







还剩52页未读,
继续阅读
2021年高考考点完全题数学(理)考点通关练课件 第二章 函数、导数及其应用 16
展开
这是一份2021年高考考点完全题数学(理)考点通关练课件 第二章 函数、导数及其应用 16,共60页。
第一部分 考点通关练第二章 函数、导数及其应用
考点测试16 导数的应用(二)
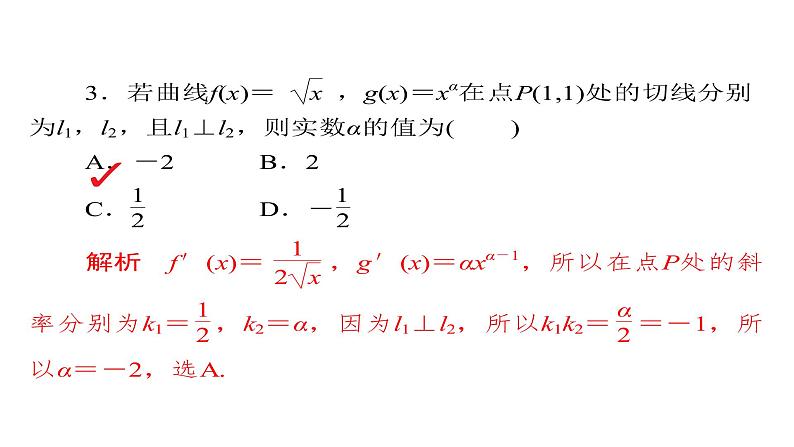
第1步 狂刷小题·练基础
第2步 精做大题·练能力
相关课件
2021年高考考点完全题数学(文)考点通关练课件 第二章 函数、导数及其应用 16:
这是一份2021年高考考点完全题数学(文)考点通关练课件 第二章 函数、导数及其应用 16,共60页。
2021年高考考点完全题数学(理)考点通关练课件 第二章 函数、导数及其应用 13:
这是一份2021年高考考点完全题数学(理)考点通关练课件 第二章 函数、导数及其应用 13,共60页。
2021年高考考点完全题数学(理)考点通关练课件 第二章 函数、导数及其应用 12:
这是一份2021年高考考点完全题数学(理)考点通关练课件 第二章 函数、导数及其应用 12,共60页。