2021高考数学二轮复习板块1高考专题突破_选择题+填空题命题区间精讲精讲15函数的概念图象与性质课件
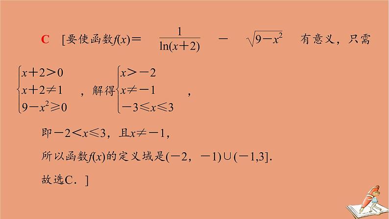
展开命题点1 函数的概念与表示
命题点2 函数的性质及应用
命题点3 函数的图象及应用
山东专用2021新高考数学二轮复习板块1高考专题突破_选择题+填空题命题区间精讲精讲15函数的概念图象与性质课件(1): 这是一份山东专用2021新高考数学二轮复习板块1高考专题突破_选择题+填空题命题区间精讲精讲15函数的概念图象与性质课件(1),共59页。PPT课件主要包含了命题点1,命题点2,栏目导航,命题点3等内容,欢迎下载使用。
山东专用2021新高考数学二轮复习板块1高考专题突破_选择题+填空题命题区间精讲精讲6三角函数的概念图象与性质课件(1): 这是一份山东专用2021新高考数学二轮复习板块1高考专题突破_选择题+填空题命题区间精讲精讲6三角函数的概念图象与性质课件(1),共60页。PPT课件主要包含了命题点1,命题点2,栏目导航,命题点3等内容,欢迎下载使用。
2021高考数学二轮复习板块1高考专题突破_选择题+填空题命题区间精讲精讲16函数的概念图象与性质课件(1): 这是一份2021高考数学二轮复习板块1高考专题突破_选择题+填空题命题区间精讲精讲16函数的概念图象与性质课件(1),共51页。

