- 2021高考数学二轮复习板块1高考专题突破_选择题+填空题命题区间精讲精讲8三角函数的概念图象与性质课件(1) 课件 1 次下载
- 2021高考数学二轮复习板块1高考专题突破_选择题+填空题命题区间精讲精讲8三角恒等变换与解三角形课件 课件 2 次下载
- 2021高考数学二轮复习板块1高考专题突破_选择题+填空题命题区间精讲精讲9数列课件(1) 课件 1 次下载
- 2021高考数学二轮复习板块1高考专题突破_选择题+填空题命题区间精讲精讲10数列课件(1) 课件 1 次下载
- 2021高考数学二轮复习板块1高考专题突破_选择题+填空题命题区间精讲精讲10空间几何体的三视图表面积体积课件(1) 课件 1 次下载
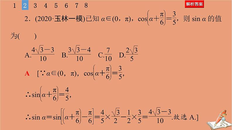
2021高考数学二轮复习板块1高考专题突破_选择题+填空题命题区间精讲精讲9三角恒等变换与解三角形课件(1)
展开命题点1 三角恒等变换
命题点3 正、余弦定理的实际应用
命题点4 三角形中的最值(范围)问题
山东专用2021新高考数学二轮复习板块1高考专题突破_选择题+填空题命题区间精讲精讲7三角恒等变换与解三角形课件(1): 这是一份山东专用2021新高考数学二轮复习板块1高考专题突破_选择题+填空题命题区间精讲精讲7三角恒等变换与解三角形课件(1),共53页。PPT课件主要包含了命题点1,命题点2,栏目导航,命题点3,专题限时集训等内容,欢迎下载使用。
2021高考数学二轮复习板块1高考专题突破_选择题+填空题命题区间精讲精讲15椭圆双曲线课件(1): 这是一份2021高考数学二轮复习板块1高考专题突破_选择题+填空题命题区间精讲精讲15椭圆双曲线课件(1),共54页。
2021高考数学二轮复习板块1高考专题突破_选择题+填空题命题区间精讲精讲14椭圆双曲线课件(1): 这是一份2021高考数学二轮复习板块1高考专题突破_选择题+填空题命题区间精讲精讲14椭圆双曲线课件(1),共55页。

