人教版七年级下期中数学试卷含解析
展开1.方程1﹣3x=0的解是( )
A.x=﹣B.x=C.x=﹣3D.x=3
2.若是方程组的解,则a、b值为( )
A.B.C.D.
3.不等式2x﹣3<1的解集在数轴上表示为( )
A.B.
C.D.
4.把方程﹣去分母,正确的是( )
A.3x﹣(x﹣1)=1B.3x﹣x﹣1=1C.3x﹣x﹣1=6D.3x﹣(x﹣1)=6
5.下列不等式一定成立的是( )
A.x+2<x+3B.5a>4aC.﹣a>﹣2aD.
6.把方程4y+=1+x写成用含x的代数式表示y的形式,以下各式正确的是( )
A.y=+1B.y=+C.y=+1D.y=+
7.某小区在规划设计时,准备在两幢楼房之间,设置一块周长为120米的长方形绿地,并且长比宽多10米.设绿地的宽为x米,根据题意,下面列出的方程正确的是( )
A.2(x﹣10)=120B.2[x+(x﹣10)]=120C.2(x+10)=120D.2[x+(x+10)]=120
8.植树节这天有20名同学共种了52棵树苗,其中男生每人种树3棵,女生每人种树2棵.设男生有x人,女生有y人,根据题意,下列方程组正确的是( )
A.B.
C.D.
二、填空题
9.若关于x的方程3x﹣5=x+2m的解为x=2,则m的值为 .
10.方程组的解是 .
11.不等式3x﹣2>x﹣6的最小整数解是 .
12.若方程组的解适合x+y=2,则k的值为 .
13.阳光公司销售一种进价为21元的电子产品,按标价的九折销售,仍可获利20%,则这种电子产品的标价为 元.
14.某校组织开展了“吸烟有害健康”的知识竞赛,共有20道题.答对一题加10分,答错(或不答)一题扣5分,小明参加本次竞赛得分要不低于140分.设他答对x道题,则根据题意,可列出关于x的不等式为 .
三、解答题(本大题共10小题,共78分)
15.解方程:3(x﹣1)﹣2(x+2)=4x﹣1.
16.解方程组:.
17.解方程组:.
18.解不等式1﹣,并把解集在数轴上表示出来.
19.要加工200个零件,甲先单独加工了5小时,然后又与乙一起加工了4小时完成了任务.已知甲每小时比乙多加工2个零件,问甲、乙二人每小时各加工多少个零件?
20.为了更好地保护环境,治污公司决定购买若干台污水处理设备.现有A、B两种型号的设备,已知购买1台A型号设备比购买1台B型号设备多2万元,购买2台A型号设备比购买3台B型号设备少6万元.求A、B两种型号设备的单价.
21.若关于x、y的二元一次方程组的解满足x﹣y>﹣8.
(1)用含m的代数式表示x﹣y.
(2)求满足条件的m的所有正整数值.
22.某商场销售A、B两种型号计算器,A型号计算器的进货价格为每台30元,B型号计算器的进货价格为每台40元.商场销售5台A型号和1台B型号计算器,可获利润76元;销售6台A型号和3台B型号计算器,可获利润120元.
(1)分别求商场销售A、B两种型号计算器每台的销售价格.
(2)商场准备用不多于2 500元的资金购进A、B两种型号计算器共70台,问最少需要购进A型号的计算器多少台?【利润=销售价格﹣进货价格】
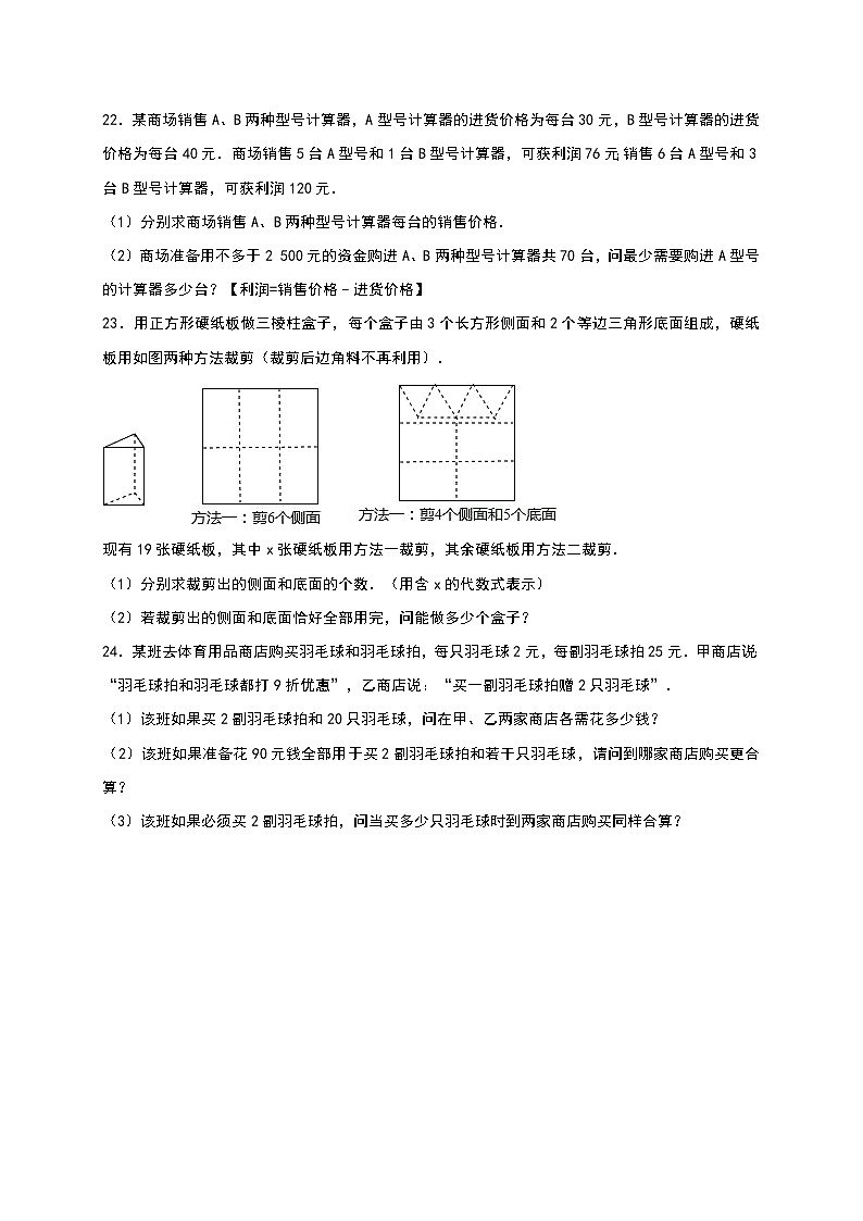
23.用正方形硬纸板做三棱柱盒子,每个盒子由3个长方形侧面和2个等边三角形底面组成,硬纸板用如图两种方法裁剪(裁剪后边角料不再利用).
现有19张硬纸板,其中x张硬纸板用方法一裁剪,其余硬纸板用方法二裁剪.
(1)分别求裁剪出的侧面和底面的个数.(用含x的代数式表示)
(2)若裁剪出的侧面和底面恰好全部用完,问能做多少个盒子?
24.某班去体育用品商店购买羽毛球和羽毛球拍,每只羽毛球2元,每副羽毛球拍25元.甲商店说:“羽毛球拍和羽毛球都打9折优惠”,乙商店说:“买一副羽毛球拍赠2只羽毛球”.
(1)该班如果买2副羽毛球拍和20只羽毛球,问在甲、乙两家商店各需花多少钱?
(2)该班如果准备花90元钱全部用于买2副羽毛球拍和若干只羽毛球,请问到哪家商店购买更合算?
(3)该班如果必须买2副羽毛球拍,问当买多少只羽毛球时到两家商店购买同样合算?
2018年吉林省长春市宽城区七年级(下)期中数学试卷
参考答案与试题解析
一、选择题
1.方程1﹣3x=0的解是( )
A.x=﹣B.x=C.x=﹣3D.x=3
【考点】一元一次方程的解.
【分析】方程移项,把x系数化为1,即可求出解.
【解答】解:1﹣3x=0,
方程移项得:﹣3x=﹣1,
解得:x=.
故选:B.
【点评】此题考查了解一元一次方程,其步骤为:去分母,去括号,移项合并,把未知数系数化为1,求出解.
2.若是方程组的解,则a、b值为( )
A.B.C.D.
【考点】二元一次方程组的解.
【专题】计算题;一次方程(组)及应用.
【分析】把x与y的值代入方程组求出a与b的值即可.
【解答】解:把代入方程组得:,
解得:,
故选A
【点评】此题考查了二元一次方程组的解,方程组的解即为能使方程组中两方程都成立的未知数的值.
3.不等式2x﹣3<1的解集在数轴上表示为( )
A.B.
C.D.
【考点】在数轴上表示不等式的解集;解一元一次不等式.
【专题】数形结合.
【分析】先解不等式得到x<2,用数轴表示时,不等式的解集在2的左边且不含2,于是可判断D选项正确.
【解答】解:2x<4,
解得x<2,
用数轴表示为:
.
故选D.
【点评】本题考查了在数轴上表示不等式的解集:用数轴表示不等式的解集时,要注意“两定”:一是定界点,一般在数轴上只标出原点和界点即可.定边界点时要注意,点是实心还是空心;二是定方向,定方向的原则是:“小于向左,大于向右”.
4.把方程﹣去分母,正确的是( )
A.3x﹣(x﹣1)=1B.3x﹣x﹣1=1C.3x﹣x﹣1=6D.3x﹣(x﹣1)=6
【考点】解一元一次方程.
【专题】计算题.
【分析】去分母的方法是方程两边同时乘以各分母的最小公倍数6,在去分母的过程中注意分数线起到括号的作用,以及去分母时不能漏乘没有分母的项.
【解答】解:方程两边同时乘以6得:3x﹣(x﹣1)=6.
故选D.
【点评】在去分母的过程中注意分数线起到括号的作用,并注意不能漏乘没有分母的项.
5.下列不等式一定成立的是( )
A.x+2<x+3B.5a>4aC.﹣a>﹣2aD.
【考点】不等式的性质.
【分析】根据不等式的性质分析判断.
【解答】解:A、因为2<3,不等式两边同时加上x,不等号方向不变,即x+2<x+3正确;
B、因为5>4,不等式两边同乘以a,而a≤0时,不等号方向改变,即5a≤4a,故错误;
C、因为﹣1>﹣2,不等式两边同乘以a,而a≤0时,不等号方向改变,即﹣a≤﹣2a,故错误;
D、因为4>2,不等式两边同除以a,而a<0时,不等号方向改变,即<,故错误.
故选A.
【点评】主要考查了不等式的基本性质.“0”是很特殊的一个数,因此,解答不等式的问题时,应密切关注“0”存在与否,以防掉进“0”的陷阱.不等式的基本性质:
(1)不等式两边加(或减)同一个数(或式子),不等号的方向不变.(2)不等式两边乘(或除以)同一个正数,不等号的方向不变.(3)不等式两边乘(或除以)同一个负数,不等号的方向改变.
6.把方程4y+=1+x写成用含x的代数式表示y的形式,以下各式正确的是( )
A.y=+1B.y=+C.y=+1D.y=+
【考点】解二元一次方程.
【专题】计算题.
【分析】把x看做已知数表示出y即可.
【解答】解:方程4y+=1+x,
去分母得:12y+x=3+3x,
解得:y=+.
故选B
【点评】此题考查了解二元一次方程,将x看做已知数求出y是解本题的关键.
7.某小区在规划设计时,准备在两幢楼房之间,设置一块周长为120米的长方形绿地,并且长比宽多10米.设绿地的宽为x米,根据题意,下面列出的方程正确的是( )
A.2(x﹣10)=120B.2[x+(x﹣10)]=120C.2(x+10)=120D.2[x+(x+10)]=120
【考点】由实际问题抽象出一元一次方程.
【分析】根据题意可以列出相应的一元一次方程,本题得以解决.
【解答】解:由题意可得,
2[x+(x+10)]=120,
故选D.
【点评】本题考查由实际问题抽象出一元一次方程,解题的关键是明确题意,列出相应的一元一次方程.
8.植树节这天有20名同学共种了52棵树苗,其中男生每人种树3棵,女生每人种树2棵.设男生有x人,女生有y人,根据题意,下列方程组正确的是( )
A.B.
C.D.
【考点】由实际问题抽象出二元一次方程组.
【分析】设男生有x人,女生有y人,根据男女生人数为20,共种了52棵树苗,列出方程组成方程组即可.
【解答】解:设男生有x人,女生有y人,
根据题意可得:,
故选D.
【点评】此题考查二元一次方程组的实际运用,找出题目蕴含的数量关系是解决问题的关键.
二、填空题
9.若关于x的方程3x﹣5=x+2m的解为x=2,则m的值为 ﹣ .
【考点】一元一次方程的解.
【专题】计算题;一次方程(组)及应用.
【分析】把x=2代入方程计算即可求出m的值.
【解答】解:把x=2代入方程得:1=2+2m,
解得:m=﹣,
故答案为:﹣
【点评】此题考查了一元一次方程的解,方程的解即为能使方程左右两边相等的未知数的值.
10.方程组的解是 .
【考点】二元一次方程组的解.
【专题】计算题;一次方程(组)及应用.
【分析】方程组利用加减消元法求出解即可.
【解答】解:,
①+②得:3x=12,即x=4,
把x=4代入①得:y=﹣2,
则方程组的解为.
故答案为:.
【点评】此题考查了二元一次方程组的解,求出方程组的解是解本题的关键.
11.不等式3x﹣2>x﹣6的最小整数解是 ﹣1 .
【考点】一元一次不等式的整数解.
【分析】先求出不等式的解集,再找出其最小整数解即可.
【解答】解:∵解不等式3x﹣2>x﹣6得,x>﹣2,
∴不等式的最小整数解为:﹣1.
故答案为:﹣1.
【点评】本题考查的是一元一次不等式的整数解,熟知解一元一次不等式的基本步骤是解答此题的关键.
12.若方程组的解适合x+y=2,则k的值为 3 .
【考点】二元一次方程组的解.
【专题】计算题;一次方程(组)及应用.
【分析】方程组两方程相加表示出x+y,代入x+y=2中求出k的值即可.
【解答】解:,
①+②得:5(x+y)=5k﹣5,即x+y=k﹣1,
代入x+y=2得:k﹣1=2,
解得:k=3,
故答案为:3
【点评】此题考查了二元一次方程组的解,方程组的解即为能使方程组中两方程都成立的未知数的值.
13.阳光公司销售一种进价为21元的电子产品,按标价的九折销售,仍可获利20%,则这种电子产品的标价为 28 元.
【考点】分式方程的应用;一元一次方程的应用.
【专题】销售问题.
【分析】根据题意,设这种电子产品的标价为x元,按照等量关系“标价×0.9﹣进价=进价×20%”,列出一元一次方程即可求解.
【解答】解:设这种电子产品的标价为x元,
由题意得:0.9x﹣21=21×20%,
解得:x=28,
所以这种电子产品的标价为28元.
故答案为28.
【点评】本题考查了一元一次方程的应用题型,同学们需学会借助方程去解决应用题.
14.某校组织开展了“吸烟有害健康”的知识竞赛,共有20道题.答对一题加10分,答错(或不答)一题扣5分,小明参加本次竞赛得分要不低于140分.设他答对x道题,则根据题意,可列出关于x的不等式为 10x﹣5(20﹣x)≥140 .
【考点】由实际问题抽象出一元一次不等式.
【分析】小明答对题的得分:10x;答错或不答题的得分:﹣5(20﹣x).根据不等关系:小明参加本次竞赛得分要不低于140分列出不等式即可.
【解答】解:设他答对x道题,根据题意,得
10x﹣5(20﹣x)≥140.
故答案为10x﹣5(20﹣x)≥140.
【点评】此题主要考查了由实际问题抽象出一元一次不等式,抓住关键词语,找到不等关系是解题的关键.
三、解答题(本大题共10小题,共78分)
15.解方程:3(x﹣1)﹣2(x+2)=4x﹣1.
【考点】解一元一次方程.
【专题】计算题;一次方程(组)及应用.
【分析】方程去括号,移项合并,把x系数化为1,即可求出解.
【解答】解:去括号得:3x﹣3﹣2x﹣4=4x﹣1,
移项得:x﹣4x=﹣1+7,
合并得:﹣3x=6,
解得:x=﹣2.
【点评】此题考查了解一元一次方程,其步骤为:去分母,去括号,移项合并,把x系数化为1,求出解.
16.解方程组:.
【考点】解二元一次方程组.
【分析】先用加减消元法求出x的值,再用代入消元法求出y的值即可.
【解答】解:①×3得9x+12y=30③,
②×2得10x﹣12y=84④.
③+④得19x=114,解得x=6.
把x=6代入①,得18+4y=10,解得y=﹣2.
故方程组的解为:.
【点评】本题考查的是解二元一次方程组,熟知解二元一次方程组的加减消元法和代入消元法是解答此题的关键.
17.解方程组:.
【考点】解三元一次方程组.
【分析】根据解三元一次方程组的方法可以解答本题.
【解答】解:
把③代入①,得
5y+z=2④
把③代入②,得
6y+4z=﹣6⑤
④×4﹣⑤,得
14y=14
解得,y=1,
把y=1代入④,得z=﹣3,
把y=1代入③,得x=4,
故原方程组的解是.
【点评】本题考查解三元一次方程组,解题的关键是明确三元一次方程组的解法.
18.解不等式1﹣,并把解集在数轴上表示出来.
【考点】解一元一次不等式;在数轴上表示不等式的解集.
【分析】先去分母,再去括号,移项,合并同类项,把x的系数化为1,并在数轴上表示出来即可.
【解答】解:去分母得,6﹣(x﹣3)>2x,
去括号,6﹣x+3>2x,
移项得,﹣x﹣2x>﹣3﹣6,
合并同类项得,﹣3x>﹣9,
把x的系数化为1得,x<3.
在数轴上表示为:
.
【点评】本题考查的是解一元一次不等式,熟知解一元一次不等式的基本步骤是解答此题的关键.
19.要加工200个零件,甲先单独加工了5小时,然后又与乙一起加工了4小时完成了任务.已知甲每小时比乙多加工2个零件,问甲、乙二人每小时各加工多少个零件?
【考点】一元一次方程的应用.
【分析】如果乙每小时加工x个零件,那么甲每小时加工(x+2)个零件,根据要加工200个零件,甲先单独加工5小时,然后又与乙一起加工4小时,完成了任务以及甲每小时比乙多加工2个,可列出方程q求出即可.
【解答】解:设乙每小时加工x个零件,那么甲每小时加工(x+2)个零件.
根据题意,列方程,得
5(x+2)+4(x+x+2)=200,
解这个方程,得
x=14,
x+2=14+2=16,
答:甲每小时加工16个零件,乙每小时加工14个零件.
【点评】本题考查了一元一次方程的应用,关键是以甲比乙每小时多做的件数和完成200个做为等量关系列方程.
20.为了更好地保护环境,治污公司决定购买若干台污水处理设备.现有A、B两种型号的设备,已知购买1台A型号设备比购买1台B型号设备多2万元,购买2台A型号设备比购买3台B型号设备少6万元.求A、B两种型号设备的单价.
【考点】二元一次方程组的应用.
【分析】首先设A型号设备的单价为x万元,B型号设备的单价为y万元,利用购买1台A型号设备比购买1台B型号设备多2万元,购买2台A型号设备比购买3台B型号设备少6万元,得出方程组求出即可.
【解答】解:设A型号设备的单价为x万元,B型号设备的单价为y万元,
根据题意,得,
解这个方程组,得.
答:A、B两种型号设备的单价分别为12万元、10万元.
【点评】此题主要考查了二元一次方程组的应用,解题关键是要读懂题目的意思,根据题目给出的条件,找出合适的等量关系列出方程,再求解.
21.若关于x、y的二元一次方程组的解满足x﹣y>﹣8.
(1)用含m的代数式表示x﹣y.
(2)求满足条件的m的所有正整数值.
【考点】解一元一次不等式;二元一次方程组的解.
【分析】(1)直接把两式相减即可得出结论;
(2)根据(1)中x﹣y的表达式列出关于m的不等式,求出m的取值范围即可.
【解答】解:(1),
①﹣②得,x﹣y=﹣2m+3﹣4=﹣2m﹣1;
(2)由题意,得﹣2m﹣1>﹣8,解得m<,
∵m为正整数,
∴m=1、2或3.
【点评】本题考查的是解一元一次不等式,熟知不等式的基本性质是解答此题的关键.
22.某商场销售A、B两种型号计算器,A型号计算器的进货价格为每台30元,B型号计算器的进货价格为每台40元.商场销售5台A型号和1台B型号计算器,可获利润76元;销售6台A型号和3台B型号计算器,可获利润120元.
(1)分别求商场销售A、B两种型号计算器每台的销售价格.
(2)商场准备用不多于2 500元的资金购进A、B两种型号计算器共70台,问最少需要购进A型号的计算器多少台?【利润=销售价格﹣进货价格】
【考点】一元一次不等式的应用;二元一次方程组的应用.
【分析】(1)首先设A种型号计算器的销售价格是x元,B种型号计算器的销售价格是y元,根据题意可等量关系:①5台A型号和1台B型号计算器,可获利润76元;②销售6台A型号和3台B型号计算器,可获利润120元,根据等量关系列出方程组,再解即可;
(2)根据题意表示出所用成本,进而得出不等式求出即可.
【解答】(1)设A种型号计算器的销售价格是x元,B种型号计算器的销售价格是y元.
根据题意,得
解得(
答:商场销售A、B两种型号计算器的销售价格分别为42元、56元.
(2)设需要购进A型号的计算器a台.
根据题意,得30a+40(70﹣a)≤2500.
解得a≥30.
答:最少需要购进A型号的计算器30台.
【点评】此题主要考查了一元一次不等式的应用以及二元一次方程组的应用,根据题意得出总的进货费用是解题关键.
23.用正方形硬纸板做三棱柱盒子,每个盒子由3个长方形侧面和2个等边三角形底面组成,硬纸板用如图两种方法裁剪(裁剪后边角料不再利用).
现有19张硬纸板,其中x张硬纸板用方法一裁剪,其余硬纸板用方法二裁剪.
(1)分别求裁剪出的侧面和底面的个数.(用含x的代数式表示)
(2)若裁剪出的侧面和底面恰好全部用完,问能做多少个盒子?
【考点】一元一次方程的应用;展开图折叠成几何体.
【分析】(1)由x张用方法一,就有(19﹣x)张用方法二,就可以分别表示出侧面个数和底面个数;
(2)根据裁剪出的侧面和底面恰好全部用完得出方程,解方程求出x的值,求出侧面的总数就可以求出结论.
【解答】解:(1)侧面个数:6x+4(19﹣x)=(2x+76)个.
底面个数:5(19﹣x)=(95﹣5x)个.
(2)由题意,得.
解得:x=7.
(个).
答:若裁剪出的侧面和底面恰好全部用完,能做30个盒子.
【点评】本题考查了列一元一次方程解实际问题的运用,一元一次方程的解法的运用,列代数式的运用,解答时根据裁剪出的侧面和底面个数相等建立方程是关键.
24.某班去体育用品商店购买羽毛球和羽毛球拍,每只羽毛球2元,每副羽毛球拍25元.甲商店说:“羽毛球拍和羽毛球都打9折优惠”,乙商店说:“买一副羽毛球拍赠2只羽毛球”.
(1)该班如果买2副羽毛球拍和20只羽毛球,问在甲、乙两家商店各需花多少钱?
(2)该班如果准备花90元钱全部用于买2副羽毛球拍和若干只羽毛球,请问到哪家商店购买更合算?
(3)该班如果必须买2副羽毛球拍,问当买多少只羽毛球时到两家商店购买同样合算?
【考点】二元一次方程组的应用.
【分析】(1)根据甲商店“羽毛球拍和羽毛球都打9折优惠”以及乙商店“买一副羽毛球拍赠2只羽毛球”,列式计算即可得出结论;
(2)设在甲商店能买x只羽毛球,在乙商店能买y只羽毛球,结合甲商店“羽毛球拍和羽毛球都打9折优惠”以及乙商店“买一副羽毛球拍赠2只羽毛球”,即可列出关于x、y的二元一次方程组,解方程组后比较大小即可得出结论;
(3)设买m只羽毛球时到两家商店购买同样合算,根据甲商店“羽毛球拍和羽毛球都打9折优惠”以及乙商店“买一副羽毛球拍赠2只羽毛球”,即可列出关于m的一元一次方程,解方程即可得出结论.
【解答】解:(1)甲商店:(25×2+2×20)×0.9=81(元);
乙商店:25×2+2×(20﹣4)=82(元).
答:在甲商店需要花81元,在乙商店需要花82元.
(2)设在甲商店能买x只羽毛球,在乙商店能买y只羽毛球.
由题意,得:,
解得:,
∵25>24,
∴到甲商店购买更合算.
(3)设买m只羽毛球时到两家商店购买同样合算.
由题意,得:(25×2+2m)×0.9=25×2+2(m﹣4),
解得m=15.
答:当买15只羽毛球时到两家商店购买同样合算.
【点评】本题考查了二元一次方程组以及一元一次方程的应用,解题的关键是:(1)根据数量关系列式计算;(2)根据数量关系列出关于x、y的二元一次方程组;(3)根据数量关系列出关于m的一元一次方程.本题属于中档题,难度不大,解决该题型题目时,根据数量关系列出算式(方程或方程组)是关键.
2023-2024学年浙江省杭州中学七年级(下)期中数学试卷(含解析): 这是一份2023-2024学年浙江省杭州中学七年级(下)期中数学试卷(含解析),共15页。试卷主要包含了选择题,填空题,解答题等内容,欢迎下载使用。
2023-2024学年宁夏银川九中七年级(下)期中数学试卷(含解析): 这是一份2023-2024学年宁夏银川九中七年级(下)期中数学试卷(含解析),共13页。试卷主要包含了选择题,填空题,解答题等内容,欢迎下载使用。
2023-2024学年陕西师大附中七年级(下)期中数学试卷(含解析): 这是一份2023-2024学年陕西师大附中七年级(下)期中数学试卷(含解析),共15页。试卷主要包含了选择题,填空题,计算题,解答题等内容,欢迎下载使用。

