

还剩3页未读,
继续阅读
所属成套资源:2021年5月全国各地高考数学模拟试卷(含答案)
成套系列资料,整套一键下载
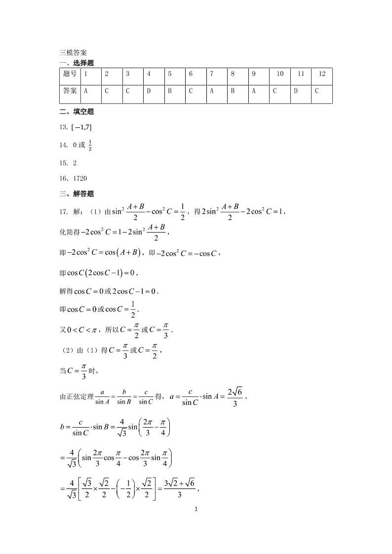
黑龙江省实验中学2021届高三下学期第三次模拟考试(三模)数学(文科)答案
展开
这是一份黑龙江省实验中学2021届高三下学期第三次模拟考试(三模)数学(文科)答案,共5页。
相关试卷
2021黑龙江省实验中学高三下学期第三次模拟考试(三模)数学(理)含答案:
这是一份2021黑龙江省实验中学高三下学期第三次模拟考试(三模)数学(理)含答案,文件包含2021届高三第三次模拟考试数学理科答案doc、2021届高三第三次模拟考试数学理科doc、2021届高三第三次模拟考试数学理科pdf、2021届高三第三次模拟考试数学理科卡pdf等4份试卷配套教学资源,其中试卷共15页, 欢迎下载使用。
2021黑龙江省实验中学高三下学期第三次模拟考试(三模)数学(文)含答案:
这是一份2021黑龙江省实验中学高三下学期第三次模拟考试(三模)数学(文)含答案,文件包含三模文数答案docx、三模文数docx、三模文数1pdf、三模文数pdf、黑龙江省实验中学2020-2021学年度下学期高三学年第三次模拟考试数学试题文科考试时间120分钟满分150分_0pdf等5份试卷配套教学资源,其中试卷共19页, 欢迎下载使用。
黑龙江省实验中学2021届高三下学期第三次模拟考试(三模)数学(文科):
这是一份黑龙江省实验中学2021届高三下学期第三次模拟考试(三模)数学(文科),共4页。