


近年中考数学压轴题大集合(一)
展开1.如图①,在平面直角坐标系中,AB、CD都垂直于x轴,垂足分别为B、D且AD与B相交于E点.已知:A(-2,-6),C(1,-3)
求证:E点在y轴上;
如果有一抛物线经过A,E,C三点,求此抛物线方程.
如果AB位置不变,再将DC水平向右移动k(k>0)个单位,此时AD与BC相交于E′点,如图②,求△AE′C的面积S关于k的函数解析式.
图②
C(1+k,-3)
A
(2,-6)
B
D
O
x
E′
y
C(1,-3)
A
(2,-6)
B
D
O
x
E
y
图①
[解] (1)(本小题介绍二种方法,供参考)
方法一:过E作EO′⊥x轴,垂足O′∴AB∥EO′∥DC
∴
又∵DO′+BO′=DB
∴
∵AB=6,DC=3,∴EO′=2
又∵,∴
∴DO′=DO,即O′与O重合,E在y轴上
方法二:由D(1,0),A(-2,-6),得DA直线方程:y=2x-2①
再由B(-2,0),C(1,-3),得BC直线方程:y=-x-2 ②
联立①②得
∴E点坐标(0,-2),即E点在y轴上
(2)设抛物线的方程y=ax2+bx+c(a≠0)过A(-2,-6),C(1,-3)
E(0,-2)三点,得方程组
解得a=-1,b=0,c=-2
∴抛物线方程y=-x2-2
(3)(本小题给出三种方法,供参考)
由(1)当DC水平向右平移k后,过AD与BC的交点E′作E′F⊥x轴垂足为F。
同(1)可得: 得:E′F=2
方法一:又∵E′F∥AB,∴
S△AE′C= S△ADC- S△E′DC=
==DB=3+k
S=3+k为所求函数解析式
方法二:∵ BA∥DC,∴S△BCA=S△BDA
∴S△AE′C= S△BDE′
∴S=3+k为所求函数解析式.
证法三:S△DE′C∶S△AE′C=DE′∶AE′=DC∶AB=1∶2
同理:S△DE′C∶S△DE′B=1∶2,又∵S△DE′C∶S△ABE′=DC2∶AB2=1∶4
∴
∴S=3+k为所求函数解析式.
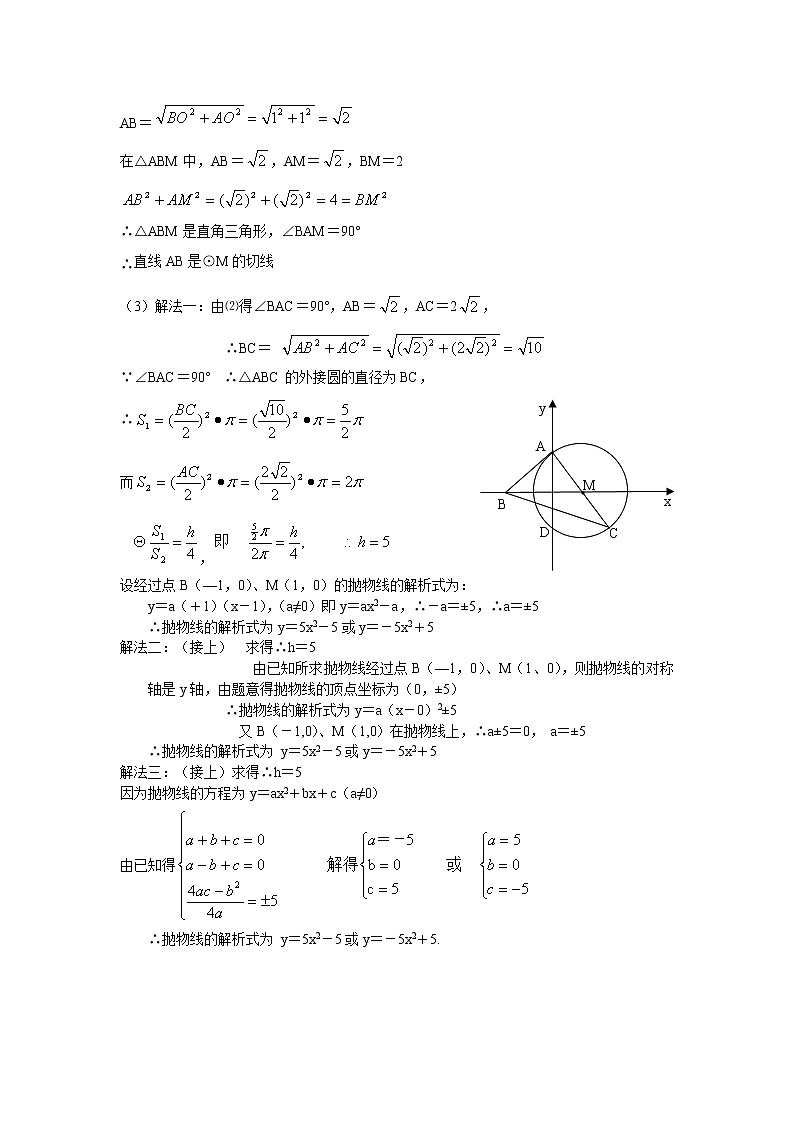
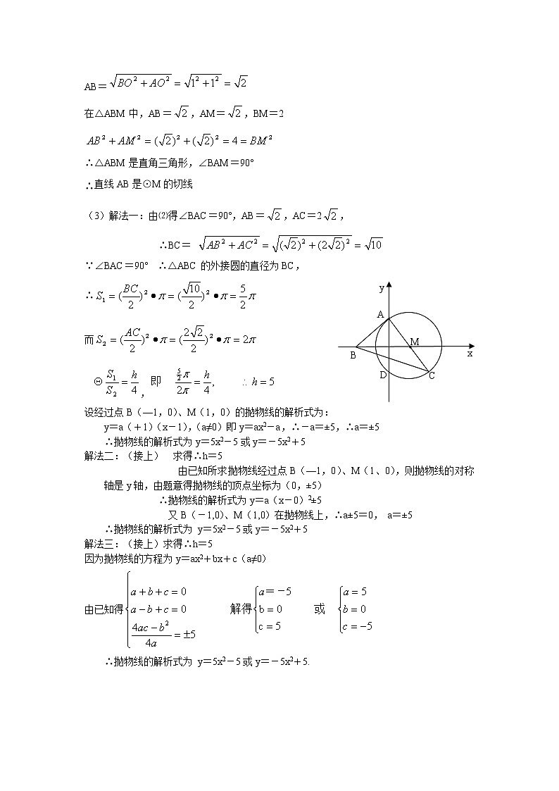
2.已知:如图,在直线坐标系中,以点M(1,0)为圆心、直径AC为的圆与y轴交于A、D两点.
(1)求点A的坐标;
(2)设过点A的直线y=x+b与x轴交于点B.探究:直线AB是否⊙M的切线?并对你的结论加以证明;
(3)连接BC,记△ABC的外接圆面积为S1、⊙M面积为S2,若,抛物线
y=ax2+bx+c经过B、M两点,且它的顶点到轴的距离为.求这条抛物线的解析式.
[解](1)解:由已知AM=,OM=1,
在Rt△AOM中,AO=,
∴点A的坐标为A(0,1)
(2)证:∵直线y=x+b过点A(0,1)∴1=0+b即b=1 ∴y=x+1
令y=0则x=-1 ∴B(—1,0),
AB=
在△ABM中,AB=,AM=,BM=2
∴△ABM是直角三角形,∠BAM=90°
∴直线AB是⊙M的切线
(3)解法一:由⑵得∠BAC=90°,AB=,AC=2,
∴BC=
∵∠BAC=90° ∴△ABC的外接圆的直径为BC,
A
B
C
D
x
M
·
y
∴
而
,
设经过点B(—1,0)、M(1,0)的抛物线的解析式为:
y=a(+1)(x-1),(a≠0)即y=ax2-a,∴-a=±5,∴a=±5
∴抛物线的解析式为y=5x2-5或y=-5x2+5
解法二:(接上) 求得∴h=5
由已知所求抛物线经过点B(—1,0)、M(1、0),则抛物线的对称轴是y轴,由题意得抛物线的顶点坐标为(0,±5)
∴抛物线的解析式为y=a(x-0)2±5
又B(-1,0)、M(1,0)在抛物线上,∴a±5=0, a=±5
∴抛物线的解析式为 y=5x2-5或y=-5x2+5
解法三:(接上)求得∴h=5
因为抛物线的方程为y=ax2+bx+c(a≠0)
由已知得
∴抛物线的解析式为 y=5x2-5或y=-5x2+5.
3.如图,在直角坐标系中,以点P(1,-1)为圆心,2为半径作圆,交x轴于A、B两点,抛物线过点A、B,且顶点C在⊙P上.
(1)求⊙P上劣弧的长;
(2)求抛物线的解析式;
A
B
C
O
x
y
·
P(1,-1)
(3)在抛物线上是否存在一点D,使线段OC与PD互相平分?若存在,求出点D的坐标;若不存在,请说明理由.
[解] (1)如图,连结PB,过P作PM⊥x轴,垂足为M.
在Rt△PMB中,PB=2,PM=1,
∴∠MPB=60°,∴∠APB=120°
的长=
A
B
C
O
x
y
P(1,-1)
·
M
(2)在Rt△PMB中,PB=2,PM=1,则MB=MA=.
又OM=1,∴A(1-,0),B(1+,0),
由抛物线及圆的对称性得知点C在直线PM上,
则C(1,-3).
点A、B、C在抛物线上,则
解之得
抛物线解析式为
(3)假设存在点D,使OC与PD互相平分,则四边形OPCD为平行四边形,且PC∥OD.
又PC∥y轴,∴点D在y轴上,∴OD=2,即D(0,-2).
又点D(0,-2)在抛物线上,故存在点D(0,-2),
使线段OC与PD互相平分.
4.如图,在平面直角坐标系内,Rt△ABC的直角顶点C(0,)在轴的正半轴上,A、B是轴上是两点,且OA∶OB=3∶1,以OA、OB为直径的圆分别交AC于点E,交BC于点F.直线EF交OC于点Q.
A
y
x
B
E
F
O1
Q
O
O2
C
(1)求过A、B、C三点的抛物线的解析式;
(2)请猜想:直线EF与两圆有怎样的位置关系?并证明你的猜想.
(3)在△AOC中,设点M是AC边上的一个动点,过M作MN∥AB交OC于点N.试问:在轴上是否存在点P,使得△PMN是一个以MN为一直角边的等腰直角三角形?若存在,求出P点坐标;若不存在,请说明理由.
B
A
E
F
O1
Q
O
O2
y
x
2
1
3
4
N
M
P
C
[解] (1)在Rt△ABC中,OC⊥AB,
∴△AOC≌△COB.
∴OC2=OA·OB.
∵OA∶OB=3∶1,C(0,),
∴
∴OB=1.∴OA=3.
∴A(-3,0),B(1,0).
设抛物线的解析式为
则解之,得
∴经过A、B、C三点的抛物线的解析式为
(2)EF与⊙O1、⊙O2都相切.
证明:连结O1E、OE、OF.
∵∠ECF=∠AEO=∠BFO=90°,
∴四边形EOFC为矩形.
∴QE=QO.
∴∠1=∠2.
∵∠3=∠4,∠2+∠4=90°,
∴EF与⊙O1相切.
同理:EF理⊙O2相切.
(3)作MP⊥OA于P,设MN=a,由题意可得MP=MN=a.
∵MN∥OA,
∴△CMN∽△CAO.
∴
∴
解之,得
此时,四边形OPMN是正方形.
∴
∴
考虑到四边形PMNO此时为正方形,
∴点P在原点时仍可满足△PNN是以MN为一直角边的等腰直角三角形.
故轴上存在点P使得△PMN是一个以MN为一直角边的等腰直角三角形且或
5.如图,已知点A(0,1)、C(4,3)、E(,),P是以AC为对角线的矩形ABCD内部(不在各边上)的—个动点,点D在y轴,抛物线y=ax2+bx+1以P为顶点.
(1)说明点A、C、E在一条条直线上;
(2)能否判断抛物线y=ax2+bx+1的开口方向?请说明理由;
X
O
P
D
C
A
B
Y
(3)设抛物线y=ax2+bx+1与x轴有交点F、G(F在G的左侧),△GAO与△FAO的面积差为3,且这条抛物线与线段AE有两个不同的交点.这时能确定a、b的值吗?若能,请求出a、b的值;若不能,请确定a、b的取值范围.
(本题图形仅供分析参考用)
[解] (1)由题意,A(0,1)、C(4,3)确定的解析式为:y=x+1.
将点E的坐标E(,)代入y=x+1中,左边=,右边=×+1=,
∵左边=右边,∴点E在直线y=x+1上,即点A、C、E在一条直线上.
(2)解法一:由于动点P在矩形ABCD内部,∴点P的纵坐标大于点A的纵坐标,而点A与点P都在抛物线上,且P为顶点,∴这条抛物线有最高点,抛物线的开口向下
解法二:∵抛物线y=ax2+bx+c的顶点P的纵坐标为,且P在矩形ABCD内部,∴1<<3,由1<1—得—>0,∴a<0,∴抛物线的开口向下.
X
G
F
O
P
D
E
C
A
B
Y
(3)连接GA、FA,∵S△GAO—S△FAO=3 ∴GO·AO—FO·AO=3 ∵OA=1,∴GO—FO=6. 设F(x1,0)、G(x2,0),则x1、x2为方程ax2+bx+c=0的两个根,且x1<x2,又∵a<0,∴x1·x2=<0,∴x1<0<x2,
∴GO= x2,FO= —x1,∴x2—(—x1)=6,
即x2+x1=6,∵x2+x1= — ∴—=6,
∴b= —6a,
由方程组
y=ax2—6ax+1
y=x+1
得:ax2—(6a+)x=0
∴抛物线解析式为:y=ax2—6ax+1, 其顶点P的坐标为(3,1—9a), ∵顶点P在矩形ABCD内部, ∴1<1—9a<3, ∴—<a<0.
∴x=0或x==6+.
当x=0时,即抛物线与线段AE交于点A,而这条抛物线与线段AE有两个不同的交点,则有:0<6+≤,解得:—≤a<—
综合得:—<a<— ∵b= —6a,∴<b<
0
x
y
6.已知两点O(0,0)、B(0,2),⊙A过点B且与x轴分别相交于点O、C,⊙A被y轴分成段两圆弧,其弧长之比为3∶1,直线l与⊙A切于点O,抛物线的顶点在直线l上运动.
(1)求⊙A的半径;
(2)若抛物线经过O、C两点,求抛物线的解析式;
(3)过l上一点P的直线与⊙A交于C、E两点,且PC=CE,求点E的坐标;
(4)若抛物线与x轴分别相交于C、F两点,其顶点P的横坐标为m,求△PEC的面积关于m的函数解析式.
[解] (1)由弧长之比为3∶1,可得∠BAO=90º
再由AB=AO=r,且OB=2,得r= eq \r(2)
(2)⊙A的切线l过原点,可设l为y=kx
任取l上一点(b,kb),由l与y轴夹角为45º可得:
b=-kb或b=kb,得k=-1或k=1,
∴直线l的解析式为y=-x或y=x
又由r=,易得C(2,0)或C(-2,0)
由此可设抛物线解析式为y=ax(x-2)或y=ax(x+2)
再把顶点坐标代入l的解析式中得a=1
∴抛物线为y=x2-2x或y=x2+2x……6分
(3)当l的解析式为y=-x时,由P在l上,可设P(m,-m)(m>0)
过P作PP′⊥x轴于P′,∴OP′=|m|,PP′=|-m|,∴OP=2m2,
又由切割线定理可得:OP2=PC·PE,且PC=CE,得PC=PE=m=PP′7分
∴C与P′为同一点,即PE⊥x轴于C,∴m=-2,E(-2,2)…8分
同理,当l的解析式为y=x时,m=-2,E(-2,2)
(4)若C(2,0),此时l为y=-x,∵P与点O、点C不重合,∴m≠0且m≠2,
当m<0时,FC=2(2-m),高为|yp|即为-m,
∴S=
同理当0<m<2时,S=-m2+2m;当m>2时,S=m2-2m;
∴S= 又若C(-2,0),
此时l为y=x,同理可得;S=
A
A
B
(-2,0)C
C(2,0)
l
O
P
E
P′
x
y
(2,0)
P
C
l
O
y
x
C
F
F
F
P
P
7.如图,直线与函数的图像交于A、B两点,且与x、y轴分别交于C、D两点.
(1)若的面积是的面积的倍,求与之间的函数关系式;
y
x
(2)在(1)的条件下,是否存在和,使得以为直径的圆经过点.若存在,求出和的值;若不存在,请说明理由.
[解](1)设,(其中),
由,得
∴··(····),,
又,∴,即,
y
x
由可得,代入可得 ①
∴,,
∴,即.
又方程①的判别式,
∴所求的函数关系式为.
(2)假设存在,,使得以为直径的圆经过点.
则,过、分别作轴的垂线,垂足分别为、.
∵与都与互余,∴ .
∴Rt∽Rt,∴.
∴,∴, ∴,
即 ②
由(1)知,,代入②得,
∴或,又,∴或,
∴存在,,使得以为直径的圆经过点,且或.
8.已知抛物线与x轴交于两点、,与y轴交于点C,且AB=6.
(1)求抛物线和直线BC的解析式.
(2)在给定的直角坐标系中,画抛物线和直线BC.
(3)若过A、B、C三点,求的半径.
(4)抛物线上是否存在点M,过点M作轴于点N,使被直线BC分成面积比为的两部分?若存在,请求出点M的坐标;若不存在,请说明理由.
x
y
O
[解](1)由题意得:
解得
经检验m=1,∴抛物线的解析式为:
或:由得,或
抛物线的解析式为
由得
∴A(-5,0),B(1,0),C(0,-5).
设直线BC的解析式为
则
∴直线BC的解析式为
(2)图象略.
(3)法一:在中,
.
又
∴的半径
法二:
由题意,圆心P在AB的中垂线上,即在抛物线的对称轴直线上,设P(-2,-h)(h>0),
连结PB、PC,则,
由,即,解得h=2.
的半径.
法三:
延长CP交于点F.
为的直径,
又
又
的半径为
(4)设MN交直线BC于点E,点M的坐标为则点E的坐标为
若则
解得(不合题意舍去),
若则
解得(不合题意舍去),
存在点M,点M的坐标为或(15,280).
9. 如图,⊙M与x轴交于A、B两点,其坐标分别为、,直径CD⊥x轴于N,直线CE切⊙M于点C,直线FG切⊙M于点F,交CE于G,已知点G的横坐标为3.
若抛物线经过A、B、D三点,求m的值及点D的坐标.
求直线DF的解析式.
是否存在过点G的直线,使它与(1)中抛物线的两个交点的横坐标之和等于4?若存在,请求出满足条件的直线的解析式;若不存在,请说明理由.
(第27题图)
A
y
x
O
N
M
G
F
E
D
C
B
[解] (1) ∵抛物线过A、B两点,
∴,m=3.
∴抛物线为.
又抛物线过点D,由圆的对称性知点D为抛物线的顶点.
∴D点坐标为.
(2) 由题意知:AB=4.
∵CD⊥x轴,∴NA=NB=2. ∴ON=1.
由相交弦定理得:NA·NB=ND·NC,
∴NC×4=2×2. ∴NC=1.
∴C点坐标为.
设直线DF交CE于P,连结CF,则∠CFP=90°.
∴∠2+∠3=∠1+∠4=90°.
∵GC、GF是切线,
F
B
A
y
x
O
N
M
G
E
D
C
P
1
2
3
4
∴GC=GF. ∴∠3=∠4.
∴∠1=∠2.
∴GF=GP.
∴GC=GP.
可得CP=8.
∴P点坐标为
设直线DF的解析式为
则 解得
∴直线DF的解析式为:
(3) 假设存在过点G的直线为,
则,∴.
由方程组 得
由题意得,∴.
当时,,
∴方程无实数根,方程组无实数解.
∴满足条件的直线不存在.
10.已知二次函数的图象经过点A(-3,6),并与x轴交于点B(-1,0)和点C,顶点为P.
(1)求这个二次函数的解析式,并在下面的坐标系中画出该二次函数的图象;
(2)设D为线段OC上的一点,满足∠DPC=∠BAC,求点D的坐标;
(3)在x轴上是否存在一点M,使以M为圆心的圆与AC、PC所在的直线及y轴都相切?如果存在,请求出点M的坐标;若不存在,请说明理由.
[解] (1)解:∵二次函数的图象过点A(-3,6),B(-1,0)
x
O
y
得 解得
∴这个二次函数的解析式为:
由解析式可求P(1,-2),C(3,0)
画出二次函数的图像
(2)解法一:易证:∠ACB=∠PCD=45°
又已知:∠DPC=∠BAC ∴△DPC∽△BAC
∴ 易求
∴ ∴ ∴
解法二:过A作AE⊥x轴,垂足为E.
设抛物线的对称轴交x轴于F.
亦可证△AEB∽△PFD、
∴. 易求:AE=6,EB=2,PF=2
∴ ∴ ∴
(3)存在.
(1°)过M作MH⊥AC,MG⊥PC垂足分别为H、G,设AC交y轴于S,CP的延长线交y轴于T
∵△SCT是等腰直角三角形,M是△SCT的内切圆圆心,
∴MG=MH=OM
又∵且OM+MC=OC
∴
∴
(2°)在x轴的负半轴上,存在一点M′
同理OM′+OC=M′C,
得 ∴M′
即在x轴上存在满足条件的两个点.
M′
T
1
1
-1
-2
4
-3
2
3
0
5
6
E
-1
-2
2
3
A
C
x
y
B
D
M
F
S
G
H
P
11.在平面直角坐标系中,A(-1,0),B(3,0).
(1)若抛物线过A,B两点,且与y轴交于点(0,-3),求此抛物线的顶点坐标;
(2)如图,小敏发现所有过A,B两点的抛物线如果与y轴负半轴交于点C,M为抛物线的顶点,那么△ACM与△ACB的面积比不变,请你求出这个比值;
A
B
C
M
O
x
y
(3)若对称轴是AB的中垂线l的抛物线与x轴交于点E,F,与y轴交于点C,过C作CP∥x轴交l于点P,M为此抛物线的顶点.若四边形PEMF是有一个内角为60°的菱形,求次抛物线的解析式.
[解] (1),顶点坐标为(1,-4).
(2)由题意,设y=a(x+1)(x-3),即y=ax2-2ax-3a,
∴ A(-1,0),B(3,0),C(0,-3a),M(1,-4a),
∴ S△ACB=×4×=6,
而a>0, ∴ S△ACB=6A、
作MD⊥x轴于D,
又S△ACM=S△ACO +SOCMD -S△AMD=·1·3a+(3a+4a)-·2·4a=a,
∴ S△ACM:S△ACB=1:6.
(3)①当抛物线开口向上时,设y=a(x-1)2+k,即y=ax2-2ax+a+k,
有菱形可知=,a+k>0,k<0,
∴ k=,
∴ y=ax2-2ax+, ∴ .
记l与x轴交点为D,
若∠PEM=60°,则∠FEM=30°,MD=DE·tan30°=,
∴ k=-,a=,
∴ 抛物线的解析式为.
若∠PEM=120°,则∠FEM=60°,MD=DE·tan60°=,
∴ k=-,a=,
∴ 抛物线的解析式为.
②当抛物线开口向下时,同理可得
,.
12.已知:在平面直角坐标系xOy中,一次函数的图象与x轴交于点A,抛物线经过O、A两点。
(1)试用含a的代数式表示b;
(2)设抛物线的顶点为D,以D为圆心,DA为半径的圆被x轴分为劣弧和优弧两部分。若将劣弧沿x轴翻折,翻折后的劣弧落在⊙D内,它所在的圆恰与OD相切,求⊙D半径的长及抛物线的解析式;
(3)设点B是满足(2)中条件的优弧上的一个动点,抛物线在x轴上方的部分上是否存在这样的点P,使得?若存在,求出点P的坐标;若不存在,请说明理由。
[解] (1)解法一:∵一次函数的图象与x轴交于点A
∴点A的坐标为(4,0)
∵抛物线经过O、A两点
解法二:∵一次函数的图象与x轴交于点A
∴点A的坐标为(4,0)
∵抛物线经过O、A两点
∴抛物线的对称轴为直线
(2)由抛物线的对称性可知,DO=DA
∴点O在⊙D上,且∠DOA=∠DAO
又由(1)知抛物线的解析式为
∴点D的坐标为()
①当时,
如图1,设⊙D被x轴分得的劣弧为,它沿x轴翻折后所得劣弧为,显然所在的圆与⊙D关于x轴对称,设它的圆心为D'
∴点D'与点D也关于x轴对称
∵点O在⊙D'上,且⊙D与⊙D'相切
∴点O为切点
∴D'O⊥OD
∴∠DOA=∠D'OA=45°
∴△ADO为等腰直角三角形
∴点D的纵坐标为
∴抛物线的解析式为
②当时,
同理可得:
抛物线的解析式为
综上,⊙D半径的长为,抛物线的解析式为或
(3)抛物线在x轴上方的部分上存在点P,使得
设点P的坐标为(x,y),且y>0
①当点P在抛物线上时(如图2)
∵点B是⊙D的优弧上的一点
过点P作PE⊥x轴于点E
由解得:(舍去)
∴点P的坐标为
②当点P在抛物线上时(如图3)
同理可得,
由解得:(舍去)
∴点P的坐标为
综上,存在满足条件的点P,点P的坐标为
或
13.在直角坐标系中,⊙经过坐标原点O,分别与x轴正半轴、y轴正半轴交于点A、B。
(1)如图,过点A作⊙的切线与y轴交于点C,点O到直线AB的距离为,求直线AC的解析式;
(2)若⊙经过点M(2,2),设的内切圆的直径为d,试判断d+AB的值是否会发生变化,如果不变,求出其值,如果变化,求其变化的范围。
[解] (1)如图1,过O作于G,则
设
(3,0)
AB是⊙的直径
切⊙于A,
在中
设直线AC的解析式为,则
直线AC的解析式为
(2)结论:的值不会发生变化
设的内切圆分别切OA、OB、AB于点P、Q、T,如图2所示
图2
则
在x轴上取一点N,使AN=OB,连接OM、BM、AM、MN
平分
的值不会发生变化,其值为4。
14.已知:O是坐标原点,P(m,n)(m>0)是函数y = eq \f(k,x) (k>0)上的点,过点P作直线PA⊥OP于P,直线PA与x轴的正半轴交于点A(a,0)(a>m). 设△OPA的面积为s,且s=1+eq \f(n4,4).
(1)当n=1时,求点A的坐标;
(2)若OP=AP,求k的值;
(3 ) 设n是小于20的整数,且k≠ eq \f(n4,2),求OP2的最小值.
[解] 过点P作PQ⊥x轴于Q,则PQ=n,OQ=m
当n=1时, s= eq \f(5,4)
∴ a= eq \f(2s,n)= eq \f(5,2)
(2) 解1: ∵ OP=AP PA⊥OP
∴△OPA是等腰直角三角形
∴ m=n= eq \f(a,2)
∴ 1+ eq \f(n4,4)= eq \f(1,2)·an
即n4-4n2+4=0
∴ k2-4k+4=0
∴ k=2
解2:∵ OP=AP PA⊥OP
∴△OPA是等腰直角三角形
∴ m=n
设△OPQ的面积为s1
则:s1= eq \f(s,2)
∴ eq \f(1,2)·mn= eq \f(1,2)(1+ eq \f(n4,4))
即:n4-4n2+4=0
∴ k2-4k+4=0
∴ k=2
(3) 解1:∵ PA⊥OP, PQ⊥OA
∴ △OPQ∽△OAP
设:△OPQ的面积为s1,则
eq \f(s1,s)= eq \f(PO2,AO2)
即: eq \f( eq \f(1,2)k,1+eq \f(n4,4)) = eq \f(n2+ eq \f(k2,n2), eq \f(4 (1+ eq \f(n4,4)) EQ \S(2) , n2))
化简得:2n4+2k2-k n4-4k=0
(k-2)(2k-n4)=0
∴k=2或k= eq \f(n4,2)(舍去)
∴当n是小于20的整数时,k=2.
∵ OP2=n2+m2=n2+ eq \f(k2,n2)
又m>0,k=2,
∴ n是大于0且小于20的整数
当n=1时,OP2=5
当n=2时,OP2=5
当n=3时,OP2=32+ eq \f(4,32)=9+ eq \f(4,9)= eq \f(85,9)
当n是大于3且小于20的整数时,
即当n=4、5、6、…、19时,OP2得值分别是:
42+ eq \f(4,42)、52+ eq \f(4,52)、62+ eq \f(4,62)、…、192+ eq \f(4,192)
∵192+ eq \f(4,192)>182+ eq \f(4,182)>…>32+ eq \f(4,32)>5
∴ OP2的最小值是5.
解2: ∵ OP2=n2+m2=n2+ eq \f(k2,n2)
=n2+ eq \f(22,n2)
=(n- eq \f(2,n)) EQ \S(2) +4
当n= eq \f(2,n) 时,即当n= eq \r(2)时,OP2最小;
又∵n是整数,而当n=1时,OP2=5;n=2时,OP2=5
∴ OP2的最小值是5.
解3:∵ PA⊥OP, PQ⊥OA
∴ △OPQ∽△P AQ
eq \f(PQ,QA)= eq \f(OQ,PQ)
eq \f(n,a-m)= eq \f(m,n)
化简得:2n4+2k2-k n4-4k=0
(k-2)(2k-n4)=0
∴k=2或k= eq \f(n4,2)(舍去)
解4:∵ PA⊥OP, PQ⊥OA
∴ △OPQ∽△P AQ
eq \f(s1,s-s1)= eq \f(OQ2,PQ2)
化简得:2n4+2k2-k n4-4k=0
(k-2)(2k-n4)=0
∴k=2或k= eq \f(n4,2)(舍去)
解5:∵ PA⊥OP, PQ⊥OA
∴ △OPQ∽△OAP
∴ eq \f(OP,OA)= eq \f(OQ,OP)
∴ OP2=OQ·OA
化简得:2n4+2k2-k n4-4k=0
(k-2)(2k-n4)=0
∴k=2或k= eq \f(n4,2)(舍去)
15.如图,在直角坐标系中,O是原点,A、B、C三点的坐标分别为A(18,0),B(18,6),C(8,6),四边形OABC是梯形,点P、Q同时从原点出发,分别坐匀速运动,其中点P沿OA向终点A运动,速度为每秒1个单位,点Q沿OC、CB向终点B运动,当这两点有一点到达自己的终点时,另一点也停止运动。
(1)求出直线OC的解析式及经过O、A、C三点的抛物线的解析式。
(2)试在⑴中的抛物线上找一点D,使得以O、A、D为顶点的三角形与△AOC全等,请直接写出点D的坐标。
(3)设从出发起,运动了t秒。如果点Q的速度为每秒2个单位,试写出点Q的坐标,并写出此时t的取值范围。
QA
P
O
C(8,6)
B(18,6)
A(18,0)
x
y
(4)设从出发起,运动了t秒。当P、Q两点运动的路程之和恰好等于梯形OABC的周长的一半,这时,直线PQ能否把梯形的面积也分成相等的两部分,如有可能,请求出t的值;如不可能,请说明理由。
[解] (1)∵O、C两点的坐标分别为O,C
设OC的解析式为,将两点坐标代入得:
,,∴
∵A,O是轴上两点,故可设抛物线的解析式为
再将C代入得:
∴
(2)D
(3)当Q在OC上运动时,可设Q,依题意有:
∴,∴Q,
当Q在CB上时,Q点所走过的路程为,∵OC=10,∴CQ=
∴Q点的横坐标为,∴Q,
(4)∵梯形OABC的周长为44,当Q点OC上时,P运动的路程为,则Q运动的路程为
△OPQ中,OP边上的高为:
梯形OABC的面积=,依题意有:
整理得: ∵△=,∴这样的不存在
当Q在BC上时,Q走过的路程为,∴CQ的长为:
∴梯形OCQP的面积==36≠84×
∴这样的值不存在
综上所述,不存在这样的值,使得P,Q两点同时平分梯形的周长和面积
16.已知:如图,抛物线与x轴交于A、B两点,与y轴交于C点,∠ACB=90°,
(1)求m的值及抛物线顶点坐标;
(2)过A、B、C的三点的⊙M交y轴于另一点D,连结DM并延长交⊙M于点E,过E点的⊙M的切线分别交x轴、y轴于点F、G,求直线FG的解析式;
A
·
B
C
D
E
F
G
M
x
y
O
(3)在(2)条件下,设P为上的动点(P不与C、D重合),连结PA交y轴于点H,问是否存在一个常数k,始终满足AH·AP=k,如果存在,请写出求解过程;如果不存在,请说明理由.
[解] (1)由抛物线可知,点C的坐标为(0,m),且m<0.
设A(x1,0),B(x2,0).则有x1·x2=3m
又OC是Rt△ABC的斜边上的高,∴△AOC∽△COB ∴
∴,即x1·x2=-m2
∴-m2=3m,解得 m=0 或m=-3
而m<0,故只能取m=-3
这时,
故抛物线的顶点坐标为(,-4)
(2)解法一:由已知可得:M(,0),A(-,0),B(3,0),
C(0,-3),D(0, 3)
∵抛物线的对称轴是x=,也是⊙M的对称轴,连结CE
∵DE是⊙M的直径,
∴∠DCE=90°,∴直线x=,垂直平分CE,
∴E点的坐标为(2,-3)
∵,∠AOC=∠DOM=90°,
∴∠ACO=∠MDO=30°,∴AC∥DE
∵AC⊥CB,∴CB⊥DE
又FG⊥DE, ∴FG∥CB
由B(3,0)、C(0,-3)两点的坐标易求直线CB的解析式为:
y=-3
可设直线FG的解析式为y=+n,把(2,-3)代入求得n=-5
故直线FG的解析式为y=-5
解法二:令y=0,解-3=0得
x1=-,x2=3
即A(-,0),B(3,0)
根据圆的对称性,易知::⊙M半径为2, M(,0)
在Rt△BOC中,∠BOC=90°,OB=3,,OC=3
∴∠CBO=30°,同理,∠ODM=30°。
而∠BME=∠DMO,∠DOM=90°,∴DE⊥BC
∵DE⊥FG, ∴BC∥FG
∴∠EFM=∠CBO=30°
在Rt△EFM中,∠MEF=90°,ME=2,∠FEM=30°,
∴MF=4,∴OF=OM+MF=5,
∴F点的坐标为(5,0)
在Rt△OFG中,OG=OF·tan30°=5×=5
∴G点的坐标为(0,-5)
∴直线 FG的解析式为y=-5
(3)解法一:
存在常数k=12,满足AH·AP=12
连结CP
由垂径定理可知,
∴∠P=∠ACH
(或利用∠P=∠ABC=∠ACO)
又∵∠CAH=∠PAC,
∴△ACH∽△APC
∴ 即AC2=AH·AP
在Rt△AOC中,AC2=AO2+OC2=()2+32=12
A
·
B
C
D
E
F
G
M
x
y
P
H
O
(或利用AC2=AO·AB=×4=12
∴AH·AP=12
解法二:
存在常数k=12,满足AH·AP=12
设AH=x,AP=y
由相交弦定理得HD·HC=AH·HP
即
化简得:xy=12
即 AH·AP=12
中考数学复习压轴题题组练一含答案: 这是一份中考数学复习压轴题题组练一含答案,共3页。
中考数学复习中考冲刺压轴题题组练(一)含答案: 这是一份中考数学复习中考冲刺压轴题题组练(一)含答案,共4页。
中考数学复习冲刺压轴题题组练一含答案: 这是一份中考数学复习冲刺压轴题题组练一含答案,共2页。