







北师大版七年级下册4 整式的乘法精品ppt课件
展开
这是一份北师大版七年级下册4 整式的乘法精品ppt课件,共17页。PPT课件主要包含了同底数幂的乘法,幂的乘方,积的乘方,同底数幂的除法,零指数幂性质,负整数指数幂性质,复习巩固,尝试计算,1系数相乘,注意符号等内容,欢迎下载使用。
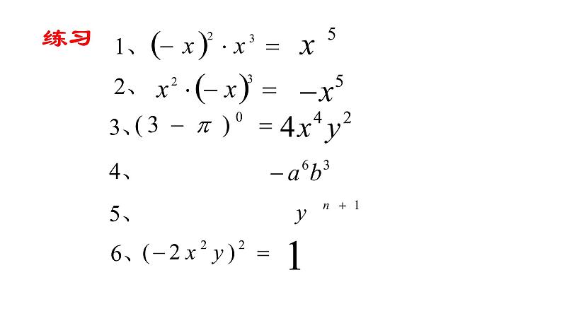
单项式中的数字因数叫做这个单项式的______
单项式 的系数是____
单项式 的系数是____
1、你是怎样计算的?2、在计算过程中,运用了哪些运算律和运算法则?
(2)相同字母的幂相乘
(3)只在一个单项式中出现的字母,则连同它的指数一起作为积的一个因式。
单项式乘以单项式法则:
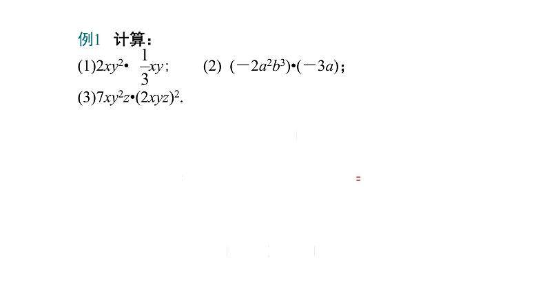
例1 计算:(1)2xy2• xy; (2) (-2a2b3)•(-3a); (3)7xy2z•(2xyz)2.
解:(1)原式=(2× )•(x•x)•(y2•y)=
(2)原式=[(-2)×(-3)]•(a2a)•b3 =6a3b3;
(3)原式=7xy2z•4x2y2z2
=(7×4)•(xx2)•(y2y2)•(zz2)
(1) (-3x)2 ·4x2; (2)(-2a)3(-3a)2;
解:原式=9x2·4x2 =(9×4)(x2·x2) =36x4;
解:原式=-8a3·9a2 =[(-8)×9](a3·a2) =-72a5;
解:原式=
2.比一比看谁做的又快又准!
3.下面计算是否正确?如有错误请改正
(1)5x3·2x2y; (2) -3ab·(-4b2) (3) 3ab·2a; (4) yz·2y2z2; (5) (2x2y)3·(-4xy2); (6)
(1)4xy·(-2xy3); (2) a3b·ab5c (3) 2x2y·(-xy)2 (4) (5) -xy2z3·(-x2y)3 (6)-ab3·2abc2· (a2c)3
1.若(am+1bn+2)·(a2n-1b)=a5b3,求m+n的值.
解:am+1+2n-1bn+2+1=a5b3;
解得:m=5,n=0.
相关课件
这是一份北师大版七年级下册4 整式的乘法完美版ppt课件
这是一份数学北师大版第一章 整式的乘除4 整式的乘法课前预习ppt课件,共12页。PPT课件主要包含了复习回顾,想一想,归纳法则,例题解析等内容,欢迎下载使用。
这是一份初中数学北师大版七年级下册第一章 整式的乘除4 整式的乘法评课ppt课件,共17页。PPT课件主要包含了回顾复习,互动探究,想一想,归纳总结,例题解析,例2计算,反思升华,变式训练巩固新知,延伸拓展等内容,欢迎下载使用。