人教A版 (2019)必修 第一册5.5 三角恒等变换课文内容ppt课件
展开(1)推导方法:在两角差的余弦公式中以-β代替β.(2)公式:__________________________________________.(3)简记符号:__________________.(4)使用条件:α,β为任意角.
cs(α+β)=cs αcs β-sin αsin β
知识点1 两角和的余弦公式
知识点2 两角和与差的正弦公式
sin αcs β+csα sin β
sin αcs β-csα sin β
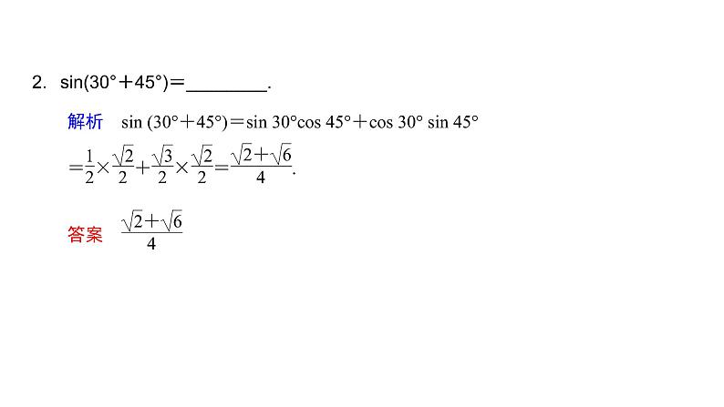
2.sin(30°+45°)=________.
3.sin 36°cs 6°-cs 36°sin 6°=________.
知识点3 两角和与差的正切公式
探究一 给角求值(化简)问题
[方法总结]解决给角化简求值问题的策略(1)注意分析式子的结构特点,合理选择正余弦的和差公式.(2)注意公式逆用过程中诱导公式的应用.(3)注意非特殊角与特殊角间的联系及将特殊值转化为特殊角三角函数.(4)注意对角的变换,即合理拆角或凑角.
探究二 给值(或式)求角问题
[方法总结]解决给值(式)求角问题的方法解决给值(式)求角问题的关键是寻求所求角的三角函数值与已知值或式之间的关系,利用两角和与差的正弦、余弦、正切公式,求出所求角的三角函数值,从而求出角.
[方法总结](1)给值(式)求值的策略①当“已知角”有两个时,“所求角”一般表示为两个“已知角”的和或差的形式.②当“已知角”有一个时,此时应着眼于“所求角”与“已知角”的和或差的关系,然后应用诱导公式把“所求角”变成“已知角”.(2)给值求角本质上为给值求值问题,解题时应注意对角的范围加以讨论,以免产生增解或漏解.
数学5.5 三角恒等变换图文课件ppt: 这是一份数学5.5 三角恒等变换图文课件ppt,共20页。PPT课件主要包含了导入新课,精彩课堂,应用举例,课堂练习,课堂总结等内容,欢迎下载使用。
高中数学人教A版 (2019)必修 第一册5.5 三角恒等变换教学ppt课件: 这是一份高中数学人教A版 (2019)必修 第一册5.5 三角恒等变换教学ppt课件,共19页。PPT课件主要包含了复习回顾,两角和的正弦公式,二倍角的正弦公式,tanα,-tan2α,公式巩固,公式特点降幂升角,例题探究1,跟踪训练1,例题探究2等内容,欢迎下载使用。
高中数学人教A版 (2019)必修 第一册第五章 三角函数5.5 三角恒等变换教学演示ppt课件: 这是一份高中数学人教A版 (2019)必修 第一册第五章 三角函数5.5 三角恒等变换教学演示ppt课件,共21页。PPT课件主要包含了复习回顾,两角差的余弦公式,对于任意角αβ有,Cα-β,Cα+β,同理可证,Sα+β,Sα-β,公式巩固,sinα+β等内容,欢迎下载使用。

