







2020版高考数学(天津专用)大一轮精准复习课件:2.1 函数的概念及表示 【KS5U 高考】
展开2.(1)函数的三要素:① 定义域 、② 值域 、③ 对应关系 .(2)函数的定义域、值域在函数y=f(x),x∈A中,x叫做自变量,x的取值范围A叫做函数的定义域;与
x的值相对应的y值叫做函数值,函数值的集合{f(x)|x∈A}叫做函数的值 域,显然,值域是集合B的④ 子集 .3.函数的表示方法(1)解析法:把变量x,y之间的关系用一个关系式y=f(x)来表示,通过关系式 可以由x的值求出y的值.(2)列表法:将变量x,y的取值列成表格,由表格直接反映出二者的关系.(3)图象法:把x,y之间的关系绘制成图象,图象上每个点的坐标就是相应 的变量x,y的值.
考向 函数的三要素的求法
例 设f(x)=lga(1+x)+lga(3-x)(a>0,且a≠1),且f(1)=2.(1)求a的值及f(x)的定义域;(2)求f(x)在区间 上的最大值.
解析 (1)∵f(1)=2,∴lga(1+1)+lga(3-1)=lga4=2,解得a=2(a>0,且a≠1),由 得x∈(-1,3),∴函数f(x)的定义域为(-1,3).(2)f(x)=lg2(1+x)+lg2(3-x)=lg2(1+x)(3-x)=lg2[-(x-1)2+4],∴当x∈[0,1]时,f(x)是增函数;当x∈ 时,f(x)是减函数.所以函数f(x)在 上的最大值是f(1)=lg24=2.
考向基础 如果函数在其定义域的不同子集上,因对应关系不同而分别用几个 不同的式子来表示,那么这种函数称为① 分段函数 .分段函数的定义域等于各段函数的定义域的② 并集 ,其值域等于各 段函数的值域的③ 并集 ,分段函数虽由几个部分组成,但它表示的 是一个函数.
考向 分段函数中的分类讨论思想
例 已知函数f(x)= (1)在坐标系中作出函数的图象;(2)若f(a)= ,求a的取值集合.解题导引
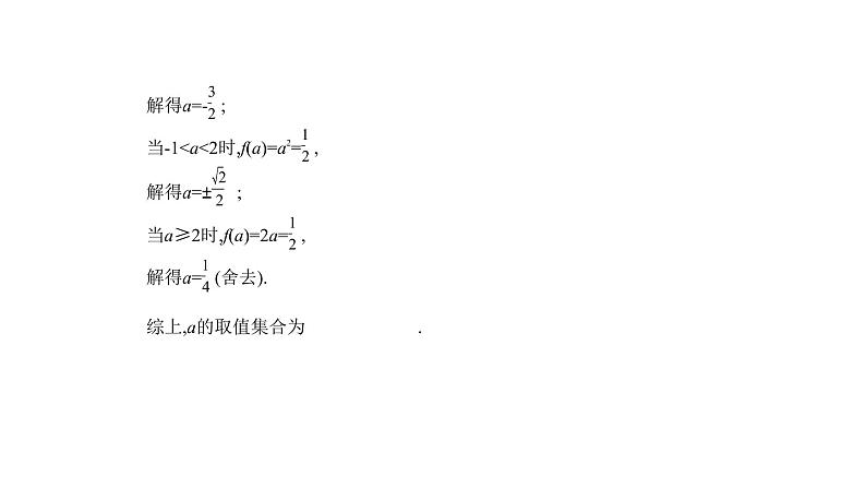
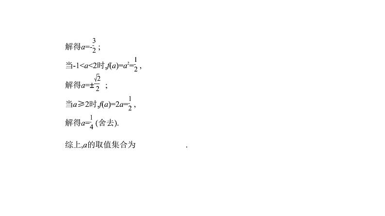
解析 (1)函数f(x)= 的图象如图所示: (2)当a≤-1时,f(a)=a+2= ,
解得a=- ;当-1方法1 求函数定义域的方法1.求具体函数y=f(x)的定义域
(1)若已知函数f(x)的定义域为[a,b],则函数f(g(x))的定义域由a≤g(x)≤b 求出.(2)若已知函数f(g(x))的定义域为[a,b],则f(x)的定义域为g(x)在x∈[a,b]上 的值域.
2.求抽象函数的定义域
例1 (1)函数y= 的定义域为 ( )A.(-2,1) B.[-2,1] C.(0,1) D.(0,1](2)已知函数f(2x)的定义域为[-1,1],则函数y=f(lg2x)的定义域为 .解题导引
解析 (1)由题意得 解得0
例2 (1)已知f =lg x,求f(x);(2)已知f(x)是一次函数,且满足3f(x+1)-2f(x-1)=2x+17,求f(x);(3)定义在(-1,1)内的函数f(x)满足2f(x)-f(-x)=lg(x+1),求函数f(x)的解析式.解题导引
解析 (1)令t= +1(x>0),则x= (t>1),∴f(t)=lg (t>1),∴f(x)=lg (x>1).(2)设f(x)=ax+b(a≠0),则3f(x+1)-2f(x-1)=3ax+3a+3b-2ax+2a-2b=ax+b+5a =2x+17,∴ ∴ 故f(x)=2x+7.(3)x∈(-1,1)时,有2f(x)-f(-x)=lg(x+1). ①以-x代x,得2f(-x)-f(x)=lg(-x+1). ②由①②消去f(-x)得f(x)= lg(x+1)+ lg(1-x),x∈(-1,1).思路分析 (1)用的是换元法,定义法的实质也是换元;(2)用的是待定系 数法;(3)-x与x互为相反数,赋值消元可求得函数解析式.
方法3 分段函数问题的解题策略1.已知自变量(自变量的范围)求函数值(最值、值域)求函数值时要弄清自变量所在区间,然后代入对应的解析式;求函数的 最值或值域时,要分别求出每个区间上的最值(值域),再比较大小(求并集).2.已知函数值(函数值的范围)求自变量的值(范围)已知函数值求自变量的值时,可分别令每个区间的解析式等于该函数 值,解出方程的根,再与所在区间取交集;已知函数值的范围求自变量的 范围时,要分区间列不等式,解集也要注意所在区间的限制.3.分段函数的含参问题分段函数的有关问题综合性较强,有时含有参数,不要忽视分界点,注意
例3 (1)设函数f(x)= 则f(f(2))= ;函数f(x)的值域是 ;(2)设f(x)= 对任意实数b,关于x的方程f(x)-b=0总有实数根,则a的取值范围是 .
解析 (1)由题意知f(2)= ,∴f(f(2))=f =- -2=- .∵当x>1时, f(x)∈(0,1),当x≤1时, f(x)∈[-3,+∞),∴f(x)的值域为[-3,+∞).(2)因为分界点a的位置影响分段函数的图象,故应先确定分界点所在的 不同位置,再在同一坐标系中画出y=x,y=x2的图象,如图.
由图可知,两函数图象交点坐标为(0,0),(1,1).①当a<0时,y=f(x)的图象如图.
当b∈[a,0)时,y=f(x)与y=b无交点,不符合题意.②当0≤a≤1时,y=f(x)的图象如图. 此时,b∈R,y=f(x)与y=b总有交点,符合题意.③当a>1时,y=f(x)的图象如图.
2020版高考数学(天津专用)大一轮精准复习课件:9.2 直线、圆的位置关系 【KS5U 高考】: 这是一份2020版高考数学(天津专用)大一轮精准复习课件:9.2 直线、圆的位置关系 【KS5U 高考】,共16页。
2020版高考数学(天津专用)大一轮精准复习课件:6.1 数列的概念及其表示 【KS5U 高考】: 这是一份2020版高考数学(天津专用)大一轮精准复习课件:6.1 数列的概念及其表示 【KS5U 高考】,共14页。
2020版高考数学(天津专用)大一轮精准复习课件:9.3 椭圆及其性质 【KS5U 高考】: 这是一份2020版高考数学(天津专用)大一轮精准复习课件:9.3 椭圆及其性质 【KS5U 高考】,共27页。