资料中包含下列文件,点击文件名可预览资料内容
还剩5页未读,
继续阅读
湖南省长沙市长郡中学2021-2022学年上学期高二期中考试数学试卷
展开
这是一份湖南省长沙市长郡中学2021-2022学年上学期高二期中考试数学试卷,文件包含长郡中学2021年下学期高二期中考试数学答案pdf、长郡中学2021年下学期高二期中考试数学试卷pdf等2份试卷配套教学资源,其中试卷共12页, 欢迎下载使用。
相关试卷
2021-2022学年湖南省长沙市长郡中学高二(上)期末数学试卷:
这是一份2021-2022学年湖南省长沙市长郡中学高二(上)期末数学试卷,共20页。试卷主要包含了单项选择题,多项选择题,填空题,解答题等内容,欢迎下载使用。
2022-2023学年湖南省怀化市长沙市长郡中学等校高三(上)开学数学试卷:
这是一份2022-2023学年湖南省怀化市长沙市长郡中学等校高三(上)开学数学试卷,共18页。试卷主要包含了选择题,填空题,解答题等内容,欢迎下载使用。
2021-2022学年湖南省长沙市长郡中学高二(上)入学数学试卷:
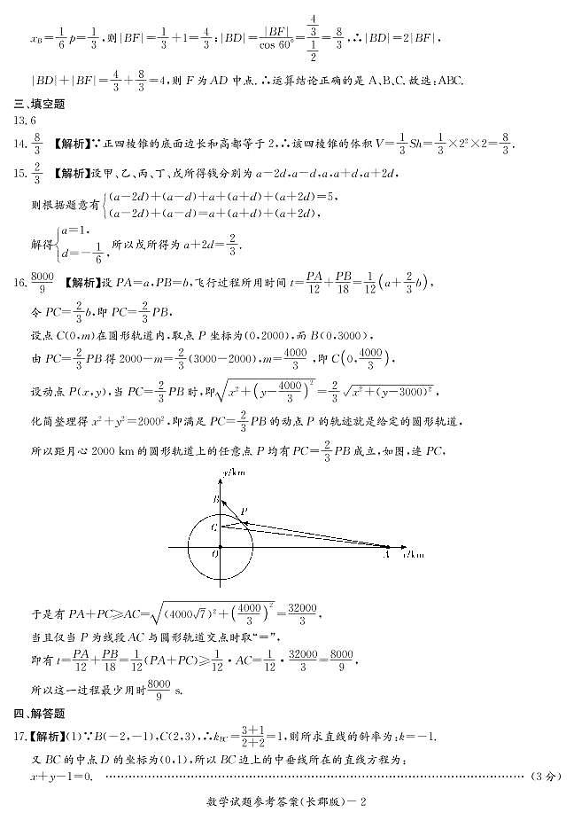
这是一份2021-2022学年湖南省长沙市长郡中学高二(上)入学数学试卷,共16页。试卷主要包含了单项选择题,选择题,填空题,解答题等内容,欢迎下载使用。

