优化提升专题训练(新高考) 正余弦定理及其应用(含答案解析)学案
展开
这是一份优化提升专题训练(新高考) 正余弦定理及其应用(含答案解析)学案,共11页。学案主要包含了知识框图,自主热身,归纳总结,2019年高考浙江卷,2018年高考浙江卷,2020年高考天津,2020年高考浙江,问题探究,变式训练等内容,欢迎下载使用。
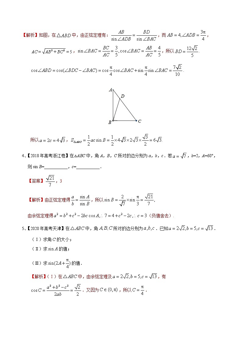
正余弦定理及其应用【知识框图】 【自主热身,归纳总结】1、(2020届山东实验中学高三上期中)在中,若 ,则=( )A.1 B.2 C.3 D.4【答案】A【解析】余弦定理将各值代入得解得或(舍去)选A.2、【2019年高考全国Ⅱ卷理数】的内角的对边分别为.若,则的面积为_________.【答案】【解析】由余弦定理得,所以,即,解得(舍去),3、【2019年高考浙江卷】在中,,,,点在线段上,若,则___________,___________.【答案】,【解析】如图,在中,由正弦定理有:,而,,,所以..所以,4、【2018年高考浙江卷】在△ABC中,角A,B,C所对的边分别为a,b,c.若,b=2,A=60°,则sin B=___________,c=___________.【答案】,3【解析】由正弦定理得,所以由余弦定理得(负值舍去).5、【2020年高考天津】在中,角所对的边分别为.已知.(Ⅰ)求角的大小;(Ⅱ)求的值;(Ⅲ)求的值.【解析】(Ⅰ)在中,由余弦定理及,有.又因为,所以.(Ⅱ)在中,由正弦定理及,可得.(Ⅲ)由及,可得,进而.所以,.6、【2020年高考浙江】在锐角△ABC中,角A,B,C所对的边分别为a,b,C.已知.(Ⅰ)求角B的大小;(Ⅱ)求cosA+cosB+cosC的取值范围.【解析】(Ⅰ)由正弦定理得,故,由题意得.(Ⅱ)由得,由是锐角三角形得.由得.故的取值范围是. 【问题探究,变式训练】题型一 运用正、余弦定理解决边角及面积问题知识点拨:正余弦定理主要是解决三角形的边角问题,在解三角形时要分析三角形中的边角关系,要合理的使用正、余弦定理,要有意识的考虑是运用正弦定理还是余弦定理,就要抓住这两个定理的使用条件。例1、【2020年高考全国III卷理数】在△ABC中,cosC=,AC=4,BC=3,则cosB=A. B. C. D.【答案】A【解析】在中,,,,根据余弦定理:,,可得 ,即,由,故.故选:A.变式1、【2018年高考全国Ⅱ理数】在中,,,,则A. B.C. D.【答案】A【解析】因为所以,故选A.解三角形问题,多为边和角的求值问题,这就需要根据正、余弦定理,结合已知条件,灵活转化为边和角之间的关系,从而达到解决问题的目的.变式2、【2018年高考全国Ⅲ理数】的内角的对边分别为,,,若的面积为,则A. B.C. D.【答案】C【解析】由题可知,所以,由余弦定理,得,因为,所以,故选C.变式3、(2020届山东实验中学高三上期中)在中,分别为内角的对边,若,且,则__________.【答案】4【解析】已知等式,利用正弦定理化简得:,可得,,可解得,余弦定理可得,,可解得,故答案为.变式4、(2020届山东省泰安市高三上期末)在△ABC中,内角A,B,C的对边分别为,若,,则______.【答案】4【解析】∵,∴由正弦定理得,∴,又,∴由余弦定理得,∴,∵为的内角,∴,∴,∴,故答案为:4.题型二、 运用余弦定理研究范围问题知识点拨:余弦定理主要有变求角,经常与不等式结合求角的范围。解三角形的基本策略:一是利用正弦定理实现“边化角”,二是利用余弦定理实现“角化边”;求最值也是一种常见类型,主要方法有两类,一是找到边之间的关系,利用基本不等式求最值,二是转化为关于某个角的函数,利用函数思想求最值.例2、【2019年高考全国Ⅲ卷理数】△ABC的内角A,B,C的对边分别为a,b,c,已知.(1)求B;(2)若△ABC为锐角三角形,且c=1,求△ABC面积的取值范围.【解析】(1)由题设及正弦定理得.因为sinA0,所以.由,可得,故.因为,故,因此B=60°.(2)由题设及(1)知△ABC的面积.由正弦定理得.由于△ABC为锐角三角形,故0°<A<90°,0°<C<90°,由(1)知A+C=120°,所以30°<C<90°,故,从而.因此,△ABC面积的取值范围是.变式1、(2020·山东省淄博实验中学高三上期末)在中,角,,的对边分别为,,,已知.(1)若,的面积为,求,的值;(2)若,且角为钝角,求实数的取值范围.【解析】△ABC中,4acosA=ccosB+bcosC,∴4sinAcosA=sinCcosB+sinBcosC=sin(C+B)=sinA,∴cosA,∴sinA;(1)a=4,∴a2=b2+c2﹣2bc•cosA=b2+c2bc=16①;又△ABC的面积为:S△ABCbc•sinAbc•,∴bc=8②;由①②组成方程组,解得b=4,c=2或b=2,c=4;(2)当sinB=ksinC(k>0),b=kc,∴a2=b2+c2﹣2bc•cosA=(kc)2+c2﹣2kc•c•(k2k+1)c2;又C为钝角,则a2+b2<c2,即(k2k+1)+k2<1,解得0<k;所以k的取值范围是.变式2、(2020届山东省潍坊市高三上学期统考)已知△的内角的对边分别为,若,,则△面积的最大值是A. B. C. D.【答案】B【解析】由题意知,由余弦定理,,故,有,故.故选:B 变式3、(2017常州期末) 在△ABC中,角A,B,C的对边分别为a,b,c,若a2=3b2+3c2-2bcsinA,则C=________.【答案】、 【解析】、因为a2=3b2+3c2-2bcsinA=b2+c2-2bccosA,所以=sinA-cosA=2sin.又=+≥2=2(当且仅当b=c时取等号),2sin≤2当且仅当A=时取等号,故=2sin=2,所以b=c,A=,故C=.解后反思 本题中对所得条件“=sinA-cosA”出现无法转化的现象.这里需要借助三角函数有界性以及基本不等式得到两个方程求出b,c,A.变式4、(2017南京、盐城一模) 在△ABC中,A,B,C所对的边分别为a,b,c,若a2+b2+2c2=8,则△ABC面积的最大值为________.【答案】、 【解析】、思路分析1 注意到a2+b2+2c2=8中a,b是对称的,因此,将三角形的面积表示为S=absinC,利用余弦定理将ab表示为C的形式,进而转化为三角函数来求它的最值.思路分析2 将c看作定值,这样,满足条件的三角形就有无数个,从而来研究点C所满足的条件,为此,建立直角坐标系,从而根据条件a2+b2+2c2=8得到点C的轨迹方程,进而来求出边AB上的高的所满足的条件.解法1 因为cosC===≥,所以ab≤,从而S=absinC≤.设t=,则3t=2sinC+2tcosC=2·sin(C+φ),其中tanφ=t,故3t≤2,解得t≤,所以Smax=,当且仅当a=b=且tanC=时,等号成立.解法2 以AB所在的直线为x轴,它的垂直平分线为y轴,建立如图所示的直角坐标系,则A,B,C(x,y),则由a2+b2+2c2=8得2+y2+2+y2+2c2=8,即x2+y2=4-,即点C在圆x2+y2=4-上,所以S≤r==·≤,当且仅当c2=时取等号,故Smax=. 解法3 设AD=m,BD=n,CD=h,由a2+b2+2c2=8,得m2+h2+n2+h2+2(m+n)2=8≥(m+n)2+2h2+2(m+n)2=(m+n)2+2h2≥2(m+n)h,当且仅当h=m=n时取等号,所以S=(m+n)h≤×=,所以面积的最大值为.解法4 由余弦定理a2+b2-c2=2abcosC,结合a2+b2+2c2=8,得8-3c2=2abcosC,由三角形面积公式得4S=2absinC,两式平方相加得,(8-3c2)2+16S2=4a2b2≤(a2+b2)2=(8-2c2)2,即16S2≤c2(16-5c2)≤,所以S2≤,所以S≤,当且仅当a=b,c2=时取等号,所以面积的最大值为. 题型三、正余弦定理与其它知识点的结合知识点拨:三角函数和平面向量是高中数学的两个重要分支,内容繁杂,且平面向量与三角函数交汇点较多,向量的平行、垂直、夹角、数量积等知识都可以与三角函数进行交汇.不论是哪类向量知识与三角函数的交汇试题,都会出现交汇问题中的难点,对于此类问题的解决方法就是利用向量的知识将条件转化为三角函数中的“数量关系”,再利用三角函数的相关知识进行求例3、(2020届山东省潍坊市高三上学期统考)在中,内角,,所对的边分别为,,,若,,依次成等差数列,则下列结论中不一定成立的是( )A.,,依次成等差数列B.,,依次成等差数列C.,,依次成等差数列D.,,依次成等差数列【答案】ABD【解析】中,内角所对的边分别为,若,,依次成等差数列,
则:,
利用,
整理得:,
利用正弦和余弦定理得:,
整理得:,
即:依次成等差数列.此时对等差数列的每一项取相同的运算得到数列,,或,,或,,,这些数列一般都不可能是等差数列,除非,但题目没有说是等边三角形,
故选:ABD.变式1、(2020届山东省济宁市高三上期末)在中,,则的面积为( )A. B.1 C. D.【答案】C【解析】故, 故选:变式2、(2020·蒙阴县实验中学高三期末)在非直角中,,,分别是,,的对边.已知,,求:(1)的值;(2)边上的中线的长.【答案】(1) (2) 【解析】(1).(2)由余弦定理,即:,∴.法一:设的长为.则在中,由余弦定理得:,在中,由余弦定理得:,∴,得,即:.法二:,∴,即:.
相关学案
这是一份人教版新课标A必修51.1 正弦定理和余弦定理学案,共2页。
这是一份专题23 正弦定理、余弦定理及其应用(解析版)学案,共20页。学案主要包含了热点聚焦与扩展,经典例题,思路导引,专家解读,精选精练等内容,欢迎下载使用。
这是一份优化提升专题训练(新高考) 基本不等式及其应用(含答案解析)学案,共10页。学案主要包含了知识框图,自主热身,归纳总结,2020年山东卷,问题探究,变式训练,2020年江苏卷,2020年天津卷等内容,欢迎下载使用。

