


2021高考数学(文)大一轮复习习题 第八章 解析几何 课时跟踪检测 (四十八) 双曲线 word版含答案
展开1.已知双曲线x2+my2=1的虚轴长是实轴长的2倍,则实数m的值是( )
A.4 B.eq \f(1,4)
C.-eq \f(1,4) D.-4
解析:选C 依题意得m<0,双曲线方程是x2-eq \f(y2,-\f(1,m))=1,于是有 eq \r(-\f(1,m))=2×1,m=-eq \f(1,4).
2.若双曲线eq \f(x2,a2)-eq \f(y2,b2)=1(a>0,b>0)的离心率为eq \r(3),则其渐近线方程为( )
A.y=±2x B.y=±eq \r(2)x
C.y=±eq \f(1,2)x D.y=±eq \f(\r(2),2)x
解析:选B 由条件e=eq \r(3),即eq \f(c,a)=eq \r(3),得eq \f(c2,a2)=eq \f(a2+b2,a2)=1+eq \f(b2,a2)=3,所以eq \f(b,a)=eq \r(2),所以双曲线的渐近线方程为y=±eq \r(2)x.故选B.
3.已知双曲线C:eq \f(x2,a2)-eq \f(y2,b2)=1(a>0,b>0)的焦点为F1,F2,且C上点P满足eq \(PF1,\s\up7(―→))·eq \(PF2,\s\up7(―→))=0,|eq \(PF1,\s\up7(―→))|=3,|eq \(PF2,\s\up7(―→))|=4,则双曲线C的离心率为( )
A.eq \f(\r(10),2) B.eq \r(5)
C.eq \f(5,2) D.5
解析:选D 依题意得,2a=|PF2|-|PF1|=1,|F1F2|=eq \r(|PF2|2+|PF1|2)=5,因此该双曲线的离心率e=eq \f(|F1F2|,|PF2|-|PF1|)=5.
4.(2017·西安质检)过双曲线x2-eq \f(y2,3)=1的右焦点且与x轴垂直的直线,交该双曲线的两条渐近线于A,B两点,则|AB|=________.
解析:双曲线的右焦点为F(2,0),过F与x轴垂直的直线为x=2,渐近线方程为x2-eq \f(y2,3)=0,将x=2代入x2-eq \f(y2,3)=0,得y2=12,y=±2eq \r(3),∴|AB|=4eq \r(3).
答案:4eq \r(3)
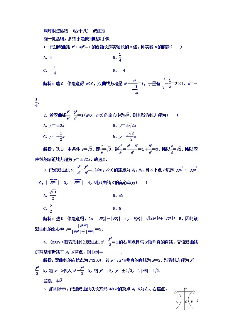
5.如图所示,已知双曲线以长方形ABCD的顶点A,B为左、右焦点,且双曲线过C,D两顶点.若|AB|=4,|BC|=3,则此双曲线的标准方程为________.
解析:设双曲线的标准方程为eq \f(x2,a2)-eq \f(y2,b2)=1(a>0,b>0).由题意得B(2,0),C(2,3),
∴eq \b\lc\{\rc\ (\a\vs4\al\c1(4=a2+b2,,\f(4,a2)-\f(9,b2)=1,))解得eq \b\lc\{\rc\ (\a\vs4\al\c1(a2=1,,b2=3,))
∴双曲线的标准方程为x2-eq \f(y2,3)=1.
答案:x2-eq \f(y2,3)=1
二保高考,全练题型做到高考达标
1.“k<9”是“方程eq \f(x2,25-k)+eq \f(y2,k-9)=1表示双曲线”的( )
A.充分不必要条件 B.必要不充分条件
C.充要条件 D.既不充分也不必要条件
解析:选A ∵方程eq \f(x2,25-k)+eq \f(y2,k-9)=1表示双曲线,∴(25-k)(k-9)<0,∴k<9或k>25,∴“k<9”是“方程eq \f(x2,25-k)+eq \f(y2,k-9)=1表示双曲线”的充分不必要条件,故选A.
2.(2017·合肥质检)若双曲线C1:eq \f(x2,2)-eq \f(y2,8)=1与C2:eq \f(x2,a2)-eq \f(y2,b2)=1(a>0,b>0)的渐近线相同,且双曲线C2的焦距为4eq \r(5),则b=( )
A.2 B.4
C.6 D.8
解析:选B 由题意得,eq \f(b,a)=2⇒b=2a,C2的焦距2c=4eq \r(5)⇒c=eq \r(a2+b2)=2eq \r(5)⇒b=4,故选B.
3.(2016·石家庄教学质量检测)已知直线l与双曲线C:x2-y2=2的两条渐近线分别交于A,B两点,若AB的中点在该双曲线上,O为坐标原点,则△AOB的面积为( )
A.eq \f(1,2) B.1
C.2 D.4
解析:选C 由题意得,双曲线的两条渐近线方程为y=±x,设A(x1,x1),B(x2,-x2),∴AB中点坐标为eq \b\lc\(\rc\)(\a\vs4\al\c1(\f(x1+x2,2),\f(x1-x2,2))),∴eq \b\lc\(\rc\)(\a\vs4\al\c1(\f(x1+x2,2)))2-eq \b\lc\(\rc\)(\a\vs4\al\c1(\f(x1-x2,2)))2=2,即x1x2=2,∴S△AOB=eq \f(1,2)|OA|·|OB|=eq \f(1,2)|eq \r(2)x1|·|eq \r(2)x2|=x1x2=2,故选C.
4.(2017·河南六市第一次联考)已知点F1,F2分别是双曲线C:eq \f(x2,a2)-eq \f(y2,b2)=1(a>0,b>0)的左、右焦点,过F1的直线l与双曲线C的左、右两支分别交于A,B两点,若|AB|∶|BF2|∶|AF2|=3∶4∶5,则双曲线的离心率为( )
A.2 B.4
C.eq \r(13) D.eq \r(15)
解析:选C 由题意,设|AB|=3k,|BF2|=4k,|AF2|=5k,则BF1⊥BF2,|AF1|=|AF2|-2a=5k-2a,∵|BF1|-|BF2|=5k-2a+3k-4k=4k-2a=2a,∴a=k,∴|BF1|=6a,|BF2|=4a,又|BF1|2+|BF2|2=|F1F2|2,即13a2=c2,∴e=eq \f(c,a)=eq \r(13).
5.(2017·长春质检)过双曲线x2-eq \f(y2,15)=1的右支上一点P,分别向圆C1:(x+4)2+y2=4和圆C2:(x-4)2+y2=1作切线,切点分别为M,N,则|PM|2-|PN|2的最小值为( )
A.10 B.13
C.16 D.19
解析:选B 由题可知,|PM|2-|PN|2=(|PC1|2-4)-(|PC2|2-1),因此|PM|2-|PN|2=|PC1|2-|PC2|2-3=(|PC1|-|PC2|)(|PC1|+|PC2|)-3=2(|PC1|+|PC2|)-3≥2|C1C2|-3=13.
6.已知双曲线的一个焦点F(0,eq \r(5)),它的渐近线方程为y=±2x,则该双曲线的标准方程为________________.
解析:设双曲线的标准方程为eq \f(y2,a2)-eq \f(x2,b2)=1(a>0,b>0),
由题意得eq \b\lc\{\rc\ (\a\vs4\al\c1(c=\r(5),,\f(a,b)=2))⇒eq \b\lc\{\rc\ (\a\vs4\al\c1(a2+b2=5,,a=2b))⇒eq \b\lc\{\rc\ (\a\vs4\al\c1(a2=4,,b2=1,))
所以双曲线的标准方程为eq \f(y2,4)-x2=1.
答案:eq \f(y2,4)-x2=1
7.若点P是以A(-3,0),B(3,0)为焦点,实轴长为2eq \r(5)的双曲线与圆x2+y2=9的一个交点,则|PA|+|PB|=________.
解析:不妨设点P在双曲线的右支上,则|PA|>|PB|.因为点P是双曲线与圆的交点,
所以由双曲线的定义知,|PA|-|PB|=2eq \r(5), ①
又|PA|2+|PB|2=36, ②
联立①②化简得2|PA|·|PB|=16,
所以(|PA|+|PB|)2=|PA|2+|PB|2+2|PA|·|PB|=52,所以|PA|+|PB|=2eq \r(13).
答案:2eq \r(13)
8.已知双曲线eq \f(x2,a2)-eq \f(y2,b2)=1(a>0,b>0)的左、右焦点分别为F1,F2,点P在双曲线的右支上,且|PF1|=4|PF2|,则双曲线的离心率e的最大值为________.
解析:由双曲线定义知|PF1|-|PF2|=2a,
又已知|PF1|=4|PF2|,所以|PF1|=eq \f(8,3)a,|PF2|=eq \f(2,3)a,
在△PF1F2中,由余弦定理得cs∠F1PF2=eq \f(\f(64,9)a2+\f(4,9)a2-4c2,2·\f(8,3)a·\f(2,3)a)=eq \f(17,8)-eq \f(9,8)e2,要求e的最大值,
即求cs∠F1PF2的最小值,
∵cs∠F1PF2≥-1,∴cs∠F1PF2=eq \f(17,8)-eq \f(9,8)e2≥-1,解得e≤eq \f(5,3),即e的最大值为eq \f(5,3).
答案:eq \f(5,3)
9.已知双曲线的中心在原点,焦点F1,F2在坐标轴上,离心率为eq \r(2),且过点(4,-eq \r(10)),点M(3,m)在双曲线上.
(1)求双曲线的方程;
(2)求证:eq \(MF1,\s\up7(―→))·eq \(MF2,\s\up7(―→))=0;
(3)求△F1MF2的面积.
解:(1)∵e=eq \r(2),则双曲线的实轴、虚轴相等.
∴可设双曲线方程为x2-y2=λ.
∵双曲线过点(4,-eq \r(10)),
∴16-10=λ,即λ=6.
∴双曲线方程为x2-y2=6.
(2)证明:设eq \(MF1,\s\up7(―→))=(-2eq \r(3)-3,-m),
eq \(MF2,\s\up7(―→))=(2eq \r(3)-3,-m).
∴eq \(MF1,\s\up7(―→))·eq \(MF2,\s\up7(―→))=(3+2eq \r(3))×(3-2eq \r(3))+m2=-3+m2,
∵M点在双曲线上,
∴9-m2=6,即m2-3=0,
∴eq \(MF1,\s\up7(―→))·eq \(MF2,\s\up7(―→))=0.
(3)∵△F1MF2的底边长|F1F2|=4eq \r(3).
由(2)知m=±eq \r(3).
∴△F1MF2的高h=|m|=eq \r(3),∴S△F1MF2=eq \f(1,2)×4eq \r(3)×eq \r(3)=6.
10.已知双曲线C:eq \f(x2,a2)-eq \f(y2,b2)=1(a>0,b>0)的离心率为eq \r(3),点(eq \r(3),0)是双曲线的一个顶点.
(1)求双曲线的方程;
(2)经过双曲线右焦点F2作倾斜角为30°的直线,直线与双曲线交于不同的两点A,B,求|AB|.
解:(1)∵双曲线C:eq \f(x2,a2)-eq \f(y2,b2)=1(a>0,b>0)的离心率为eq \r(3),点(eq \r(3),0)是双曲线的一个顶点,∴eq \b\lc\{\rc\ (\a\vs4\al\c1(\f(c,a)=\r(3),,a=\r(3),))解得c=3,b=eq \r(6),∴双曲线的方程为eq \f(x2,3)-eq \f(y2,6)=1.
(2)双曲线eq \f(x2,3)-eq \f(y2,6)=1的右焦点为F2(3,0),
∴经过双曲线右焦点F2且倾斜角为30°的直线的方程为y=eq \f(\r(3),3)(x-3).
联立eq \b\lc\{\rc\ (\a\vs4\al\c1(\f(x2,3)-\f(y2,6)=1,,y=\f(\r(3),3)x-3,))得5x2+6x-27=0.
设A(x1,y1),B(x2,y2),
则x1+x2=-eq \f(6,5),x1x2=-eq \f(27,5).
所以|AB|=eq \r(1+\f(1,3))× eq \r(\b\lc\(\rc\)(\a\vs4\al\c1(-\f(6,5)))2-4×\b\lc\(\rc\)(\a\vs4\al\c1(-\f(27,5))))=eq \f(16\r(3),5).
三上台阶,自主选做志在冲刺名校
1.(2017·三明质检)已知P是双曲线eq \f(x2,3)-y2=1上任意一点,过点P分别作双曲线的两条渐近线的垂线,垂足分别为A,B,则eq \(PA,\s\up7(―→))·eq \(PB,\s\up7(―→))的值是( )
A.-eq \f(3,8) B.eq \f(3,16)
C.-eq \f(\r(3),8) D.不能确定
解析:选A 令点P(x0,y0),因为该双曲线的渐近线分别是eq \f(x,\r(3))-y=0,eq \f(x,\r(3))+y=0,所以可取|PA|=eq \f(\b\lc\|\rc\|(\a\vs4\al\c1(\f(x0,\r(3))-y0)),\r(\f(1,3)+1)),|PB|=eq \f(\b\lc\|\rc\|(\a\vs4\al\c1(\f(x0,\r(3))+y0)),\r(\f(1,3)+1)),又cs∠APB=-cs∠AOB=-cs 2∠AOx=-cseq \f(π,3)=-eq \f(1,2),所以eq \(PA,\s\up7(―→))·eq \(PB,\s\up7(―→))=|eq \(PA,\s\up7(―→))|·|eq \(PB,\s\up7(―→))|·cs∠APB=eq \f(\b\lc\|\rc\|(\a\vs4\al\c1(\f(x\\al(2,0),3)-y\\al(2,0))),\f(4,3))·eq \b\lc\(\rc\)(\a\vs4\al\c1(-\f(1,2)))=eq \f(3,4)×eq \b\lc\(\rc\)(\a\vs4\al\c1(-\f(1,2)))=-eq \f(3,8).
2.已知椭圆C1的方程为eq \f(x2,4)+y2=1,双曲线C2的左、右焦点分别是C1的左、右顶点,而C2的左、右顶点分别是C1的左、右焦点,O为坐标原点.
(1)求双曲线C2的方程;
(2)若直线l:y=kx+eq \r(2)与双曲线C2恒有两个不同的交点A和B,且eq \(OA,\s\up7(―→))·eq \(OB,\s\up7(―→))>2,求k的取值范围.
解:(1)设双曲线C2的方程为eq \f(x2,a2)-eq \f(y2,b2)=1(a>0,b>0),
则a2=4-1=3,c2=4,
再由a2+b2=c2,得b2=1,
故双曲线C2的方程为eq \f(x2,3)-y2=1.
(2)将y=kx+eq \r(2)代入eq \f(x2,3)-y2=1,
得(1-3k2)x2-6eq \r(2)kx-9=0.
由直线l与双曲线C2交于不同的两点,
得eq \b\lc\{\rc\ (\a\vs4\al\c1(1-3k2≠0,,Δ=-6\r(2)k2+361-3k2=361-k2>0,))
∴k2<1且k2≠eq \f(1,3).①
设A(x1,y1),B(x2,y2),
则x1+x2=eq \f(6\r(2)k,1-3k2),x1x2=eq \f(-9,1-3k2).
∴x1x2+y1y2=x1x2+(kx1+eq \r(2))(kx2+eq \r(2))
=(k2+1)x1x2+eq \r(2)k(x1+x2)+2
=eq \f(3k2+7,3k2-1).
又∵eq \(OA,\s\up7(―→))·eq \(OB,\s\up7(―→))>2,
即x1x2+y1y2>2,
∴eq \f(3k2+7,3k2-1)>2,
即eq \f(-3k2+9,3k2-1)>0,
解得eq \f(1,3)<k2<3.②
由①②得eq \f(1,3)<k2<1,
故k的取值范围为eq \b\lc\(\rc\)(\a\vs4\al\c1(-1,-\f(\r(3),3)))∪eq \b\lc\(\rc\)(\a\vs4\al\c1(\f(\r(3),3),1)).
高中数学高考2018高考数学(文)大一轮复习习题 第八章 解析几何 课时跟踪检测 (四十七) 椭圆 Word版含答案: 这是一份高中数学高考2018高考数学(文)大一轮复习习题 第八章 解析几何 课时跟踪检测 (四十七) 椭圆 Word版含答案,共7页。试卷主要包含了已知椭圆C,故选C,设F1,F2分别是椭圆E等内容,欢迎下载使用。
高中数学高考2018高考数学(文)大一轮复习习题 第八章 解析几何 课时跟踪检测 (四十八) 双曲线 Word版含答案: 这是一份高中数学高考2018高考数学(文)大一轮复习习题 第八章 解析几何 课时跟踪检测 (四十八) 双曲线 Word版含答案,共6页。试卷主要包含了已知双曲线C等内容,欢迎下载使用。
2021高考数学(文)大一轮复习习题 第八章 解析几何 课时跟踪检测 (五十) 圆锥曲线的综合问题 word版含答案: 这是一份2021高考数学(文)大一轮复习习题 第八章 解析几何 课时跟踪检测 (五十) 圆锥曲线的综合问题 word版含答案,共8页。试卷主要包含了所以符合条件的直线有且只有两条等内容,欢迎下载使用。