







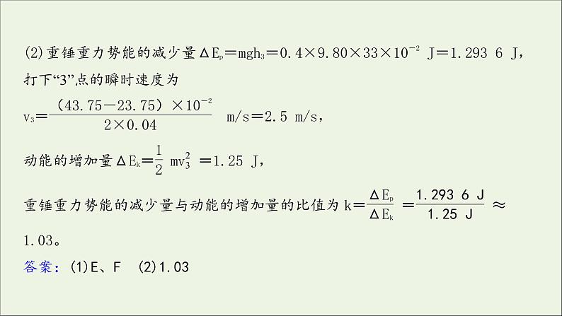
2022届高考物理一轮复习实验抢分专练六验证机械能守恒定律课件新人教版
展开人教版高考物理一轮复习实验抢分专练19用双缝干涉实验测量光的波长课件: 这是一份人教版高考物理一轮复习实验抢分专练19用双缝干涉实验测量光的波长课件,共26页。
人教版高考物理一轮复习实验抢分专练18测量玻璃的折射率课件: 这是一份人教版高考物理一轮复习实验抢分专练18测量玻璃的折射率课件,共28页。
人教版高考物理一轮复习实验抢分专练11测量金属丝的电阻率课件: 这是一份人教版高考物理一轮复习实验抢分专练11测量金属丝的电阻率课件,共19页。