







还剩8页未读,
继续阅读
所属成套资源:人教版高中数学必修第二册 同步课件 (含答案)
成套系列资料,整套一键下载
人教A版 (2019)必修 第二册6.2 平面向量的运算授课课件ppt
展开
这是一份人教A版 (2019)必修 第二册6.2 平面向量的运算授课课件ppt,共16页。PPT课件主要包含了复习回顾,对于1因为,整理可得,达标检测等内容,欢迎下载使用。
向量的数乘运算的的结果是向量
平面向量的数量积的定义
平面向量的数量积结果是数量
探究:类比数的乘法运算律,结合向量的线性运算的运算律,你能得到数量积运算的哪些运算律?你能证明吗?
自己证明(1) (2)
设 方向相同的单位向量为 ,则
∴ 向量数量积不满足结合律 .
思考:向量的数量积满足结合律 吗?
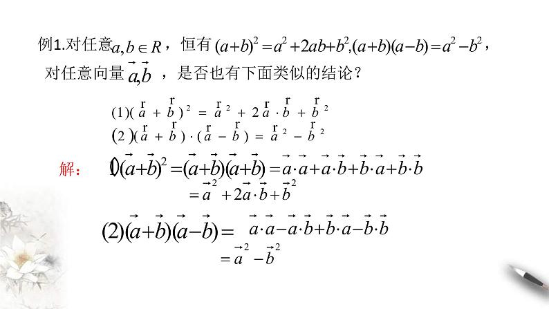
例1.对任意 ,恒有 , 对任意向量 ,是否也有下面类似的结论?
例3.已知 且 与 不共线,当k取何值时,向量 与 互相垂直?
解: 与 互相垂直的充要条件是
所以,当 时, 与 互相垂直。
相关课件
人教A版 (2019)必修 第二册第六章 平面向量及其应用6.2 平面向量的运算说课课件ppt:
这是一份人教A版 (2019)必修 第二册第六章 平面向量及其应用6.2 平面向量的运算说课课件ppt,共21页。PPT课件主要包含了导入新课,精彩课堂,课堂练习,课堂总结等内容,欢迎下载使用。
高中数学人教A版 (2019)必修 第二册6.2 平面向量的运算图片ppt课件:
这是一份高中数学人教A版 (2019)必修 第二册6.2 平面向量的运算图片ppt课件,共28页。
人教A版 (2019)必修 第二册6.2 平面向量的运算习题课件ppt:
这是一份人教A版 (2019)必修 第二册6.2 平面向量的运算习题课件ppt,共51页。PPT课件主要包含了投影向量,a·b,-ab,与向量模有关的问题,点击右图进入等内容,欢迎下载使用。