






还剩8页未读,
继续阅读
所属成套资源:人教版高中数学必修第二册 同步课件 (含答案)
成套系列资料,整套一键下载
人教A版 (2019)必修 第二册6.3 平面向量基本定理及坐标表示图文ppt课件
展开
这是一份人教A版 (2019)必修 第二册6.3 平面向量基本定理及坐标表示图文ppt课件,共15页。PPT课件主要包含了复习回顾,平面向量的正交分解,解如图可知,达标检测等内容,欢迎下载使用。
平面向量基本定理:
有且只有一对实数 、 使
向量,那么对于这一平面内的任一向量
如果 是同一平面内的两个不共线
我们把 叫做表示这一平面内所有向量的一个基底。
把一个向量分解为两个互相垂直的向量,叫作把向量正交分解
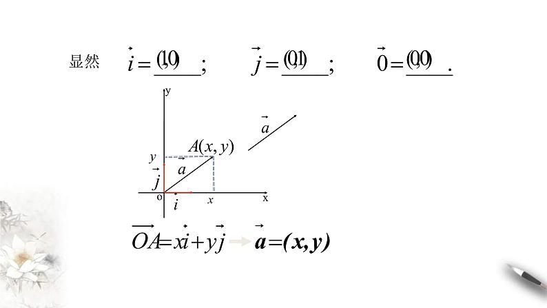
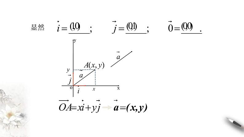
思考:我们知道,在平面直角坐标系中,每一个点都可用一对有序实数对(即它的坐标)表示,那么,如何表示坐标平面内的一个向量呢?
相关课件
人教A版 (2019)必修 第二册6.3 平面向量基本定理及坐标表示背景图课件ppt:
这是一份人教A版 (2019)必修 第二册6.3 平面向量基本定理及坐标表示背景图课件ppt,共30页。PPT课件主要包含了学习目标,回顾旧知,探究新知,向量的正交分解,向量的坐标表示,探究2,解决方案,两者相同,概念理解,巩固新知等内容,欢迎下载使用。
人教A版 (2019)必修 第二册第六章 平面向量及其应用6.3 平面向量基本定理及坐标表示多媒体教学课件ppt:
这是一份人教A版 (2019)必修 第二册第六章 平面向量及其应用6.3 平面向量基本定理及坐标表示多媒体教学课件ppt,共46页。
人教A版 (2019)必修 第二册6.3 平面向量基本定理及坐标表示教学ppt课件:
这是一份人教A版 (2019)必修 第二册6.3 平面向量基本定理及坐标表示教学ppt课件,共25页。PPT课件主要包含了学习目标,新知学习,易错辨析,典例剖析,随堂小测,课堂小结等内容,欢迎下载使用。