







还剩48页未读,
继续阅读
2021年高考考点完全题数学(理)考点通关练课件 第二章 函数、导数及其应用 17
展开
这是一份2021年高考考点完全题数学(理)考点通关练课件 第二章 函数、导数及其应用 17,共56页。
第一部分 考点通关练第二章 函数、导数及其应用
考点测试17 定积分与微积分基本定理
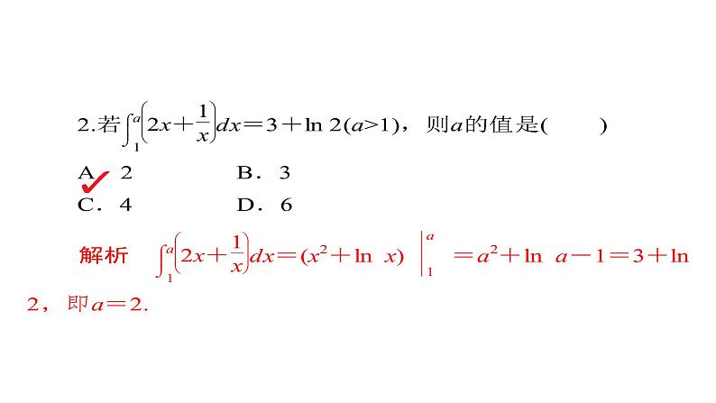
第1步 狂刷小题·练基础
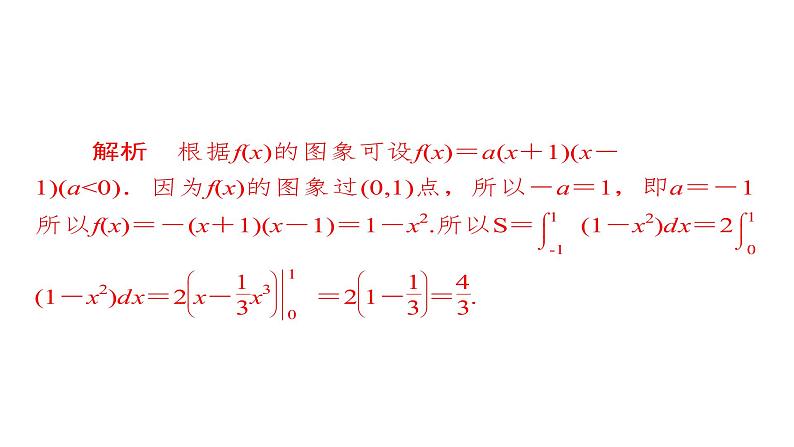
第2步 精做大题·练能力
相关课件
高中数学高考2018年高考考点完全题数学(理)考点通关练课件 第二章 函数、导数及其应用 17:
这是一份高中数学高考2018年高考考点完全题数学(理)考点通关练课件 第二章 函数、导数及其应用 17,共56页。
2021年高考考点完全题数学(理)考点通关练课件 第二章 函数、导数及其应用 13:
这是一份2021年高考考点完全题数学(理)考点通关练课件 第二章 函数、导数及其应用 13,共60页。
2021年高考考点完全题数学(理)考点通关练课件 第二章 函数、导数及其应用 12:
这是一份2021年高考考点完全题数学(理)考点通关练课件 第二章 函数、导数及其应用 12,共60页。