








江西省重点中学九校协作体2021届高三下学期第一次联考试题(2月) 数学(理) Word版含答案
展开
这是一份江西省重点中学九校协作体2021届高三下学期第一次联考试题(2月) 数学(理) Word版含答案,文件包含答案docx、试卷docx、答案pdf、答题卡pdf、试卷pdf等5份试卷配套教学资源,其中试卷共10页, 欢迎下载使用。
二、填空题
10 14. 15.2 16.
解(1)由题意得:,或(舍)
分
又分
(2)
分
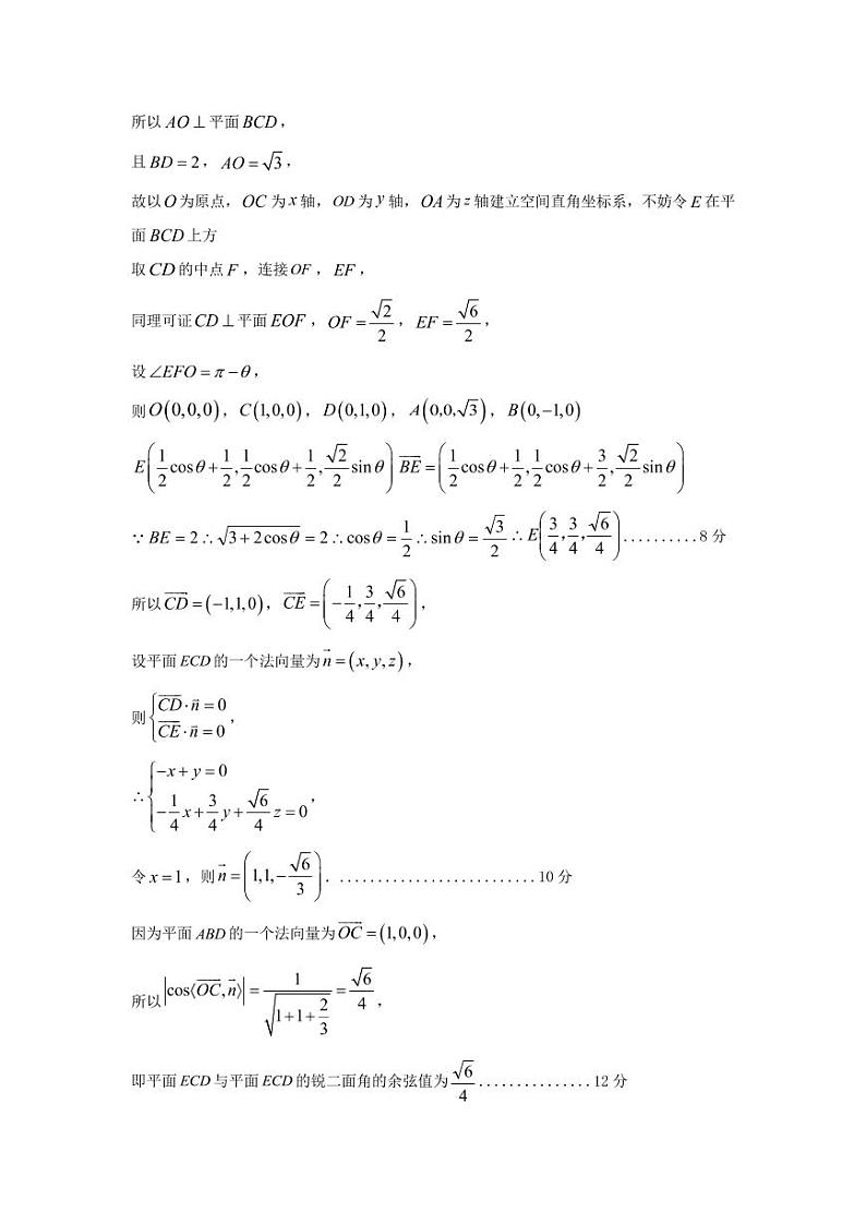
18.解:取的中点,连接,,
因为是等边三角形,所以,分
且,又因为,所以,又分
因为,所以平面,分
因为平面平面,
平面平面,
所以平面,
且,,
故以为原点,为轴,为轴,为轴建立空间直角坐标系,不妨令在平面上方
取的中点,连接,,
同理可证平面,,,
设,
则,,,,
分
所以,,
设平面的一个法向量为,
则,
,
令,则.分
因为平面的一个法向量为,
所以,
即平面与平面的锐二面角的余弦值为分
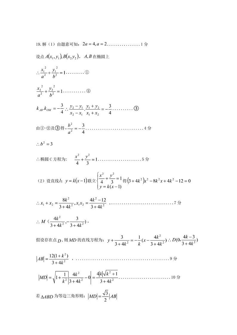
19.解(1)由题意可知:分
设点,在椭圆上
①
②
③
由①-②及③得分
椭圆C方程为: 分
(2)设直线联立得
,分
,
假设存在点,则的直线方程为:
,分
分
若为等边三角形则:
即,方程无实数解,
不存在这样的点分
20.解:(1)依题意得:X的所有可能取值为500,300,200,分
由表格数据知
,,,分
因此分布列为
分
(2)由题意可知,这种饮品一天的需求量最多为500瓶,最少为200瓶,因此只需考虑。
当时,
,
当,分
当时,
,
分
分
21.解(1),分
当定义域为,令,得,得
在单调递增,在单调递减分
当定义域为,令,得,得
在单调递增,在单调递减分
(2)要证,,即证.
令,则,
设,则,
令,其中,.
当时,,此时函数单调递减;
当时,,此时函数单调递增.
所以,,则对任意的,,
所以,函数在上为增函数,
因为,,由零点存在定理可知,存在使得,可得.
当时,,即,此时函数单调递减;
当时,,即,此时函数单调递增.
,分
令,,,
则函数在时单调递减,
所以,,所以,,
因此,对任意的,即分
22.(1)曲线的普通方程为
直线的普通方程为分
(2)曲线上任意一点到的距离为
.
则,
当时,取得最小值,最小值为.
当时,取得最大值,最达值为分
23.(1)证明∵,,均为正数,
∴
以上三式相加,得
∴
即.(当且仅当时等号成立).分
(2)因为,
,
当且仅当,即时等号成立.
所以原式的最小值为分
更多免费资料(含小学 初中 高中)请关注微信公众号:小草教学
序号
1
2
3
4
5
6
7
8
9
10
11
12
选项
D
C
B
B
C
D
B
C
A
C
A
C
X
200
300
500
P
0.3
0.4
0.3
相关试卷
这是一份江西省五市九校协作体2023届高三数学(理)第二次联考试题(Word版附解析),共27页。试卷主要包含了选择题,填空题,解答题等内容,欢迎下载使用。
这是一份江西省重点中学协作体2023届高三数学(理)第二次联考试题(Word版附解析),共26页。试卷主要包含了选择题,填空题,解答题等内容,欢迎下载使用。
这是一份江西省重点中学协作体2023届高三第二次联考数学(理)试题(含答案),共8页。试卷主要包含了单选题,填空题,解答题等内容,欢迎下载使用。