2020-2021学年第五章 三角函数本章综合与测试复习ppt课件
展开人教A版 (2019)必修 第一册第三章 函数概念与性质本章综合与测试复习ppt课件: 这是一份人教A版 (2019)必修 第一册第三章 函数概念与性质本章综合与测试复习ppt课件,共36页。
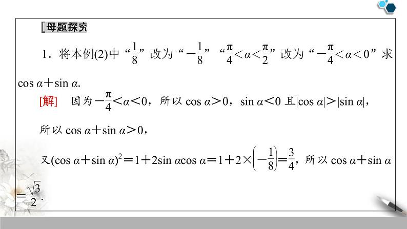
人教A版 (2019)必修 第一册第五章 三角函数本章综合与测试课文内容ppt课件: 这是一份人教A版 (2019)必修 第一册第五章 三角函数本章综合与测试课文内容ppt课件,共26页。PPT课件主要包含了专题一,专题二,专题三,专题四,答案C等内容,欢迎下载使用。
数学人教A版 (2019)3.2 函数的基本性质复习ppt课件: 这是一份数学人教A版 (2019)3.2 函数的基本性质复习ppt课件,共26页。

