理))在中,已知,,,角的平分线交边于,则______.【答案】【解析】作出图形,如下图,分别过点和点作的垂线,垂足为,因为为角的平分线,,所以,则,,则,又 ,所以,即.故答案为:.
相关试卷
这是一份(新高考)高考数学三轮冲刺解答题核心考点练第3讲《解三角形》(2份打包,解析版+原卷版),文件包含新高考高考数学三轮冲刺解答题核心考点练第3讲《解三角形》解析版doc、新高考高考数学三轮冲刺解答题核心考点练第3讲《解三角形》原卷版doc等2份试卷配套教学资源,其中试卷共31页, 欢迎下载使用。
这是一份新高考数学二轮专题《解三角形》第2讲 面积(2份打包,解析版+原卷版),文件包含新高考数学二轮专题《解三角形》第2讲面积解析版doc、新高考数学二轮专题《解三角形》第2讲面积原卷版doc等2份试卷配套教学资源,其中试卷共13页, 欢迎下载使用。
这是一份新高考数学二轮专题《解三角形》第3讲 判断三角形形状(2份打包,解析版+原卷版),文件包含新高考数学二轮专题《解三角形》第3讲判断三角形形状解析版doc、新高考数学二轮专题《解三角形》第3讲判断三角形形状原卷版doc等2份试卷配套教学资源,其中试卷共18页, 欢迎下载使用。

