





五年高考(2016-2020)高考数学(理)真题分项详解——专题06 三角函数及解三角形
展开专题06 三角函数及解三角形
【2020年】
1.(2020·新课标Ⅰ)设函数在的图像大致如下图,则f(x)的最小正周期为( )
A. B.
C. D.
【答案】C
【解析】由图可得:函数图象过点,
将它代入函数可得:
又是函数图象与轴负半轴的第一个交点,
所以,解得:
所以函数的最小正周期为
2.(2020·新课标Ⅰ)已知,且,则( )
A B.
C. D.
【答案】A
【解析】,得,
即,解得或(舍去),
又.
3.(2020·新课标Ⅱ)若α为第四象限角,则( )
A. cos2α>0 B. cos2α<0 C. sin2α>0 D. sin2α<0
【答案】D
【解析】当时,,选项B错误;
当时,,选项A错误;
由在第四象限可得:,则,选项C错误,选项D正确;
4.(2020·新课标Ⅱ)已知△ABC是面积为的等边三角形,且其顶点都在球O的球面上.若球O的表面积为16π,则O到平面ABC的距离为( )
A. B. C. 1 D.
【答案】C
【解析】设球的半径为,则,解得:.
设外接圆半径为,边长为,
是面积为的等边三角形,
,解得:,,
球心到平面的距离.
5.(2020·新课标Ⅲ)在△ABC中,cosC=,AC=4,BC=3,则cosB=( )
A. B. C. D.
【答案】A
【解析】在中,,,
根据余弦定理:
可得 ,即
由
故.
6.(2020·新课标Ⅲ)已知2tanθ–tan(θ+)=7,则tanθ=( )
A. –2 B. –1 C. 1 D. 2
【答案】D
【解析】,,
令,则,整理得,解得,即.
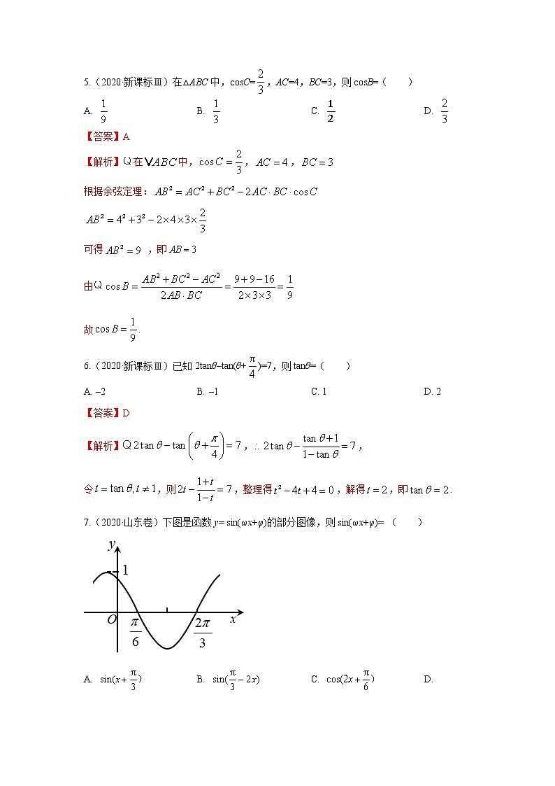
7.(2020·山东卷)下图是函数y= sin(ωx+φ)的部分图像,则sin(ωx+φ)= ( )
A. B. C. D.
【答案】BC
【解析】由函数图像可知:,则,所以不选A,
当时,,
解得:,
即函数的解析式为:
.
而
8.(2020·北京卷)若函数的最大值为2,则常数的一个取值为________.
【答案】(均可)
【解析】因为,
所以,解得,故可取.
9.(2020·山东卷)某中学开展劳动实习,学生加工制作零件,零件的截面如图所示.O为圆孔及轮廓圆弧AB所在圆的圆心,A是圆弧AB与直线AG的切点,B是圆弧AB与直线BC的切点,四边形DEFG为矩形,BC⊥DG,垂足为C,tan∠ODC=,,EF=12 cm,DE=2 cm,A到直线DE和EF的距离均为7 cm,圆孔半径为1 cm,则图中阴影部分的面积为________cm2.
【答案】
【解析】设,由题意,,所以,
因为,所以,
因,所以,
因为与圆弧相切于点,所以,
即为等腰直角三角形;
在直角中,,,
因为,所以,
解得;
等腰直角面积为;
扇形的面积,
所以阴影部分的面积为.
10.(2020·浙江卷)已知,则________;______.
【答案】 (1). (2).
【解析】,
,
11.(2020·江苏卷)已知 =,则的值是____.
【答案】
【解析】
12.(2020·江苏卷)将函数y=的图象向右平移个单位长度,则平移后的图象中与y轴最近的对称轴的方程是____.
【答案】
【解析】
当时
故答案为:
13.(2020·江苏卷)在平面直角坐标系xOy中,已知,A,B是圆C:上的两个动点,满足,则△PAB面积的最大值是__________.
【答案】
【解析】
设圆心到直线距离为,则
所以
令(负值舍去)
当时,;当时,,因此当时,取最大值,即取最大值为,
14.(2020·新课标Ⅰ)如图,在三棱锥P–ABC的平面展开图中,AC=1,,AB⊥AC,AB⊥AD,∠CAE=30°,则cos∠FCB=______________.
【答案】
【解析】,,,
由勾股定理得,
同理得,,
在中,,,,
由余弦定理得,
,
在中,,,,
由余弦定理得.
【2019年】
1.【2019·全国Ⅰ卷】函数f(x)=在的图像大致为
A. B.
C. D.
【答案】D
【解析】由,得是奇函数,其图象关于原点对称,排除A.又,排除B,C,故选D.
2.【2019·全国Ⅰ卷】关于函数有下述四个结论:
①f(x)是偶函数 ②f(x)在区间(,)单调递增
③f(x)在有4个零点 ④f(x)的最大值为2
其中所有正确结论的编号是
A.①②④ B.②④
C.①④ D.①③
【答案】C
【解析】为偶函数,故①正确.
当时,,它在区间单调递减,故②错误.
当时,,它有两个零点:;当时,
,它有一个零点:,故在有个零点:,故③错误.
当时,;当时,,又为偶函数,的最大值为,故④正确.
综上所述,①④正确,故选C.
3.【2019·全国Ⅱ卷】下列函数中,以为周期且在区间(,)单调递增的是
A.f(x)=|cos2x| B.f(x)=|sin2x|
C.f(x)=cos|x| D.f(x)=sin|x|
【答案】A
【解析】作出因为的图象如下图1,知其不是周期函数,排除D;
因为,周期为,排除C;
作出图象如图2,由图象知,其周期为,在区间(,)单调递增,A正确;
作出的图象如图3,由图象知,其周期为,在区间(,)单调递减,排除B,
故选A.
图1
图2
图3
4.【2019·全国Ⅱ卷】已知α∈(0,),2sin2α=cos2α+1,则sinα=
A. B.
C. D.
【答案】B
【解析】,,,又,,又,,故选B.
5.【2019·全国Ⅲ卷】设函数=sin()(>0),已知在有且仅有5个零点,下述四个结论:
①在()有且仅有3个极大值点
②在()有且仅有2个极小值点
③在()单调递增
④的取值范围是[)
其中所有正确结论的编号是
A.①④ B.②③
C.①②③ D.①③④
【答案】D
【解析】①若在上有5个零点,可画出大致图象,
由图1可知,在有且仅有3个极大值点.故①正确;
②由图1、2可知,在有且仅有2个或3个极小值点.故②错误;
④当=sin()=0时,=kπ(k∈Z),所以,
因为在上有5个零点,
所以当k=5时,,当k=6时,,解得,
故④正确.
③函数=sin()的增区间为:,.
取k=0,
当时,单调递增区间为,
当时,单调递增区间为,
综上可得,在单调递增.故③正确.
所以结论正确的有①③④.故本题正确答案为D.
6.【2019·天津卷】已知函数是奇函数,将的图象上所有点的横坐标伸长到原来的2倍(纵坐标不变),所得图象对应的函数为.若的最小正周期为,且,则
A. B.
C. D.
【答案】C
【解析】∵为奇函数,∴;
又∴,
又,∴,
∴,故选C.
7.【2019·北京卷】函数f(x)=sin22x的最小正周期是__________.
【答案】
【解析】函数,周期为.
8.【2019·全国Ⅱ卷】的内角的对边分别为.若,则的面积为_________.
【答案】
【解析】由余弦定理得,所以,即,
解得(舍去),
所以,
9.【2019·江苏卷】已知,则的值是 ▲ .
【答案】
【解析】由,得,
解得,或.
,
当时,上式
当时,上式=
综上,
10.【2019·浙江卷】在中,,,,点在线段上,若,则___________,___________.
【答案】,
【解析】如图,在中,由正弦定理有:,而,
,,所以.
.
【2018年】
1.【2018·全国Ⅲ卷】若,则
A. B.
C. D.
【答案】B
【解析】.故选B.
2.【2018·全国卷II】若在是减函数,则的最大值是
A. B.
C. D.
【答案】A
【解析】因为,
所以由得,
因此,从而的最大值为,
故选A.
3.【2018·天津】将函数的图象向右平移个单位长度,所得图象对应的函数
A.在区间上单调递增 B.在区间上单调递减
C.在区间上单调递增 D.在区间上单调递减
【答案】A
【解析】由函数图象平移变换的性质可知:将的图象向右平移个单位长度之后的解析式为.
则函数的单调递增区间满足,即,
令可得一个单调递增区间为.
函数的单调递减区间满足:,即,
令可得一个单调递减区间为:.
故选A.
4.【2018·浙江卷】函数y=sin2x的图象可能是
A. B.
C. D.
【答案】D
【解析】令,因为,所以为奇函数,排除选项A,B;
因为时,,所以排除选项C,故选D.
5.【2018·全国Ⅱ】在中,,,,则
A. B.
C. D.
【答案】A
【解析】因为
所以,故选A.
6.【2018·全国Ⅲ】的内角的对边分别为,,,若的面积为,则
A. B.
C. D.
【答案】C
【解析】由题可知,所以,
由余弦定理,得,因为,所以,故选C.
7.【2018·浙江卷】在△ABC中,角A,B,C所对的边分别为a,b,c.若,b=2,A=60°,则sin B=___________,c=___________.
【答案】,3
【解析】由正弦定理得,所以
由余弦定理得(负值舍去).
8.【2018·全国Ⅰ】已知函数,则的最小值是_____________.
【答案】
【解析】,
所以当时函数单调递减,当时函数单调递增,从而得到函数的递减区间为,函数的递增区间为,
所以当时,函数取得最小值,此时,
所以,故答案是.
9.【2018·北京卷】设函数f(x)=,若对任意的实数x都成立,则ω的最小值为__________.
【答案】
【解析】因为对任意的实数x都成立,所以取最大值,
所以,
因为,所以当时,ω取最小值为.
10.【2018·全国Ⅲ】函数在的零点个数为________.
【答案】
【解析】,,由题可知,或,解得,或,故有3个零点.
11.【2018·江苏卷】已知函数的图象关于直线对称,则的值是________.
【答案】
【解析】由题意可得,所以,
因为,所以
【2017年】
1.【2017·全国Ⅰ】已知曲线C1:y=cos x,C2:y=sin (2x+),则下面结论正确的是
A.把C1上各点的横坐标伸长到原来的2倍,纵坐标不变,再把得到的曲线向右平移个单位长度,得到曲线C2
B.把C1上各点的横坐标伸长到原来的2倍,纵坐标不变,再把得到的曲线向左平移个单位长度,得到曲线C2
C.把C1上各点的横坐标缩短到原来的倍,纵坐标不变,再把得到的曲线向右平移个单位长度,得到曲线C2
D.把C1上各点的横坐标缩短到原来的倍,纵坐标不变,再把得到的曲线向左平移个单位长度,得到曲线C2
【答案】D
【解析】因为函数名不同,所以先将利用诱导公式转化成与相同的函数名,则,则由上各点的横坐标缩短到原来的倍变为,再将曲线向左平移个单位长度得到,故选D.
2.【2017·全国Ⅲ】设函数,则下列结论错误的是
A.的一个周期为
B.的图象关于直线对称
C.的一个零点为
D.在(,)单调递减
【答案】D
【解析】函数的最小正周期为,则函数的周期为,取,可得函数的一个周期为,选项A正确;
函数图象的对称轴为,即,取,可得y=f(x)的图象关于直线对称,选项B正确;
,函数的零点满足,即,取,可得的一个零点为,选项C正确;
当时,,函数在该区间内不单调,选项D错误.
故选D.
3.【2017·天津卷】设函数,,其中,.若,,且的最小正周期大于,则
A., B.,
C., D.,
【答案】A
【解析】由题意得,其中,所以,
又,所以,所以,,
由得,故选A.
4.【2017·山东卷】在中,角A,B,C的对边分别为,,.若为锐角三角形,且满足,则下列等式成立的是
A. B.
C. D.
【答案】A
【解析】由题意知,
所以,
故选A.
5.【2017·浙江卷】已知△ABC,AB=AC=4,BC=2. 点D为AB延长线上一点,BD=2,连结CD,则△BDC的面积是______,cos∠BDC=_______.
【答案】
【解析】取BC中点E,由题意:,
△ABE中,,∴,
∴.
∵,∴,
解得或(舍去).
综上可得,△BCD面积为,.
6.【2017·全国Ⅱ】函数()的最大值是 .
【答案】1
【解析】化简三角函数的解析式:
,
由自变量的范围:可得:,
当时,函数取得最大值1.
7.【2017·北京卷】在平面直角坐标系xOy中,角α与角β均以Ox为始边,它们的终边关于y轴对称.若,则=___________.
【答案】
【解析】因为和关于轴对称,所以,那么,(或),
所以.
8.【2018·全国Ⅱ】已知,,则__________.
【答案】
【解析】因为,,所以
所以,
因此
9.【2017·江苏卷】若则 ▲ .
【答案】
【解析】.故答案为.
【2016年】
1. 【2016高考新课标1卷】已知函数 为的零点,为图像的对称轴,且在单调,则的最大值为( )
(A)11 (B)9 (C)7 (D)5
【答案】B
【解析】 因为为的零点,为图像的对称轴,所以,即,所以,又因为在单调,所以,即,则的最大值为9.故选B.
2.【2016年高考四川理数】为了得到函数的图象,只需把函数的图象上所有的点( )
(A)向左平行移动个单位长度 (B)向右平行移动个单位长度
(C)向左平行移动个单位长度 (D)向右平行移动个单位长度
【答案】D
【解析】由题意,为了得到函数,只需把函数的图像上所有点向右移个单位,故选D.
3.【2016高考新课标3理数】在中,,边上的高等于,则( )
(A) (B) (C) (D)
【答案】C
【解析】设边上的高为,则,所以,.由余弦定理,知,故选C.
4.【2016高考新课标2理数】若,则( )
(A) (B) (C) (D)
【答案】D
【解析】 ,
且,故选D.
5.【2016高考新课标2理数】若将函数的图像向左平移个单位长度,则平移后图象的对称轴为( )
(A) (B)
(C) (D)
【答案】B
【解析】由题意,将函数的图像向左平移个单位得,则平移后函数的对称轴为,即,故选B.
6.【2016高考新课标3理数】若 ,则( )
(A) (B) (C) 1 (D)
【答案】A
【解析】
由,得或,所以,故选A.
7.【2016高考浙江理数】设函数,则的最小正周期( )
A.与b有关,且与c有关 B.与b有关,但与c无关
C.与b无关,且与c无关 D.与b无关,但与c有关
【答案】B
【解析】,其中当时,,此时周期是;当时,周期为,而不影响周期.故选B.
8.【2016年高考北京理数】将函数图象上的点向左平移() 个单位长度得到点,若位于函数的图象上,则( )
A.,的最小值为B. ,的最小值为
C.,的最小值为D.,的最小值为
【答案】A
【解析】由题意得,,当s最小时,所对应的点为,此时,故选A.
9.【2016年高考四川理数】= .
【答案】
【解析】[由二倍角公式得
10.【2016高考新课标2理数】的内角的对边分别为,若,,,则 .
【答案】
【解析】因为,且为三角形的内角,所以,,又因为,所以.
11.【2016高考浙江理数】已知2cos2x+sin 2x=Asin(ωx+φ)+b(A>0),则A=______,b=________.
【答案】
【解析】,所以[来源:Zxxk.Com]
12.【2016高考新课标3理数】函数的图像可由函数的图像至少向
右平移_____________个单位长度得到.
【答案】
【解析】因为,=
,所以函数的图像可由函数的图像至少向右平
移个单位长度得到.
13.【2016高考山东理数】函数f(x)=(sin x+cos x)(cos x –sin x)的最小正周期是( )
(A) (B)π (C) (D)2π
【答案】B
【解析】,故最小正周期,故选B.
14.【2016高考天津理数】在△ABC中,若,BC=3, ,则AC= ( )
(A)1 (B)2 (C)3 (D)4
【答案】A
【解析】由余弦定理得,选A.
15.【2016高考江苏卷】定义在区间上的函数的图象与的图象的交点个数是 ▲ .
【答案】7
【解析】由,因为,所以共7个
16.【2016高考江苏卷】在锐角三角形中,若,则的最小值是 ▲ .
【答案】8.
【解析】,又,因此
即最小值为8.
五年高考(2016-2020)高考数学(理)真题分项详解——专题12 复数: 这是一份五年高考(2016-2020)高考数学(理)真题分项详解——专题12 复数,文件包含专题原卷版五年高考2016-2020高考数学理真题分项详解专题12复数学生版doc、专题解析版五年高考2016-2020高考数学理真题分项详解专题12复数教师版doc等2份试卷配套教学资源,其中试卷共14页, 欢迎下载使用。
五年高考(2016-2020)高考数学(理)真题分项详解——专题13 二项式: 这是一份五年高考(2016-2020)高考数学(理)真题分项详解——专题13 二项式,文件包含专题原卷版五年高考2016-2020高考数学理真题分项详解专题13二项式学生版doc、专题解析版五年高考2016-2020高考数学理真题分项详解专题13二项式教师版doc等2份试卷配套教学资源,其中试卷共13页, 欢迎下载使用。
五年高考(2016-2020)高考数学(理)真题分项详解——专题15 三角函数与解三角形综合: 这是一份五年高考(2016-2020)高考数学(理)真题分项详解——专题15 三角函数与解三角形综合,文件包含专题原卷版五年高考2016-2020高考数学理真题分项详解专题15三角函数与解三角形综合学生版doc、专题解析版五年高考2016-2020高考数学理真题分项详解专题15三角函数与解三角形综合教师版doc等2份试卷配套教学资源,其中试卷共35页, 欢迎下载使用。