高三数学三角函数专题 方法6: 代入验证法判断三角函数的对称轴和对称中心
展开1.己知函数的最小正周期为π,且图象向右平移个单位后得到的函数为偶函数,则下列说法错误的有( )
A.关于点对称B.关于直线对称
C.在单调递增D.在单调递减
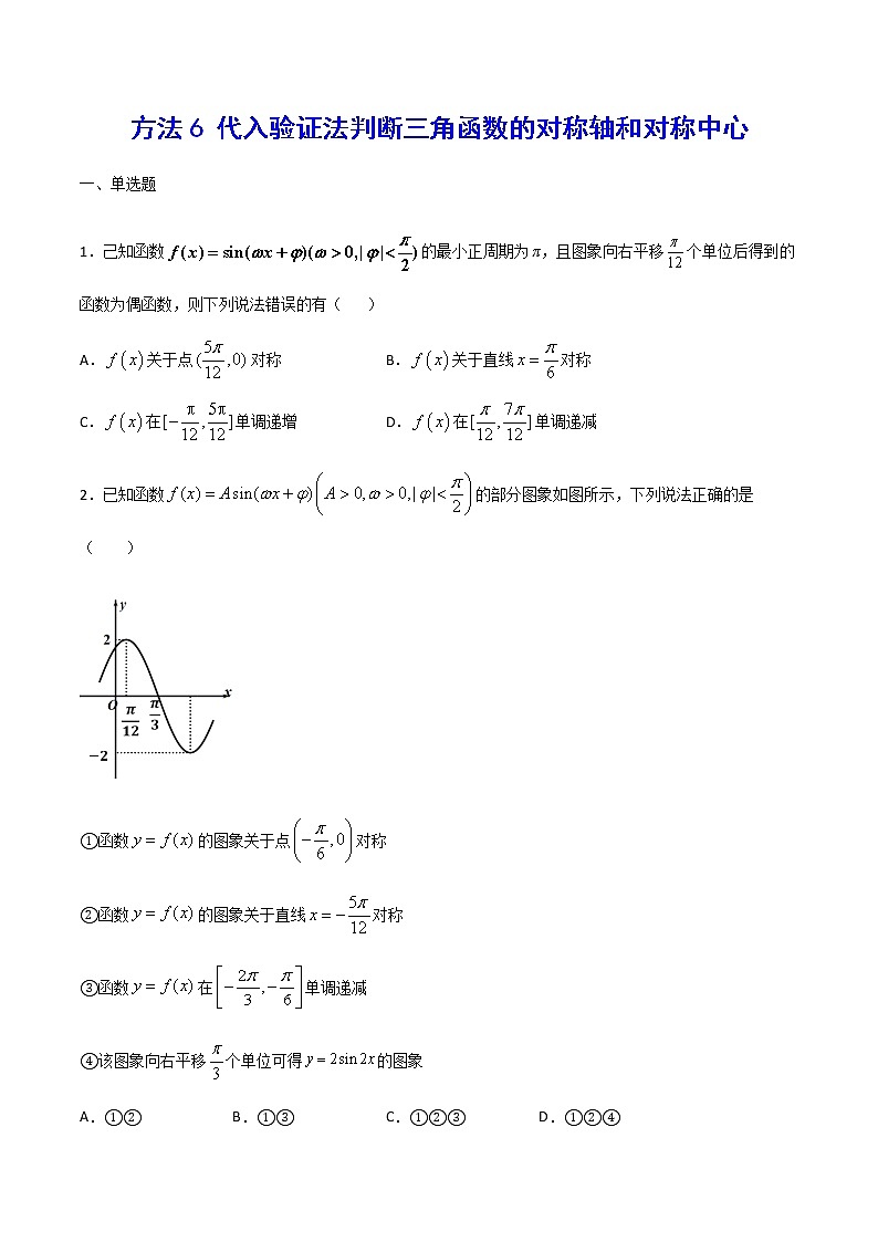
2.已知函数的部分图象如图所示,下列说法正确的是( )
①函数的图象关于点对称
②函数的图象关于直线对称
③函数在单调递减
④该图象向右平移个单位可得的图象
A.①②B.①③C.①②③D.①②④
3.将函数的图象向左平移个单位长度得到的图象,则下列判断正确的是( )
A.函数的最小正周期为
B.函数图象关于直线对称
C.函数在区间上单调递减
D.函数图象关于点对称
4.已知函数,则( )
A.的最小正周期为
B.的单调递增区间为
C.的图象关于直线对称
D.的图象关于点对称
5.已知函数,其图象相邻两条对称轴之间的距离为,且直线是其中一条对称轴,则下列结论错误的是( )
A.函数的最小正周期为
B.
C.函数在区间上单调递增
D.点是函数图象的一个对称中心
6.下列函数中最小正周期是且图象关于直线对称的是( )
A.B.
C.D.
7.关于有以下命题:①若,则;②图象与图象相同;③在区间是减函数;④图象关于点对称.其中正确的命题序号是( )
A.②③④B.①④C.①②③D.②③
8.将函数的图象向右平移个单位长度后得到函数的图象,对于函数有以下四个判断:
①该函数的解析式为;
②该函数图象关于点对称;
③该函数在区间上单调递增;
④该函数在区间上单调递增.
其中,正确判断的序号是( )
A.②③B.①②C.②④D.③④
9.设函数的图象为,下面结论中正确的是( )
A.函数的最小正周期是B.图象关于点对称
C.图象向右平移个单位后关于原点对称D.函数在区间上是增函数
二、多选题
10.已知函数,下列结论正确的为( )
A.函数的值域为B.函数的一条对称轴为
C.函数的一个对称中心为D.函数为奇函数
11.函数的图象的一条对称轴可以是( )
A.B.C.D.
12.已知函数,则下列关于该函数性质说法正确的有( )
A.的一个周期是B.的值域是
C.的图象关于点对称D.在区间上单调递减
13.已知函数,则下列四个结论中正确的是( )
A.函数的图象关于原点对称
B.函数的最小正周期为
C.的值域为
D.设函数的奇偶性与函数相同,且函数在上单调递减,则的最小值为2
14.若函数在上为增函数,则( )
A.实数a的取值范围为B.实数a的取值范围为
C.点为曲线的对称中心D.直线为曲线的对称轴
15.已知函数的部分图象如图所示,下列说法正确的是( )
A.函数的图象关于点对称
B.函数的图象关于直线对称
C.函数在单调递减
D.该图象向右平移个单位可得的图象
16.设函数(,),,,且在上单调,则下列结论正确的是( )
A.是的一个对称中心
B.函数的图象关于直线对称
C.函数在区间上的值域为
D.先将的图象的横坐标缩短为原来的,然后向左平移个单位得到的图象
17.已知函数,则( )
A.的图象关于直线对称B.的图象关于点对称
C.在区间上单调递增D.在区间上有两个零点
18.对于函数(其中),下列结论正确的是( )
A.若恒成立,则的最小值为
B.当时,在区间上是单调函数
C.当时,的图象可由的图象向右移个单位长度得到
D.当时,的图象关于点中心对称
19.设函数,则下列结论正确的是( )
A.的一个周期为B.的图象关于直线对称
C.与轴的一个交点坐标为D.在上单调递减
20.已知函数,则下列结论正确的是( )
A.函数在区间上为增函数
B.直线是函数图像的一条对称轴
C.函数的图像可由函数的图像向右平移个单位得到
D.函数的图像关于点对称
21.已知函数,则下列结论正确的是( )
A.函数是周期函数B.函数在[,]上有4个零点
C.函数的图象关于(,)对称D.函数的最大值为
22.已知函数(,)的最小正周期为,且图象过点,则( )
A.直线是函数图象的一条对称轴
B.的图象可由的图象向左平移个单位长度得到
C.在上的值域为
D.在区间上单调递减
23.将函数的图象上每个点的横坐标缩短为原来的(纵坐标不变),再将所得图象向右平移个单位长度,得到函数的图象,则下列说法正确的是( )
A.的最小正周期为
B.的图象关于点中心对称
C.在上单调递增
D.若存在,使成立,则
24.在现代社会中,信号处理是非常关键的技术,我们通过每天都在使用的电话或者互联网就能感受到.而信号处理背后的“功臣”就是正弦型函数.函数的图象就可以近似的模拟某种信号的波形,则( )
A.函数为周期函数,且最小正周期为
B.函数的图象关于点对称
C.函数的图象关于直线对称
D.函数的导函数的最大值为4
25.已知函数,下列说法正确的是( )
A.关于点对称
B.关于直线对称
C.的图像向左平移个单位长度后可得到的图像
D.的图像向右平移个单位长度后可得到的图像
26.已知函数,则( )
A.的图象关于点对称B.的图象的一条对称轴是
C.在上递减D.在值域为
小正周期是,若其图象向右平移个单位后得到的函数为奇函数,则下列结论正确的是( )
A.函数的图象关于直线对称
B.函数的图象关于点对称
C.函数在区间上单调递减
D.函数在上有2个零点
28.函数的图象过点,若把函数图像向右平移个单位得到函数的图像,则下列结论正确的是( )
A.直线是的一条对称轴B.函数的最小正周期是
C.函数的值域是D.的最小值是
29.若函数的部分图像,如图所示,则下列说法正确的是( )
A.
B.函数的图像关于对称
C.函数的图像关于点对称
D.时,的值域为
30.已知函数(其中,,)的部分图象如图所示,则下列结论正确的是( )
A.函数的图象关于直线对称
B.函数的图象关于点对称
C.函数在区间上单调递增
D.与图象的所有交点的横坐标之和为
31.已知函数,若将函数的图象平移后能与函数的图象完全重合,则下列说法正确的有( )
A.函数的最小正周期为
B.将函数的图象向左平移个单位长度后,得到的函数图象关于y轴对称
C.当时,函数的值域为
D.当函数取得最值时,
32.已知函数的最小正周期为,将的图象向左平移个单位长度,再把得到的曲线上各点的横坐标伸长到原来的2倍,得到函数的图象,则下列结论正确的是( )
A.B.的图象关于点对称
C.的图象关于对称D.在上的最大值是1
33.函数的最小正周期为,,下列说法正确的是( )
A.的一个零点为B.是偶函数
C.在区间上单调递增D.的一条对称轴为
34.已知函数在区间上至少存在两个不同的满足,且在区间上具有单调性,点和直线分别为图象的一个对称中心和一条对称轴,则下列命题中正确的是( )
A.在区间上的单调性无法判断
B.图象的一个对称中心为
C.在区间上的最大值与最小值的和为
D.将图象上所有点的横坐标伸长为原来的2倍(纵坐标不变),再向左平移个单位得到的图象,则
35.已知函数的图象的一条对称轴为直线,为函数的导函数,函数,则下列说法正确的是( )
A.直线是函数图象的一条对称轴B.的最小正周期为
C.是函数图象的一个对称中心D.的最大值为
36.已知函数f(x)=sin(ωx+φ)(ω>0,)的部分图像如图所示,则( )
A.B.
C.D.
37.关于函数有下列命题,其中正确的是( )
A.是以为最小正周期的周期函数
B.的表达式可改写为
C.的图象关于直线对称
D.的图象关于点对称
38.若将函数的图象向左平移个单位长度,得到函数的图象,则下列说法正确的是( )
A.的最小周期为B.
C.是函数图象的一条对称轴D.在上的最大值为
三、解答题
39.已知函数
(I)求的最小正周期及对称轴方程;
(Ⅱ)求在区间上的最值.
40.函数.
(1)求函数的定义域;
(2)求的值;
(3)求函数的最小正周期及其图象的所有对称轴的方程.
四、填空题
41.关于函数有如下命题,其中正确的有______
①的表达式可改写为
②是以为最小正周期的周期函数;
③的图象关于点对称;
④的图象关于直线对称.
42.函数的图象向左平移个单位得到函数的图象,则下列函数的结论:①一条对称轴方程为;②点是对称中心;③在区间上为单调增函数;④函数在区间上的最小值为.其中所有正确的结论为______.(写出正确结论的序号)
高考数学二轮专题——高考函数对称轴对称中心压轴题专题: 这是一份高考数学二轮专题——高考函数对称轴对称中心压轴题专题,共5页。
高三数学三角函数专题 方法18:化角为边法判断三角形的形状: 这是一份高三数学三角函数专题 方法18:化角为边法判断三角形的形状,文件包含方法18化角为边法判断三角形的形状原卷版docx、方法18化角为边法判断三角形的形状解析版docx等2份试卷配套教学资源,其中试卷共48页, 欢迎下载使用。
高三数学三角函数专题 方法12:已知角求三角函数值: 这是一份高三数学三角函数专题 方法12:已知角求三角函数值,文件包含方法12已知角求三角函数值原卷版docx、方法12已知角求三角函数值解析版docx等2份试卷配套教学资源,其中试卷共42页, 欢迎下载使用。

