还剩17页未读,
继续阅读
沪教版高中一年级 第二学期本节综合课文ppt课件
展开
这是一份沪教版高中一年级 第二学期本节综合课文ppt课件,共25页。
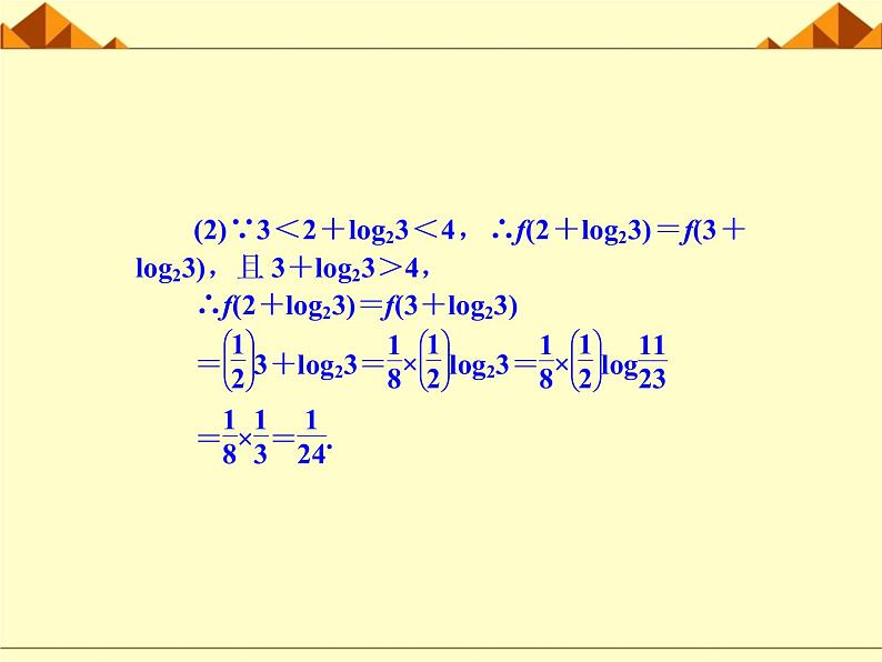
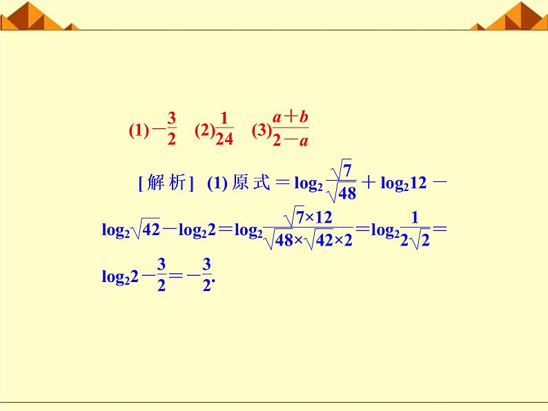
► 探究点1 对数式的化简与求值
► 探究点2 对数函数的图象与性质
[点评] (1)研究函数应确定函数的定义域,这是解函数问题首先必须解决的问题;(2)当对数的底数为参数时,一般地要根据问题的需要进行分类讨论;(3)利用函数的单调性,来脱去“对数”符号,体现了利用函数性质解不等式的一般思考规律.函数的定义域是函数的生命之域,在解决对数问题时,要在函数的定义域内解决,如:
► 探究点3 与指数函数、对数函数有关的大小比较
► 探究点4 对数函数性质的综合应用
相关课件
2021学年本节综合课文课件ppt:
这是一份2021学年本节综合课文课件ppt,共38页。PPT课件主要包含了x=logaN,y=logax,0+∞,-∞+∞,y>0,y<0,增函数,减函数,y=x,答案D等内容,欢迎下载使用。
高中数学沪教版高中一年级 第二学期本节综合课文配套ppt课件:
这是一份高中数学沪教版高中一年级 第二学期本节综合课文配套ppt课件,共33页。PPT课件主要包含了对数及对数运算,logaN,nlogaM,答案1,对数式的运算,对数函数图象及应用,对数函数性质及应用,答案A等内容,欢迎下载使用。
高中数学沪教版高中一年级 第二学期本节综合教课课件ppt:
这是一份高中数学沪教版高中一年级 第二学期本节综合教课课件ppt,共60页。PPT课件主要包含了请注意,nlogaM,logac,logab,x∈0+∞,增函数,减函数等内容,欢迎下载使用。

