人教B版 (2019)必修 第三册7.2.3 同角三角函数的基本关系式学案
展开这是一份人教B版 (2019)必修 第三册7.2.3 同角三角函数的基本关系式学案,共37页。PPT课件主要包含了平方和,三角恒等式的证明等内容,欢迎下载使用。
同角三角函数的基本关系式
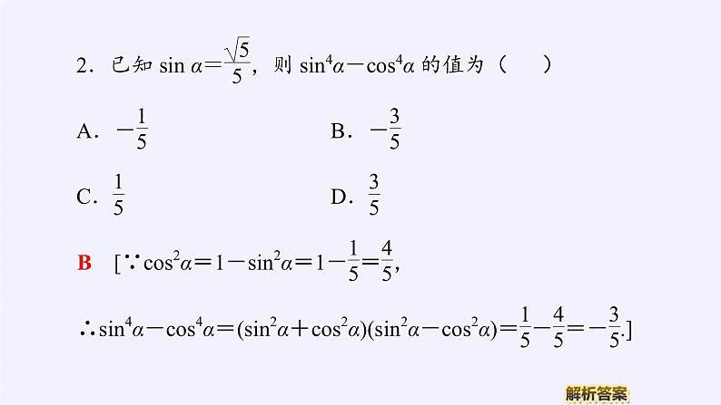
应用同角三角函数关系求值
应用同角三角函数关系化简
相关学案
这是一份数学人教B版 (2019)7.2.3 同角三角函数的基本关系式学案设计,共3页。学案主要包含了学习目标,学习重难点,学习过程,达标检测等内容,欢迎下载使用。
这是一份高中数学人教B版 (2019)必修 第三册7.2.3 同角三角函数的基本关系式导学案,共4页。学案主要包含了学习目标,学习重难点,学习过程,达标检测等内容,欢迎下载使用。
这是一份高中数学人教B版 (2019)必修 第三册第七章 三角函数7.2 任意角的三角函数7.2.3 同角三角函数的基本关系式学案,共8页。学案主要包含了学习目标,学习重难点,学习过程,达标检测,学习小结,参考答案等内容,欢迎下载使用。

