所属成套资源:2020-2021学年高一试卷《新题速递·数学》(人教版)(含答案解析)
考点03 期中训练之集合和函数概念1-2020-2021学年高一《新题速递·数学》(人教版)
展开
考点03 期中训练之集合和函数概念1
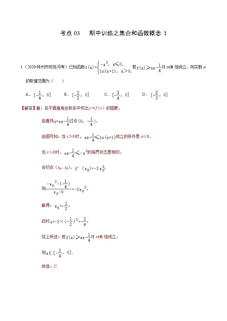
1.(2020•林州市校级月考)已知函数若对x∈R恒成立.则实数a的取值范围为( )
A. B. C. D.
【解答】解:在平面直角坐标系中作出y=f(x)的图象,
由直线过点,
由图可知:当x>0时,成立的条件是a≤0,
当x≤0时,的临界状态是相切,
设切点(x0,y0),,
则,
解得:,
此时,
综上所述:若对x∈R恒成立,
则.
故选:C.
【知识点】函数恒成立问题
2.(2020•金凤区校级期中)已知函数的值域为R,则实数a的取值范围是( )
A.(﹣∞,3) B.[﹣2,3) C.[﹣2,+∞) D.(﹣2,3)
【解答】解:当x≥1时,f(x)=3x﹣1≥1;
当x<1时,
若a=3,则f(x)=6,此时值域为[1,+∞);
若a>3,则f(x)在(﹣∞,1)单调递减,f(x)min>f(1)=3+a>6,此时值域为[1,+∞);
若a<3,则f(x)在(﹣∞,1)单调递增,又f(1)=a+3,此时f(x)<a+3,
又当x≥1时,f(x)=3x﹣1≥1,要使得值域为R,所以a+3≥1,即3>a≥﹣2.
综上,实数a的取值范围是[﹣2,3).
故选:B.
【知识点】函数的值域
3.(2020•镜湖区校级期中)已知函数f(x)=,若函数y=f(x)的图象恒在x轴的上方,则实数a的取值范围为( )
A. B. C. D.(0,e)
【解答】解:f(x)=的导数为f′(x)=﹣1,
由a>0,f′(x)=0,可得x=lna,
当x>lna时,f′(x)>0,f(x)递增;x<lna时,f′(x)<0,f(x)递减,
则f(x)在x=lna处取得极小值,且为最小值1﹣lna,
由函数y=f(x)的图象恒在x轴的上方,可得1﹣lna>0,解得0<a<e,
则实数a的取值范围为(0,e).
故选:D.
【知识点】函数恒成立问题
4.(2020•包河区校级月考)设函数f(x)的定义域为R,满足,且当x∈(0,1]时,f(x)=x(x﹣1).若对任意x∈[m,+∞),都有,则m的最小值是( )
A. B. C. D.
【解答】解:∵,∴f(x)=2f(x+1)
当x∈(0,1]时,f(x)=x(x﹣1)∈[,0],
x∈(﹣1,0]时,x+1∈(0,1],f(x)=2f(x+1)=2(x+1)x∈[,0],
x∈(﹣2,﹣1]时,x+1∈(﹣1,0],f(x)=2f(x+1)=4(x+2)(x+1)∈[﹣1,0],
将函数大致图象在数值上画出,如图
x∈(﹣2,﹣1]时,令4(x+2)(x+1)=﹣,
解得:x1=,x2=﹣,若对任意x∈[m,+∞),都有f(x)≥﹣,
所以m≥﹣,
故选:A.
【知识点】函数恒成立问题
5.(2020•株洲一模)已知对任意x∈(0,1)恒成立,则实数a的取值范围为( )
A.(0,e+1) B.(0,e+1] C.(﹣∞,e+1) D.(﹣∞,e+1]
【解答】解:由,得,
令,则et+lnt﹣at+a>e,
令h(t)=et+lnt﹣at+a(t>1),则,
h'(t)在(1,+∞)上单调递增,∴h'(t)>h'(1)=e+1﹣a,
当a≤e+1时,h'(t)>0对∀t∈(1,+∞)恒成立,∴h(t)>h(1)=e,符合题意;
当a>e+1时,由h'(t)在(1,+∞)上单调递增,可知∃t0∈(1,+∞)使得h'(t0)=0,
且x∈(1,t0)时,h'(t)<0,x∈(t0,+∞)时,h'(t)>0,
∴h(t)在(1,t0)上单调递减,∴h(t)<h(1)=e,不符合题意综上,
a的取值范围为(﹣∞,e+1].
故选:D.
【知识点】函数恒成立问题、利用导数研究函数的最值
6.(2020•榆林一模)已知函数y=f(x)(x∈R)满足f(x+2)=2f(x),且x∈[﹣1,1]时,f(x)=﹣|x|+1,则当x∈[﹣10,10]时,y=f(x)与g(x)=log4|x|的图象的交点个数为( )
A.13 B.12 C.11 D.10
【解答】解:由题意,函数f(x)满足:
定义域为R,且f(x+2)=2f(x),当x∈[﹣1,1]时,f(x)=﹣|x|+1;
在同一坐标系中画出满足条件的函数f(x)与函数y=log4|x|的图象,如图:
由图象知,两个函数的图象在区间[﹣10,10]内共有11个交点;
故选:C.
【知识点】对数函数图象与性质的综合应用、函数的图象与图象的变换
7.(2020•武汉模拟)已知函数f(x)=x,g(x)=ax2﹣x,其中a>0,若∀x1∈[1,2],∃x2∈[1,2],使得f(x1)f(x2)=g(x1)g(x2)成立,则a=( )
A.1 B. C. D.
【解答】解:由f(x)=x,g(x)=ax2﹣x,a>0,
且f(x1)f(x2)=g(x1)g(x2),
可得,则ax1x2(ax1x2﹣x1﹣x2)=0,
故ax1x2=x1+x2,
则,故,而,
因为∀x1∈[1,2],∃x2∈[1,2],使得f(x1)f(x2)=g(x1)g(x2)成立,即N⊆M,
可得≤a﹣1<a﹣≤1,即a≥且a≤,
解得,
故选:D.
【知识点】函数恒成立问题
8.(2020•包河区校级月考)已知定义在(﹣∞,0)∪(0,+∞)上的函数f(x),且f(1)=1,函数f(x+1)的图象关于点(﹣1,0)中心对称,对于任意x1,x2∈(0,+∞),x1≠x2,都有成立.则的解集为( )
A.[﹣1,1] B.(﹣∞,﹣1]∪[1,+∞)
C.(﹣∞,﹣1]∪(0,1] D.(﹣2019,2019)
【解答】解:∵函数f(x+1)的图象关于点(﹣1,0)中心对称,
∴函数f(x)的图象关于点(0,0)中心对称,即f(x)为奇函数,
令g(x)=x2019f(x),则g(﹣x)=g(x),即g(x)为偶函数,
∵f(1)=1,
∴g(1)=f(1)=1,
∵任意x1,x2∈(0,+∞),x1≠x2,都有成立.
∴>0对于任意x1,x2∈(0,+∞),x1≠x2,都成立,即g(x)在(0,+∞)上单调递增,
根据偶函数的对称性可知,g(x)在(﹣∞,0)上单调递减,
∵,
当x>0时,可得g(x)≤1,
∴,
∴0<x≤1,
当x<0时,可得g(x)≥1,
∴
x≤﹣1,
综上可得,不等式的解集为{x|x≤﹣1或0<x≤1}.
故选:C.
【知识点】函数单调性的性质与判断
9.(2020•4月份模拟)已知函数f(x)=﹣x2+a,g(x)=x2ex,若对任意的x2∈[﹣1,1],存在唯一的x1∈[﹣,2],使得f(x1)=g(x2),则实数a的取值范围是( )
A.(e,4] B.(e+,4] C.(e+,4) D.(,4]
【解答】解:f(x)=﹣x2+a在[﹣,2]的值域为[a﹣4,a],
但f(x)在(,2]递减,此时f(x)∈[a﹣4,a﹣).
g(x)=x2ex的导数为g′(x)=2xex+x2ex=x(x+2)ex,
可得g(x)在[﹣1,0]递减,(0,1]递增,
则g(x)在[﹣1,1]的最小值为g(0)=0,最大值为g(1)=e,即值域为[0,e].
对任意的x2∈[﹣1,1],存在唯一的x1∈[﹣,2],使得f(x1)=g(x2),
可得[0,e]⊆[a﹣4,a﹣),
可得a﹣4≤0<e<a﹣,
解得e+<a≤4.
故选:B.
【知识点】函数恒成立问题
10.(2020•石家庄一模)设符号min{x,y,z}表示x,y,z中的最小者,已知函数f(x)=min{|x﹣2|,x2,|x+2|}则下列结论正确的是( )
A.∀x∈[0,+∞),f(x﹣2)>f(x) B.∀x∈[1,+∞),f(x﹣2)>f(x)
C.∀x∈R,f(f(x))≤f(x) D.∀x∈R,f(f(x))>f(x)
【解答】解:如图所示:由题意可得A中,f(x)=
B中,当1≤x≤2时,﹣1≤x﹣2≤0,f(x﹣2)=f(2﹣x)≤2﹣x=f(x),
当2<x≤3时,0<x﹣2≤1,f(x﹣2)≤x﹣2=f(x),
当3<x≤4时,1<x﹣2≤2,f(x﹣2)=2﹣(x﹣2)=4﹣x≤x﹣2=f(x),当x≤4,x﹣2≥2,恒有f(x﹣2)<f(x),所以B不正确,A也不正确;
C中,从图象上看,x∈[0,+∞),f(x)≤x,
令t=f(x),则t≥0,所以f(t)≤t,即f(f(x))≤f(x),故C正确,D不正确.
故选:C.
【知识点】函数的最值及其几何意义
11.(2020•茂名一模)下列函数图象中,函数f(x)=xαe|x|(α∈Z)的图象不可能的是( )
A. B.
C. D.
【解答】解:A图象中函数的定义域为R,函数是偶函数,则α为正偶数时,满足对应图象,
B图象中函数的定义域为{x|x≠0},函数是偶函数,则α为负偶数时,满足对应图象,
C图象中函数的定义域为R,函数是奇函数,则α为正奇数,函数为增函数,且递增的速度越来越快,故C不满足条件.
D图象中函数的定义域为R,函数是奇函数,则α为正奇数,函数为增函数,且递增的速度越来越快,故D满足条件.
故选:C.
【知识点】函数的图象与图象的变换
12.(2020•山西月考)函数(x>2)的最小值是( )
A.3 B.4 C.5 D.6
【解答】解:f(x)=,
∵x>2,∴x﹣2>0,
∴f(x)=(x﹣2)+,当且仅当x﹣2=,即x=4时,等号成立,
∴函数f(x)的最小值为6,
故选:D.
【知识点】函数的最值及其几何意义
13.(2020•2月份模拟)已知a>0且,若f(x)有最大值,则a的取值范围是( )
A. B.
C. D.
【解答】解:当x时,函数f(x)=8x﹣1在(﹣∞,]上为增函数,f(x)有最大值为3;
当0<a<1时,函数f(x)=2+logax在(,+∞)上为减函数,
要使f(x)有最大值,则2+≤3,即0;
当a>1时,函数f(x)=2+logax在(,+∞)上为减函数,且当x→+∞时,f(x)→+∞,不合题意.
∴a的取值范围是.
故选:B.
【知识点】函数的最值及其几何意义
14.(2020•北碚区模拟)已知集合A={0,1},B={z|z=x+y,x∈A,y∈A},则B的子集个数为( )
A.3 B.4 C.7 D.8
【解答】解:由题意可知,
集合B={z|z=x+y,x∈A,y∈A}={0,1,2},
则B的子集个数为:23=8个,
故选:D.
【知识点】子集与真子集
15.(2020•巴中模拟)函数f(x)、g(x)分别是定义在R上的偶函数、奇函数,且f(x)+2g(x)=ex,若关于x的方程f(2x)﹣mg(x)=0在区间(0,2]内有解,则实数m的最小值为( )
A.4 B.4 C.8 D.8
【解答】解:∵f(x)+2g(x)=ex,
∴f(﹣x)+2g(﹣x)=e﹣x,
又函数f(x)、g(x)分别是定义在R上的偶函数、奇函数,
∴f(x)﹣2g(x)=e﹣x,
∴,
∵f(2x)﹣mg(x)=0在区间(0,2]内有解,
∴在区间(0,2]内有解,
令t=ex﹣e﹣x∈(0,e2﹣e﹣2],则在(0,e2﹣e﹣2]内有解,
又,当且仅当时取等号,
∴m的最小值为.
故选:B.
【知识点】奇偶性与单调性的综合、函数的零点与方程根的关系
16.(2020•洛阳期中)已知函数f(x)=2x+3,g(x)=x+lnx,若f(x1)=g(x2),则x2﹣x1的最小值为 .
【解答】解:由f(x1)=g(x2),得2x1+3=x2+lnx2,
∴x1=(x2+lnx2﹣3),
∴x2﹣x1=(x2﹣lnx2)+,
令h(x)=(x﹣lnx)+,则h′(x)=(1﹣),
当x∈(0,1)时,h′(x)<0,h(x)单调递减,当x∈(1,+∞)时,h′(x)>0,h(x)单调递增,
∴x=1时,函数的最小值为2.
故答案为:2.
【知识点】函数的最值及其几何意义
17.(2020•滨州二模)设f(x)是定义在R上且周期为6的周期函数,若函数y=f(x﹣1)的图象关于点(1,0)对称,函数y=f(x)在区间[﹣n,n](其中n∈N*)上的零点的个数的最小值为an,则an= .
【解答】解:可将y=f(x﹣1)的图象向左平移1个单位,得到y=f(x)的图象,因为函数y=f(x﹣1)的图象关于点(1,0)对称,
即有y=f(x)的图象关于原点对称,即y=f(x)为奇函数,可得f(0)=0,
又f(x)为周期为6的周期函数,可得f(x+6)=f(x),
可令x=﹣3,则f(﹣3+6)=f(﹣3),即f(3)=f(﹣3)=﹣f(3),可得f(﹣3)=f(3)=0,
当n=1,2时,f(x)在[﹣n,n]上,有f(0)=0;当n=3,4,5时,f(x)在[﹣n,n]上,有f(0)=0,f(3)=f(﹣3)=0;
当n=6,7,8时,f(x)在[﹣n,n]上,有f(0)=0,f(3)=f(﹣3)=0,f(6)=f(﹣6)=0;
当n=9,10,11时,f(x)在[﹣n,n]上,有f(0)=0,f(3)=f(﹣3)=0,f(6)=f(﹣6)=0,f(9)=f(﹣9)=0,
…,
可得a1=a2=1,a3=a4=a5=3,a6=a7=a8=5,…,a3k=a3k+1=a3k+2=2k+1,k∈N,
即an=2k+1,(3k≤n<3(k+1),k∈N,n∈N*).
故答案为:2k+1,(3k≤n<3(k+1),k∈N,n∈N*).
【知识点】函数的最值及其几何意义
18.(2020•河东区一模)函数f(x)=x,g(x)=x2﹣x+3,若存在x1,x2,…,xn∈[0,],使得f(x1)+f(x2)+…+f(xn﹣1)+g(xn)=g(x1)+g(x2)+…+g(xn﹣1)+f(xn),n∈N*,则n的最大值为 .
【解答】解:因为f(x1)+f(x2)+…f(xn﹣1)+g(xn)=g(x1)+g(x2)+…+g(xn﹣1)+f(xn)等价于(x1﹣1)2+2+(x2﹣1)2+2+…+(xn﹣1﹣1)2+2=(xn﹣1)2+2有解,
∵,
∴(x1﹣1)2+2+(x2﹣1)2+2+…+(xn﹣1﹣1)2+2≥2(n﹣1),(xn﹣1)2+2≤,
根据题意得2(n﹣1)≤且n为正整数,
∴n≤,∴n的最大值为8,
故答案为:8.
【知识点】函数的最值及其几何意义
19.(2020•镇江一模)已知函数,若对任意的x∈[m,m+1],不等式f(1﹣x)≤f(x+m)恒成立,则实数m的取值范围是 ﹣ ﹣ .
【解答】解:函数,
当x<0时,﹣x>0,f(﹣x)=﹣2﹣x+x3=f(x),
同样x>0,可得f(﹣x)=f(x),且f(0)=﹣1,
则f(x)为偶函数,且f(x)在x≥0上为减函数,
对任意的x∈[m,m+1],不等式f(1﹣x)≤f(x+m)恒成立,
可得f(|1﹣x|)≤f(|x+m|),
即为|x﹣1|≥|x+m|,
即有(2x﹣1+m)(m+1)≤0,
由一次函数的单调性,可得:
(2m﹣1+m)(m+1)≤0,且(2m+2﹣1+m)(m+1)≤0,
即为﹣1≤m≤且﹣1≤m≤﹣,
即有﹣1≤m≤﹣,
则m的范围是[﹣1,﹣],
故答案为:[﹣1,﹣].
【知识点】函数恒成立问题
20.(2020•未央区校级期中)已知a∈R,函数.
①当a=0时,函数f(x)的最小值为 ;
②若f(x)在区间[1,4]上的最大值是5,则实数a的取值范围为 .
【解答】解:①当a=0时,f(x)=|x+|=.
若x>0,则f(x)=,当且仅当x=,即x=2时等号成立;
若x<0,则f(x)=﹣x﹣,当且仅当﹣x=,即x=﹣2时等号成立.
综上,函数f(x)的最小值为4;
②∵f(x)在区间[1,4]上的最大值是5,∴f(x)=|+x﹣a|+a≤5,
∴|+x﹣a|≤5﹣a,则a≤5,
∴a﹣5≤+x﹣a≤5﹣a,即2a﹣5≤+x≤5.
∵1≤x≤4,∴4≤+x≤5,得2a﹣5≤4,
∴a≤,
∴实数a的取值范围为(﹣∞,].
故答案为:4;(﹣∞,].
【知识点】函数的最值及其几何意义
21.(2020•巩义市校级月考)已知函数f(x)=x2+(2a﹣1)x﹣3.
(1)当a=2,x∈[﹣2,3]时,求函数f(x)的值域.
(2)若函数f(x)在[﹣1,3]上单调递增,求实数a的取值范围.
【解答】解:(1)当a=2,x∈[﹣2,3]时,函数f(x)=x2+(2a﹣1)x﹣3=x2+3x﹣3=﹣,
故当x=﹣时,函数取得最小值为﹣,当x=3时,函数取得最大值为15,故函数f(x)的值域为[﹣,15].
(2)若函数f(x)在[﹣1,3]上单调递增,则≤﹣1,∴a≥,即实数a的范围为[,+∞)
【知识点】二次函数的性质与图象、函数单调性的性质与判断
22.(2020•秦州区校级期末)已知函数f(x)=4x﹣a•2x+1+1.
(1)若函数f(x)在x∈[0,2]上有最大值﹣8,求实数a的值;
(2)若方程f(x)=0在x∈[﹣1,2]上有解,求实数a的取值范围.
【解答】解:(1)f(x)=(2x)2﹣2a•2x+1,∵x∈[0,2],∴2x∈[1,4],
①a≤时,f(x)max=42﹣2a×4+1=﹣8,解得a=(舍)
②a>时,f(x)max=12﹣2a×1+1=﹣8,解得a=5,
∴a=5;
(2)∵x∈[﹣1,2],∴令t=2x∈[,4],
∴g(t)=t2﹣2at+1=0在[,4]有解,
a=+≥2=1当且仅当=,即t=1时等号成立,此时函数g(t)=t2﹣2t+1的图象如图,
∴t=4时,a取得最大值,
综上a∈[1,].
【知识点】函数的最值及其几何意义
23.(2020•宝鸡二模)已知f(x)=|x+3|﹣|x﹣2|
(Ⅰ)求函数f(x)的最大值m;
(Ⅱ)正数a,b,c满足a+2b+3c=m,求证:.
【解答】解:(Ⅰ)f(x)=|x+3|﹣|x﹣2|≤|(x+3)﹣(x﹣2)|=5,
当且仅当x≥2时等号成立,∴f(x)的最大值m=5.
(Ⅱ)由(Ⅰ)知,m=5,∴a+2b+3c=5,∴.
∴,
=
=
,
当且仅当时等号成立,
∴.
【知识点】不等式的证明、函数的最值及其几何意义
24.(2020•衡阳二模)已知函数f(x)=m﹣|x﹣2|﹣|x+2|.
(1)当m=6时,求不等式f(x)>1的解集;
(2)若函数g(x)=x2+4x+5与函数y=f(x)的图象有公共点,求实数m的取值范围.
【解答】解:(1)当m=6时,.
∵f(x)>1,∴或﹣2≤x≤2或,
∴或﹣2≤x≤2或,∴,
∴不等式解集为.
(2)由g(x)=x2+4x+5=(x+2)2+1,得该函数在x=﹣2处取得最小值1,
又∵,在x=﹣2处取得最大值m﹣4,
∴要使函数g(x)=x2+4x+5与函数y=f(x)的图象有公共点,
∴只须m﹣4≥1,即m≥5,
∴m的取值范围为[5,+∞).
【知识点】函数的图象与图象的变换、绝对值不等式的解法
25.(2020•武侯区校级模拟)设函数f(x)=ex﹣ax2﹣x﹣1,a∈R.
(Ⅰ)a=0时,求f(x)的最小值;
(Ⅱ)若f(x)≥0在[0,+∞)恒成立,求a的取值范围.
【解答】解:(I)当a=0时,f(x)=ex﹣x﹣1,f′(x)=ex﹣1,
当x<0时,f′(x)<0,函数单调递减,当x>0时,f′(x)>0,函数单调递增,
故当x=0时,函数取得最小值f(0)=0,
(II)f′(x)=ex﹣2ax﹣1,
令g(x)=ex﹣2ax﹣1,x≥0,
则g′(x)=ex﹣2a,
(i)当a时,g′(x)>0,函数g(x)在[0,+∞)上单调递增,g(x)≥g(0)=0,即f′(x)≥0,
所以f(x)在[0,+∞)上单调递增,f(x)≥f(0)=0,满足题意;
(ii)当a>时,由g′(x)=0可得x=ln(2a),
当x∈(0,ln2a)时,g′(x)<0,函数g(x)在[0,+∞)上单调递减,
所以f(x)在[0,+∞)上单调递减,f(x)<f(0)=0不合题意,
综上可得,a的范围(﹣].
【知识点】函数恒成立问题、利用导数研究函数的最值
26.(2020•河南模拟)已知函数f(x)=2|x+1|+|x﹣2|.
(1)求函数f(x)的值域;
(2)设函数f(x)的最小值为m,若正实数a,b,c满足a+b+c=m,求证:.
【解答】解:(1)∵f(x)=2|x+1|+|x﹣2|=,
∴f(x)在(﹣∞,﹣1)上单调递减,在(﹣1,+∞)上单调递增,
∴f(x)min=f(﹣1)=3,∴f(x)的值域为[3,+∞).
(2)由(1)知,f(x)min=m=3,∴a+b+c=3,
∴
=
≥2(a+b+c)=6,当且仅当a=b=c=1时取等号,
∴.
【知识点】函数的值域、不等式的证明
27.(2020•内江模拟)已知函数f(x)=|x﹣3|+|x﹣1|.
(1)若f(x)≥x+m对任意x∈R恒成立,求实数m的取值范围;
(2)记函数f(x)的最小值为s,若a,b,c>0,且a+b+c=s,证明:4ab+bc+ac≥8abc.
【解答】解:(1)设g(x)=f(x)﹣x=|x﹣3|+|x﹣1|﹣x=,
画出图象如下:g(x)的最小值为g(3)=﹣1,
故m≤﹣1;
(2)证明:由f(x)=|x﹣2|+|x﹣1|≥|x﹣3﹣x+1|=2,当且仅当1≤x≤3时,取等号,
所以s=2,即a+b+c=2,
4ab+bc+ac≥8abc可化为,
由柯西不等式,(a+b+c)()≥(1+1+2)2=16,
当且仅当2a=2b=c=1时,取等号,
所以,
故原命题成立.
【知识点】不等式的证明、函数恒成立问题
28.(2020•郑州期末)已知函数h(x)=,不等式t≥(1+)t对于x∈(0,+∞)恒成立.
(Ⅰ)求函数h(x)的最值;
(Ⅱ)求实数t的值;
(Ⅲ)已知实数f(x)=mx﹣+logtx,g(x)=,其中e为自然对数的底数.若对任意的x∈(0,1],g(x)﹣2f(x)+3mx+>4都恒成立,求正实数m的取值范围.
【解答】解:(Ⅰ)由题可得,
则当x∈(0,e)时,h′(x)>0,当x∈(e,+∞)时,h′(x)<0,
∴h(x)在区间(0,e)上单调递增,在区间(e,+∞)上单调递减,
∴h(x)的最大值为,无最小值,
(Ⅱ)由题可得t>0.有得
即:对于所有的x∈(0,+∞)恒成立,
有(Ⅰ)可知,的最大值为,∴,
又,∴,∴t=e,
(Ⅲ)令,
化简得:,
当m>0时,
令F′(x)>0得,,F(x)在上单调递减,F(x)在上单调递增.
又∵m>0,∴,∴F(x)在(0,1)上单调递减
∴F(x)min=F(1)=2m+2>4,∴m>1
综上:正实数m的取值范围为(1,+∞)
【知识点】利用导数研究函数的单调性、函数恒成立问题

