还剩3页未读,
继续阅读
2020届黑龙江省哈尔滨市阿城区第二中学高三上学期第二次阶段性验收考试数学(文)试卷(PDF版)
展开
这是一份2020届黑龙江省哈尔滨市阿城区第二中学高三上学期第二次阶段性验收考试数学(文)试卷(PDF版),共6页。
相关试卷
2021届黑龙江省哈尔滨市第三中学校高三上学期第二次验收考试数学(文)试题(解析版):
这是一份2021届黑龙江省哈尔滨市第三中学校高三上学期第二次验收考试数学(文)试题(解析版),共18页。试卷主要包含了单选题,填空题,解答题等内容,欢迎下载使用。
2023届黑龙江省哈尔滨市第三中学校高三上学期第二次验收考试数学试题 PDF版:
这是一份2023届黑龙江省哈尔滨市第三中学校高三上学期第二次验收考试数学试题 PDF版,共10页。
2023届黑龙江省哈尔滨市第三中学高三上学期第二次验收考试 数学 PDF版:
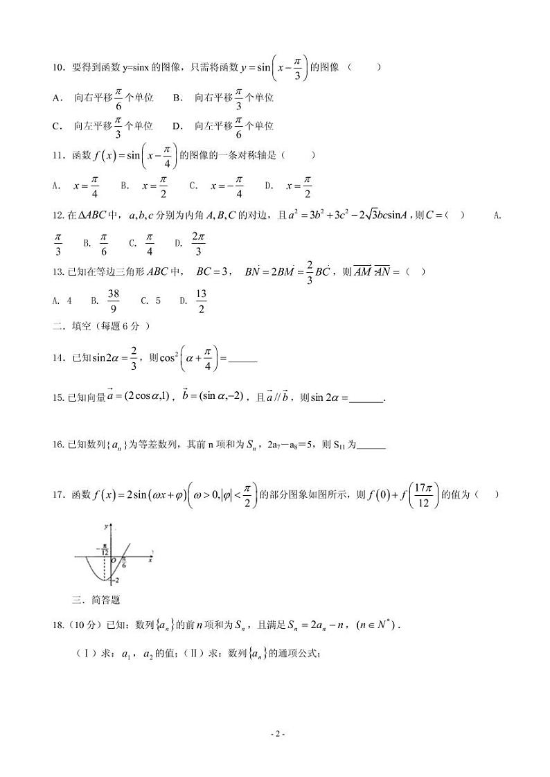
这是一份2023届黑龙江省哈尔滨市第三中学高三上学期第二次验收考试 数学 PDF版,文件包含黑龙江省哈尔滨市第三中学校2022-2023学年高三上学期第二次验收考试数学试题pdf、数学答案pdf等2份试卷配套教学资源,其中试卷共10页, 欢迎下载使用。

