人教版新课标A选修4-5第一讲 不等式和绝对值不等式一 不等式2.基本不等式多媒体教学课件ppt
展开【自主预习】1.重要不等式定理1:如果a,b∈R,那么a2+b2___2ab,当且仅当____时,等号成立.
2.基本不等式(1)定理2:如果a,b>0,那么__________.当且仅当____时,等号成立.
(2)定理2的应用:对两个正实数x,y,①如果它们的和S是定值,则当且仅当____时,它们的积P取得最___值;②如果它们的积P是定值,则当且仅当____时,它们的和S取得最___值.
【即时小测】1.已知x>3,则x+ 的最小值为 ( )A.2B.4C.5D.7【解析】选D.x>3,则 当且仅当x=5时等号成立.
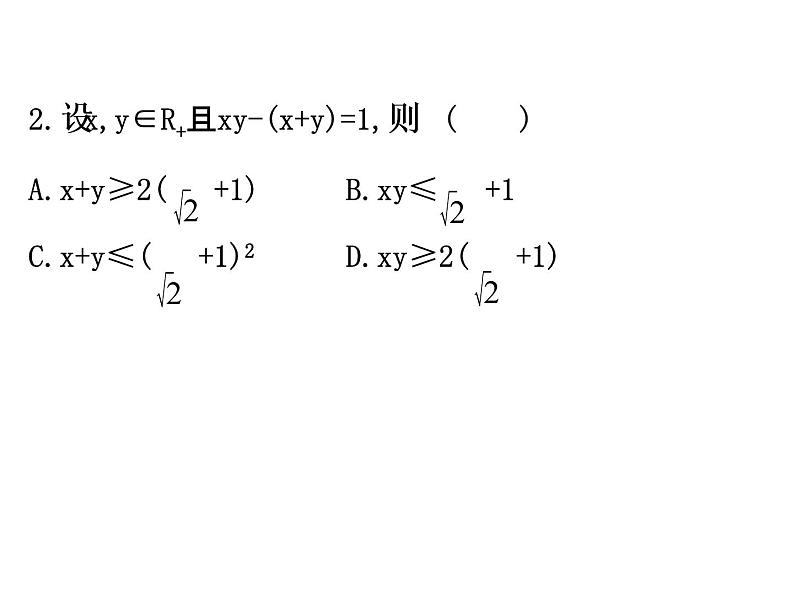
2.设x,y∈R+且xy-(x+y)=1,则 ( )A.x+y≥2( +1)B.xy≤ +1C.x+y≤( +1)2D.xy≥2( +1)
【解析】选A.因为xy-(x+y)≤xy- 所以xy- ≥1,解得xy≥3+ .又xy-(x+y)≤ (x+y)2-(x+y), (x+y)2-(x+y)≥1,解得x+y≥2( +1).
3.函数f(x)= 的值域为_________ .【解析】f(x)= 答案:
【知识探究】 探究点 基本不等式1.在基本不等式 中,为什么要求a>0,b>0?提示:因为若a<0,b<0时,不等式显然不成立,若其中有一个为0时,不能称 为几何平均,故要求a>0,b>0.
2.若f(x)=x+ ,则f(x)的最小值为2吗?提示:f(x)的最小值不是2,只有当x>0时,f(x)的最小值才是2.
【归纳总结】1.理解基本不等式的两个关键点一是定理成立的条件是a,b都是正数;二是等号取得的条件是当且仅当a=b时.
2.利用 求最值的三个条件(1)各项或各因式为正.(2)和或积为定值.(3)各项或各因式能取得相等的值.
3.定理1与定理2的不同点定理1的适用范围是a,b∈R;定理2的适用范围是a>0,b>0.
4.两个不等式定理的常见变形(1)ab≤ (2)ab≤ (a>0,b>0).(3) ≥2(ab>0).(4) (5)a+b≤ 上述不等式中等号成立的充要条件均为a=b.
类型一 利用基本不等式求最值【典例】1.(2015·湖南高考)若实数a,b满足 ,则ab的最小值为 ( )A. B.2 C.2 D.42.已知x>0,y>0,且x+2y+xy=30,求x·y的最大值.
【解题探究】1.如何利用条件?提示:根据 可得a>0,b>0,然后借助基本不等式 构造关于 的不等式.2.如何利用“x+2y+xy=30”这个条件?提示:由x+2y+xy=30,得y=
【解析】1.选C.因为 ,所以a>0,b>0,由 所以ab≥2 (当且仅当b=2a时取等号),所以ab的最小值为2 .
2.由x+2y+xy=30,得y= (0
【解析】由x+2y=x·y得, 所以x+y= ≥ 当且仅当 ,结合 得x= +2,y=1+ 时,取最小值2 +3.
2.典例中题2条件不变,求x+2y的最小值.【解题指南】利用x+2y+x·y=30,建立关于x+2y的不等式求最值.
【解析】由30=x+2y+xy=x+2y+ ·x·2y≤x+2y+ 即(x+2y)2+8(x+2y)-240≥0,(x+2y+20)(x+2y-12)≥0,所以x+2y≥12或x+2y≤-20(舍)故x+2y的最小值为12,当且仅当x=6,y=3时取得.
【方法技巧】应用基本不等式求最值的方法与步骤(1)方法:二看一验证①一看式子能否出现和(或积)为定值,若不出现,需对式子变形,凑出需要的定值;②二看所用的两项是否同正,若不满足,通过分类解决,同负时,可提取(-1)变为同正;
③验证利用已知条件对取等号的情况进行验证.若满足,则可取最值;若不满足,则可通过函数单调性或导数解决.
【拓展延伸】利用基本不等式解决实际应用问题的方法 利用不等式解决实际应用问题时,首先要仔细阅读题目,弄清要解决的实际问题,确定是求什么量的取值;其次,分析题目中给出的条件,建立y的函数表达式y=f(x);最后,利用不等式的有关知识解题.
【变式训练】1.(2015·山东高考)定义运算“⊗”:x⊗y= (x,y∈R,xy≠0),当x>0,y>0时,x⊗y+(2y)⊗x的最小值为_________.【解题指南】本题以新定义形式考查用基本不等式求最值的基本方法.
【解析】x>0,y>0时,x⊗y+(2y)⊗x= 所以所求的最小值为 .答案:
2.为确保巴西世界杯总决赛的顺利进行,组委会决定在位于里约热内卢的马拉卡纳体育场外临时围建一个矩形观众候场区,总面积为72m2(如图所示),要求矩形场地的一面利用体育场的外墙,其余三面用铁栏杆围,
并且要在体育馆外墙对面留一个长度为2m的入口.现已知铁栏杆的租用费用为100元/m.设该矩形区域的长为x(单位:m),租用铁栏杆的总费用为y(单位:元).(1)将y表示为x的函数.(2)试确定x,使得租用此区域所用铁栏杆所需费用最小,并求出最小费用.
【解析】(1)依题意有:y= 其中x>2.(2)由基本不等式可得:y= 当且仅当 =x,即x=12时取“=”.综上:当x=12时,租用此区域所用铁栏杆所需费用最小,最小费用为2200元.
【补偿训练】动物园要围成相同面积的长方形虎笼四间.一面可利用原有的墙,其他各面(不包括上盖和地面)用钢筋网围成.
(1)现有36m长的材料,每间虎笼的长、宽各设计为多少时,可使每间虎笼面积最大?(2)若使每间虎笼面积为24m2,则每间虎笼的长、宽各设计为多少时,可使围成四间虎笼的钢筋网总长最小?
【解题指南】设每间虎笼长xm,宽ym,则问题(1)是在4x+6y=36的前提下求xy的最大值;而问题(2)则是在xy=24的前提下求4x+6y的最小值,使用基本不等式解决.
【解析】设每间虎笼长为xm,宽为ym,(1)由条件得4x+6y=36,即2x+3y=18.设每间虎笼面积为S,则S=xy.方法一:由于2x+3y≥ 所以2 ≤18,得xy≤ ,
即S≤ ,当且仅当2x=3y时,等号成立.由 故每间虎笼长为4.5m,宽为3m时,可使面积最大.
方法二:由2x+3y=18,得x=9- y.因为x>0,所以0
当且仅当6-y=y,即y=3时,等号成立,此时x=4.5.故每间虎笼长为4.5m,宽为3m时,可使面积最大.
(2)由条件知S=xy=24.设钢筋网总长为l,则l=4x+6y.方法一:因为2x+3y≥ 所以l=4x+6y=2(2x+3y)≥48,当且仅当2x=3y时,等号成立.
由 故每间虎笼长6m,宽4m时,可使钢筋网总长最小.
方法二:由xy=24,得x= 所以l=4x+6y= 当且仅当 =y,即y=4(y=-4舍去)时,等号成立,此时x=6.故每间虎笼长6m,宽4m时,可使钢筋网总长最小.
类型二 利用基本不等式证明不等式【典例】已知a>0,b>0,c>0,且a+b+c=1,证明:(1)a2+b2+c2≥ .(2)
【解题探究】典例中如何建立a2与a的不等关系?提示:由 可建立a2与a的不等关系.
【证明】(1)由 相加得:a2+b2+c2+ 当且仅当a=b=c= 时取等号.所以a2+b2+c2≥ .
(2)由a>0,b>0,c>0,所以 相加得: 所以 当且仅当a=b=c= 时取等号.
【方法技巧】利用基本不等式证明不等式的方法与技巧(1)方法:用基本不等式证明不等式时,应首先依据不等式两边式子的结构特点进行恒等变形,使之具备基本不等式的结构和条件,然后合理地选择基本不等式或其变形形式进行证明.
(2)技巧:对含条件的不等式的证明问题,要将条件与结论结合起来,寻找出变形的思路,构造出基本不等式,切忌两次使用基本不等式用传递性证明,有时等号不能同时取到.
【变式训练】1.已知a,b都是正数,且a+b=1.求证:
【证明】 当且仅当 即a=b时,等号成立.故
2.已知a,b,c都是正数,且a+b+c=1.求证:
【证明】因为a,b,c都是正数,且a+b+c=1.
当且仅当 即a=b=c时,等号成立.所以
拓展类型 利用基本不等式比较大小【典例】若a>b>1,P=(lga+lgb),R=lg ,试比较P,Q,R的大小关系.
【解析】因为a>b>1,所以lga>0,lgb>0, 所以P= 又Q= (lga+lgb)=lg ,而 所以 即Q
(2)若问题中一端出现“和式”,而另一端出现“积式”,这便是应用基本不等式的“题眼”,不妨运用基本不等式试试看.
【变式训练】1.已知f(x)=lgx,a,b∈R+, 判断P,G,Q的大小关系.
【解析】因为a>0,b>0,所以 当且仅当a=b时取等号.又函数f(x)=lgx是增函数,所以P≥G≥Q.
2.已知a>b>c,比较 的大小关系.【解题指南】将 表示成 ,用基本不等式比较大小.【解析】因为a>b>c,所以a-b>0,b-c>0,所以 当且仅当a-b=b-c即2b=a+c时取等号.
自我纠错 正确运用基本不等式【典例】给出下面三个推导过程:(1)因为a,b∈(0,+∞),所以 (2)因为x,y∈(0,+∞),所以lgx+lgy≥ (3)因为a∈R,a≠0,所以 其中正确的推导过程的序号为_____________.
分析解题过程,找出错误之处,并写出正确答案.提示:错误的根本原因是忽视了基本不等式成立的条件,忽视了(2)(3)中的变量可能为负值而致误.正确解答过程如下:
【解析】从基本不等式成立的条件考虑.(1)因为a,b∈(0,+∞),所以 ∈(0,+∞),符合基本不等式的条件,故(1)的推导过程正确.(2)虽然x,y∈(0,+∞),但当x∈(0,1)时,lgx是负数,当y∈(0,1)时,lgy是负数,所以(2)的推导过程是错误的.
(3)因为a∈R,不符合基本不等式的条件,所以 是错误的.答案:(1)
人教版新课标A选修4-5三 排序不等式评课课件ppt: 这是一份人教版新课标A选修4-5三 排序不等式评课课件ppt,共45页。PPT课件主要包含了失误案例等内容,欢迎下载使用。
高中数学人教版新课标A选修4-5一 二维形式的柯西不等式课文课件ppt: 这是一份高中数学人教版新课标A选修4-5一 二维形式的柯西不等式课文课件ppt,共50页。PPT课件主要包含了ac+bd2,失误案例等内容,欢迎下载使用。
高中人教版新课标A二 一般形式的柯西不等式背景图ppt课件: 这是一份高中人教版新课标A二 一般形式的柯西不等式背景图ppt课件,共43页。PPT课件主要包含了kbi,失误案例等内容,欢迎下载使用。

