【创新设计】2021新高考数学二轮复习:基础小题练透
展开热点专练4 排列、组合、二项式定理
一、单项选择题:本题共8小题,每小题5分,共40分.在每小题给出的四个选项中,只有一项是符合题目要求的.
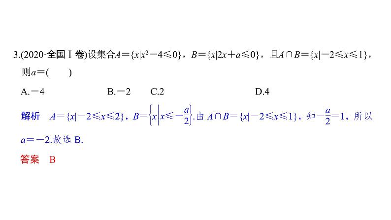
1.(2020·新高考山东卷)6名同学到甲、乙、丙三个场馆做志愿者,每名同学只去1个场馆,甲场馆安排1名,乙场馆安排2名,丙场馆安排3名,则不同的安排方法共有( )
A.120种 B.90种 C.60种 D.30种
解析 先从6名同学中选1名安排到甲场馆,有C种选法,再从剩余的5名同学中选2名安排到乙场馆,有C种选法,最后将剩下的3名同学安排到丙场馆,有C种选法,由分步乘法计数原理知,共有C·C·C=60(种)不同的安排方法.故选C.
答案 C
2.在二项式的展开式中只有第5项的二项式系数最大,则展开式的第4项为( )
A.7x6 B.-7x
C.x D.-x7
解析 由二项式系数的性质,知n=8,
则Tr+1=C()8-r=Cx,
∴展开式中第4项T4=Cx=-7x.
答案 B
3.(2020·广州一模)2位男生和3位女生共5位同学站成一排,若3位女生中有且只有2位女生相邻,则不同排法的种数是( )
A.36 B.24 C.72 D.144
解析 根据题意,把3位女生中的2位捆绑在一起看成一个整体,并和剩下的1位女生插入到由2位男生全排列后形成的3个空中的2个空中,故有AAA=72种.故选C.
答案 C
4.(2020·全国Ⅰ卷)(x+y)5的展开式中x3y3的系数为( )
A.5 B.10 C.15 D.20
解析 法一 ∵(x+y)5=(x5+5x4y+10x3y2+10x2y3+5xy4+y5),
∴x3y3的系数为10+5=15.
法二 当x+中取x时,x3y3的系数为C,
当x+中取时,x3y3的系数为C,
∴x3y3的系数为C+C=10+5=15.故选C.
答案 C
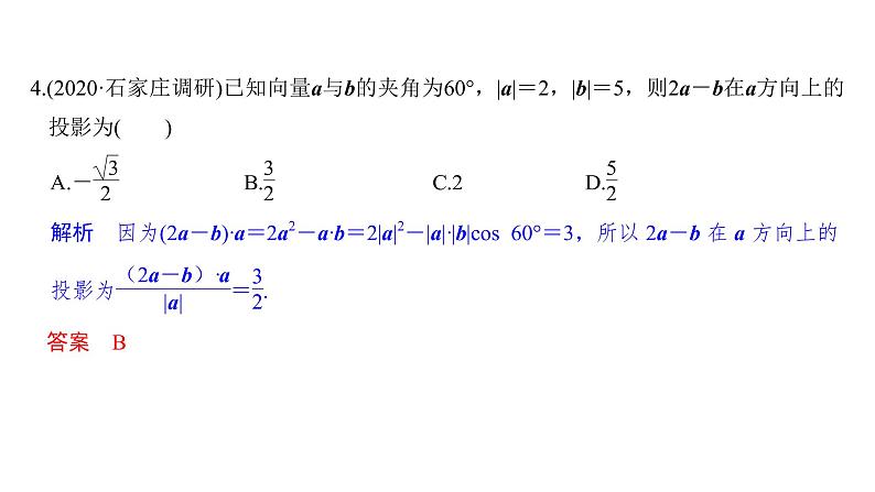
5.(2020·湖南师大附中模拟)从5位同学中选派4位同学在星期五、星期六、星期日参加公益活动,每人一天,要求星期五有2人参加,星期六、星期日各有1人参加,则不同的选派方法共有( )
A.40种 B.60种
C.100种 D.120种
解析 根据题意,首先从5人中抽取2人在星期五参加活动,有C种情况.再从剩下的3人中,抽取2人安排在星期六、星期日参加活动,有A种情况.则由分步乘法计数原理,可得不同的选派方法共有CA=60(种).故选B.
答案 B
6.(x2-ax+2y)5的展开式中x5y2的系数为240,则实数a的值为( )
A.-2 B.-1 C.1 D.2
解析 (x2-ax+2y)5=[(x2-ax)+2y]5的展开式的通项Tr+1=C·(x2-ax)5-r·(2y)r=C·2r·(x2-ax)5-r·yr.当r=2时,C·2r·(x2-ax)5-r·yr=C·22·(x2-ax)3·y2=40x3(x-a)3y2,且(x-a)3的展开式中x2项的系数为C(-a)1=-3a.依题意有40×(-3a)=240,解得a=-2.
答案 A
7.中国古代儒家要求学生掌握六种基本才能:礼、乐、射、御、书、数.“礼”,礼节,即今德育;“乐”,音乐,即今美育;“射”和“御”,射箭和驾驭马车的技术,即今体育和劳动;“书”,书法,即今文学;“数”,算法,即今数学.某校国学社团周末开展“六艺”课程讲座活动,一天连排六节,每艺一节,排课有如下要求:“礼”必须排在第一,“数”不能排在最后,“射”和“御”要相邻,则“六艺”讲座不同的排课顺序共有( )
A.18种 B.36种 C.72种 D.144种
解析 由题意分析“射”和“御”排或不排在最后分两种情况讨论.
①当“射”或“御”排在最后时,“射”和“御”有2种排法,即A种,余下三种才能共有A种排法,故此时共有AA=12(种)排法;
②当“射”和“御”均不在最后时,“射”和“御”共有3×2=6(种)排法,中间还余两个位置,两个位置可选一个给“数”,有2种排法,余下两个位置排最后的两个基本才能,有A种排法,故共有6×2×A=24(种)排法.综合①②得,“六艺”讲座不同的排课顺序共有36种.
答案 B
8.如图所示,玩具计数算盘的三档上各有7个算珠,现将每档算珠分为左、右两部分,左侧的每个算珠表示数2,右侧的每个算珠表示数1(允许一侧无算珠),记上、中、下三档的数字和分别为a,b,c.例如,图中上档的数字和a=9.若a,b,c成等差数列,则不同的分算珠计数法的种数为( )
A.12 B.24 C.16 D.32
解析 由题意可知,a,b,c∈[7,14],当a,b,c相等时,有8种计数法;当a,b,c组成公差为±1的等差数列时,有12种计数法;当a,b,c组成公差为±2的等差数列时,有8种计数法;当a,b,c组成公差为±3的等差数列时,有4种计数法.综上,计数法共有8+12+8+4=32(种).
答案 D
二、多项选择题:本题共4小题,每小题5分,共20分.在每小题给出的四个选项中有多项符合题目要求,全部选对的得5分,部分选对的得3分,有选错的得0分.
9.(2020·石家庄一模)下列四个命题为真命题的是( )
A.C=162 700
B.C+C=C
C.C+C+C+C+C+C+C=254
D.(1+2x)10的展开式中二项式系数最大的项是·(4x)5
解析 C=C==161 700,A错误;
由组合数的性质C+C=C,知C+C=C,B正确;
C+C+C+C+C+C+C=28-C-C=256-2=254,C正确;
(1+2x)10的展开式中二项式系数最大的项是·(2x)5=·(4x)5,D正确.故选BCD.
答案 BCD
10.(2020·北京模拟)已知二项式,则下列说法正确的是( )
A.若a=1,则展开式中的常数项为15
B.若a=2,则展开式中各项系数之和为1
C.若展开式中的常数项为60,则a=2
D.若展开式中各项系数之和为64,则a=2
解析 因为的展开式的通项公式为Tk+1=Ca6-kx6-k·(-1)kx-=Ca6-k(-1)kx6-k,令6-k=0,得k=4,所以展开式中的常数项为Ca6-4(-1)4=15a2,若a=1,则展开式中的常数项为15,A正确;若展开式中的常数项为60,则15a2=60,得a=±2,C不正确;若a=2,则展开式中各项系数之和为(a-1)6=1,B正确;若展开式中各项系数之和为64,即(a-1)6=64,得a=-1或a=3,D不正确.故选AB.
答案 AB
11.第三届世界智能驾驶挑战赛在天津召开,现安排小张、小赵、小李、小罗、小王五名志愿者从事翻译、安保、礼仪、服务四项不同的工作,则下列说法正确的是( )
A.若五人每人任选一项工作,则不同的选法有54种
B.若每项工作至少安排一人,则有240种不同的方案
C.若礼仪工作必须安排两人,其余工作安排一人,则有60种不同的方案
D.若安排小张和小赵分别从事翻译、安保工作,其余三人中任选两人从事礼仪、服务工作,则有12种不同的方案
解析 若五人每人任选一项工作,则每人均有4种不同的选法,不同的选法有45种,A不正确;若每项工作至少安排一人,则先将五人按2∶1∶1∶1分成四组,再分配到四个岗位上,故不同的方案有CA=240(种),B正确;若礼仪工作必须安排两人,其余工作安排一人,则先从五人中任选两人安排在礼仪岗位,其余三人在其余三个岗位上全排列即可,故不同的方案有CA=60(种),C正确;若安排小张和小赵分别从事翻译、安保工作,其余三人中任选两人从事礼仪、服务工作,则不同的方案有AA=12(种),D正确.故选BCD.
答案 BCD
12.(2020·济南检测)设(+3)n的二项展开式中各项系数之和为M,二项式系数之和为N,若M-2N=960,则下列结论中正确的是( )
A.n=5
B.M=25
C.N=25
D.二项展开式中xy的系数为270
解析 根据题意,令x=1,y=1,得M=4n,∵N=2n,∴M-2N=4n-2·2n=(2n)2-2·2n=960,∴2n=32,∴n=5.∴M=45,N=25,(+3)5的二项展开式的通项公式Tk+1=Cx(3y)k=C·3k·x·y(k=0,1,2,3,4,5),令=1,=1,得k=3,∴二项展开式中xy的系数为C×33=10×27=270.故选ACD.
答案 ACD
三、填空题:本题共4小题,每小题5分,共20分.
13.(2020·漳州适应性测试)若(1+mx)6=a0+a1x+a2x2+…+a6x6,且a1+a2+…+a6=63,则实数m=________.
解析 令x=1,则(1+m)6=a0+a1+a2+a3+a4+a5+a6=63+a0.
令x=0,则a0=1,所以(1+m)6=64,则m=1或m=-3.
答案 1或-3
14.(2020·全国Ⅱ卷)4名同学到3个小区参加垃圾分类宣传活动,每名同学只去1个小区,每个小区至少安排1名同学,则不同的安排方法共有________种.
解析 将4名同学分成人数为2,1,1的3组有C=6种分法,再将3组同学分到3个小区共有A=6种分法,由分步乘法计数原理可得不同的安排方法共有6×6=36种.
答案 36
15.北京大兴国际机场是一座跨地域、超大型的国际航空综合交通枢纽,目前建有“三纵一横”4条跑道,分别叫西一跑道、西二跑道、东一跑道、北一跑道,如图所示.若有2架飞往不同目的地的飞机要从以上不同跑道同时起飞,有________种不同的安排方法;若西一跑道、西二跑道至少有1条跑道被选取,有________种不同的安排方法.(用数字作答)(本小题第一空2分,第二空3分)
解析 若有2架飞往不同目的地的飞机要从4条不同跑道同时起飞,有A=12种不同的安排方法;若西一跑道、西二跑道至少有1条跑道被选取,有A-A=10种不同的安排方法.
答案 12 10
16.(2020·青岛质检)已知a∈N,二项式的展开式中含有x2项的系数不大于240,记a的取值集合为A,则由集合A中元素构成的无重复数字的三位数共有________个.
解析 二项式的展开式的通项公式为Tr+1=C·(a+1)r·x6-2r.令6-2r=2,得r=2,可得展开式中含有x2项的系数为C(a+1)2=15(a+1)2≤240,解得-5≤a≤3.因为a∈N,所以a的取值为0,1,2,3,即A={0,1,2,3},则由集合A中的元素构成的无重复数字的三位数共AA=3×3×2=18(个).
答案 18

