- 2021高考数学二轮复习板块1高考专题突破_选择题+填空题命题区间精讲精讲17导数的简单应用课件(1) 课件 1 次下载
- 2021高考数学二轮复习板块1高考专题突破_选择题+填空题命题区间精讲精讲16基本初等函数函数与方程课件(1) 课件 1 次下载
- 2021高考数学二轮复习板块1高考专题突破_选择题+填空题命题区间精讲精讲17基本初等函数函数与方程课件 课件 1 次下载
- 2021高考数学二轮复习板块1高考专题突破_选择题+填空题命题区间精讲精讲18导数的简单应用课件 课件 1 次下载
- 2021高考数学二轮复习板块1高考专题突破_选择题+填空题命题区间精讲精讲18高考中的数学文化题课件(1) 课件 1 次下载
2021高考数学二轮复习板块1高考专题突破_选择题+填空题命题区间精讲精讲18导数的简单应用课件(1)
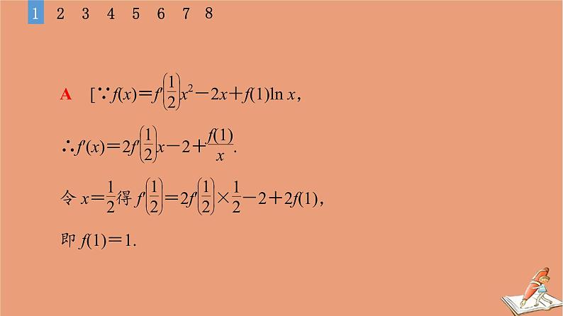
展开命题点1 导数的简单应用
命题点2 利用导数研究函数的单调性
命题点3 利用导数研究函数的极值(最值)问题
山东专用2021新高考数学二轮复习板块1高考专题突破_选择题+填空题命题区间精讲精讲17导数的简单应用课件: 这是一份山东专用2021新高考数学二轮复习板块1高考专题突破_选择题+填空题命题区间精讲精讲17导数的简单应用课件,共53页。PPT课件主要包含了命题点1,命题点2,栏目导航,命题点3,专题限时集训等内容,欢迎下载使用。
2021高考数学二轮复习板块1高考专题突破_选择题+填空题命题区间精讲精讲18导数的简单应用课件: 这是一份2021高考数学二轮复习板块1高考专题突破_选择题+填空题命题区间精讲精讲18导数的简单应用课件,共58页。
2021高考数学二轮复习板块1高考专题突破_选择题+填空题命题区间精讲精讲18高考中的数学文化题课件(1): 这是一份2021高考数学二轮复习板块1高考专题突破_选择题+填空题命题区间精讲精讲18高考中的数学文化题课件(1),共43页。

