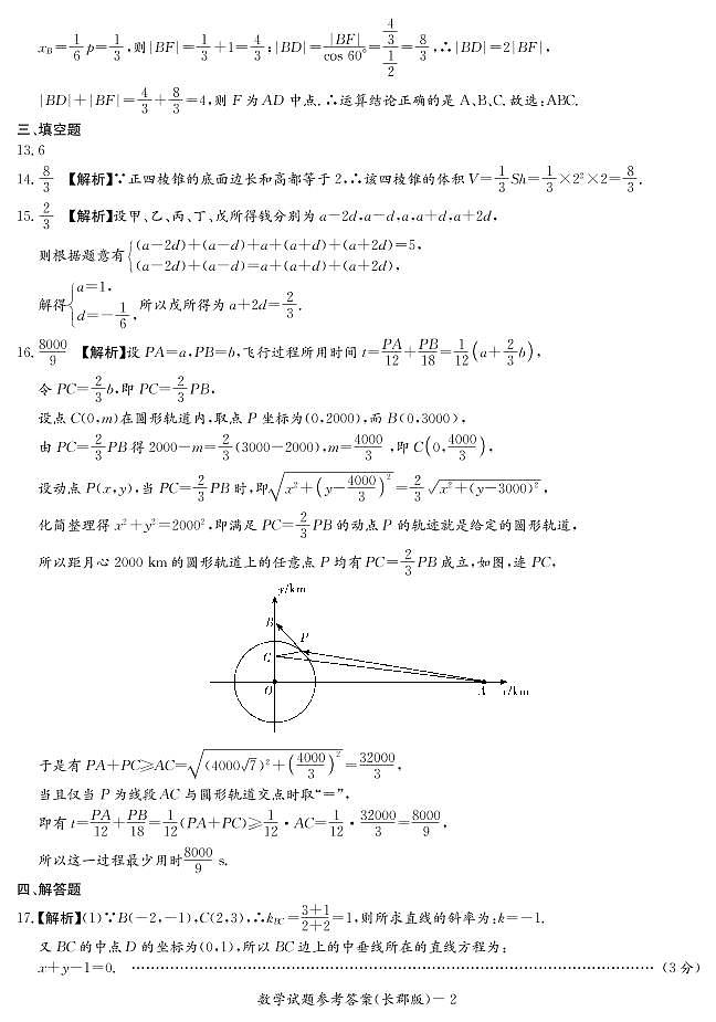
湖南省长郡中学2021-2022学年高二第一学期期中考试数学试题(含答案)
展开2020-2021学年湖南省长沙市长郡中学高二上学期期中考试数学试题: 这是一份2020-2021学年湖南省长沙市长郡中学高二上学期期中考试数学试题,共14页。
湖南省长沙市长郡中学2021-2022学年高二上学期入学考试数学试题: 这是一份湖南省长沙市长郡中学2021-2022学年高二上学期入学考试数学试题,文件包含数学试卷长郡高二入学pdf、数学答案长郡高二入学pdf等2份试卷配套教学资源,其中试卷共14页, 欢迎下载使用。
2021-2022学年湖南省长沙市长郡中学高二上学期入学考试数学试题(PDF版): 这是一份2021-2022学年湖南省长沙市长郡中学高二上学期入学考试数学试题(PDF版),共14页。

