资料中包含下列文件,点击文件名可预览资料内容




还剩5页未读,
继续阅读
所属成套资源:浙江省A9协作体-2022学年高二上学期期中联考试卷及答案
成套系列资料,整套一键下载
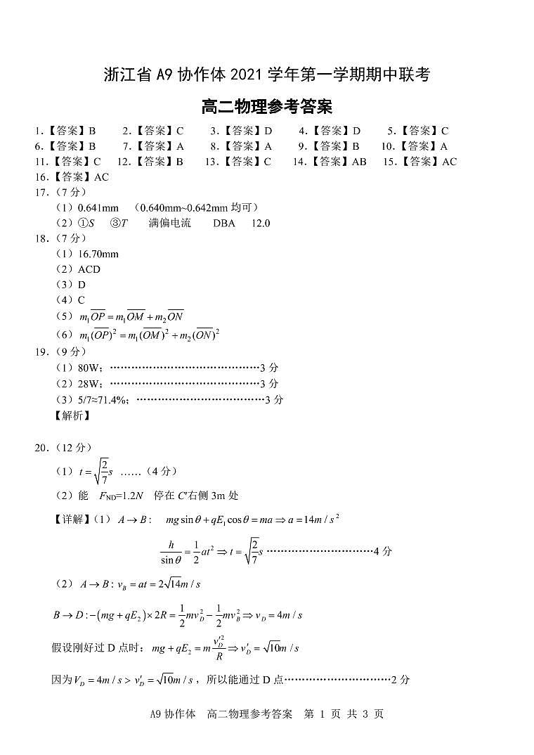
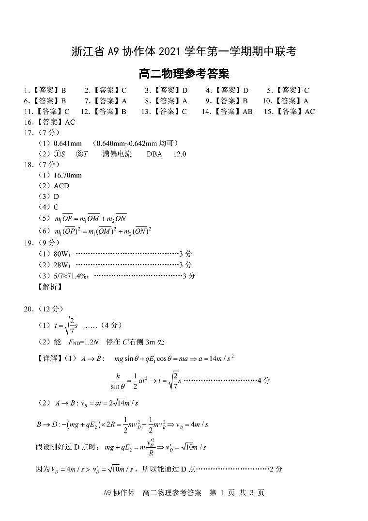
浙江省A9协作体2021-2022学年高二上学期期中联考物理试题扫描版含答案
展开
这是一份浙江省A9协作体2021-2022学年高二上学期期中联考物理试题扫描版含答案,文件包含A9鐗╃悊绛旀锛堥珮浜岋級pdf、鐗╃悊pdf等2份试卷配套教学资源,其中试卷共11页, 欢迎下载使用。
相关试卷
2024浙江省A9协作体高二上学期期中联考物理试题含答案:
这是一份2024浙江省A9协作体高二上学期期中联考物理试题含答案,文件包含浙江省A9协作体2023-2024学年高二上学期期中联考物理试题docx、浙江省A9协作体2023-2024学年高二上学期期中联考物理答案docx等2份试卷配套教学资源,其中试卷共9页, 欢迎下载使用。
2024浙江省A9协作体高二上学期期中联考物理试题含答案:
这是一份2024浙江省A9协作体高二上学期期中联考物理试题含答案,文件包含浙江省A9协作体2023-2024学年高二上学期期中联考物理试题docx、浙江省A9协作体2023-2024学年高二上学期期中联考物理答案docx等2份试卷配套教学资源,其中试卷共9页, 欢迎下载使用。
浙江省A9协作体2023-2024学年高二上学期期中联考物理试题(解析版):
这是一份浙江省A9协作体2023-2024学年高二上学期期中联考物理试题(解析版),共22页。试卷主要包含了考试结束后,只需上交答题卷等内容,欢迎下载使用。