期末测试卷02(人教A版)(测试范围:必修1、必修4)(解析版)
展开期末测试卷02
(本卷满分150分,考试时间120分钟)
测试范围:必修1、必修4(人教A版)
一、单项选择题:本题共8小题,每小题5分,共40分.在每小题给出的四个选项中,只有一个选项是符合题目要求的.
1.设集合,,则它们之间最准确的关系是( )。
A、
B、
C、
D、
【答案】C
【解析】由集合得,,则,
由集合得,,则,
则∴,故选C。
2.已知平面向量,,若与反向共线,则实数的值为( )。
A、
B、
C、
D、
【答案】D
【解析】由题意可知,存在实数,使得,
∴,则,解得或,
又,∴,∴,故选D。
3.已知,则( )。
A、
B、
C、
D、
【答案】D
【解析】由可得,
∴,∴,
∴,故选D。
4.已知向量,,,若,则实数的值为( )。
A、
B、
C、
D、
【答案】A
【解析】∵,,∴,又∵,,
∴,解得,故选A。
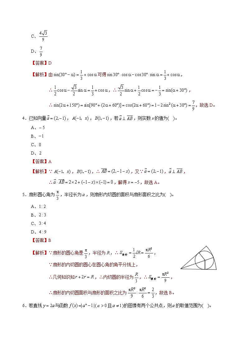
5.扇形圆心角为,半径长为,则扇形内切圆的面积与扇形面积之比为( )。
A、
B、
C、
D、
【答案】B
【解析】∵扇形的圆心角是,半径为,∴,
∵扇形的内切圆的圆心在圆心角的角平分线上,
∴几何知识知,∴内切圆的半径为,∴,
∴扇形的内切圆面积与扇形的面积之比为,故选B。
6.若直线与函数(且)的图像有两个公共点,则的取值范围为( )。
A、
B、
C、
D、
【答案】A
【解析】作图,由图可知,
作出和两种图像易知,
只有有可能符合,∴,故选A。
7.已知函数(),则( )。
A、
B、
C、
D、
【答案】C
【解析】∵
,
∴,故选C。
8.已知数,则下列说法错误的是( )。
A、的图像关于点对称
B、的图像关于直线对称
C、在上单调递增
D、是周期函数
【答案】C
【解析】,
∵,
,
∴,∴的图像关于点中心对称,A对,
∵,
,
∴,∴的图像关于直线轴对称,B对,
∵,
∴是函数的一个周期,D对,
综上,故选C。
二、多项选择题:本题共4小题,每小题5分,共20分.在每小题给出的选项中,有多项符合题目要求,全部选对的得5分,部分选对的得3分,有选错的得0分.
9.下面给出的几个关系中正确的是( )。
A、
B、
C、
D、
【答案】CD
【解析】A选项,中有元素,中有元素、,,A错,
B选项,中有元素,中有元素、,,B错,
C选项,∵,∴,C对,
D选项,是任意集合的子集,∴,D对,
故选CD。
10.下列函数中在区间上单调递减的函数是( )。
A、
B、
C、
D、
【答案】BC
【解析】在定义域上是增函数,
在定义域上是减函数,
,其在区间上单调递减,
在定义域上是增函数,故选BC。
11.下列命题正确的是( )。
A、若(其中)是偶函数,则实数
B、既是奇函数又是偶函数
C、已知是定义在上的奇函数,若当时,,则当时,
D、已知是定义在上的不恒为零的函数,且对任意的、恒成立,则是偶函数
【答案】ABC
【解析】A选项,若是定义在上的偶函数,
则,∴,对,
B选项,的定义域为,
则函数转化,,∴既是奇函数与又是偶函数,对,
C选项,当时,,则,根据奇函数,
∴,,∴当时,,对,
D选项,令,得到,令,得到:,∴,
令,则有,∴函数为奇函数,错。
故选ABC。
12.如图,四边形是正方形,延长至,使得。若动点从点出发,沿正方形的边按逆时针方向运动一周回到点,其中,下列判断错误的是( )。
A、满足的点有且只有一个
B、满足的点必为的中点
C、满足的最小值不存在
D、满足的最大值为
【答案】ABC
【解析】如图建系,取,∵,
∴,
动点从点出发,沿正方形的边按逆时针方向运动一周回到点,
当时,有且,∴,∴,
当时,有且,则,∴,∴,
当时,有且,则,∴,∴,
当时,有且,则,∴,∴,
综上,,
选项A,当点取或的中点时均满足,此时点不唯一,错,
选项B,取,满足,此时,
因此点不一定是的中点,错,
选项C,当取点时,取得最小值,错,
选项D,当点取点时,且,解得,取得最大值为,对,
故选ABC。
三、填空题:本题共4小题,每小题5分,共20分.
13.设集合,,,则实数的值为 。
【答案】
【解析】由题意知,,故,即,经验证,符合题意,∴。
14.已知函数,若函数有两个零点,则实数的取值范围是 。
【答案】
【解析】画出分段函数的图像如图所示,
结合图像可以看出,函数有两个零点,
即与有两个不同的交点,
即的取值范围为。
15.已知非零向量、满足,,且与的夹角为,则的取值范围是 。
【答案】
【解析】令,则,与的夹角为,
∴,
又,∴,∴的取值范围是。
16.已知函数(,)与函数的部分图像如图所示,且函数的图像可由函数的图像向右平移个单位长度得到,则 ,函数在区间上的值域为 。(本小题第一个空2分,第二个空3分)
【答案】
【解析】将函数的图像上的点向右平移个单位长度,
可得的图像在五点法做图时的第一个点,坐标为,即,
由的部分图像可知五点法做图时的第三个点坐标为,
则,解得,∴,由得,
当,即时,,
当,即时,,
故函数在区间的值域为。
四、解答题:本题共6小题,共70分.解答应写出文字说明、证明过程或演算步骤.
17.(本小题满分10分)
设、、、为平面内的四点,且,,。
(1)若,求点的坐标;
(2)设向量,,若与平行,求实数的值。
【解析】(1)设,∵,∴, 2分
化为,∴,解得,∴; 5分
(2)∵,, 6分
∴,, 8分
∵与平行,∴,解得。 10分
18.(本小题满分12分)
定义在上的函数满足,当时有。
(1)求在上的解析式;
(2)判断在上的单调性并用定义证明。
【解析】(1)设,则,∵,且时,, 2分
∴时,有, 4分
在中,令,, 5分
综上,当时,有:; 6分
(2)在上是减函数,证明:设,则,, 8分
∴,,
∴, 10分
∴,∴在上是减函数。 12分
19.(本小题满分12分)
已知函数。
(1)当时,求函数的单调递增区间;
(2)若,求函数的值域。
【解析】(1)函数
,
∴, 2分
令,,∴,
∵,∴函数的单调递增区间; 4分
(2)
, 6分
令,∵,∴, 8分
∴,∴, 10分
∴原式可化为,, 11分
∴,
∴最大值为,最小值为,∴值域为。 12分
20.(本小题满分12分)
已知函数,。
(1)求函数的解析式;
(2)解不等式;
(3)若在上单调递增,求实数的范围。
【解析】(1)∵,∴; 2分
(2)由可得:,
等价于,解得,或,解得, 4分
∴原不等式的解集为; 6分
(3)依题意在上单调递增, 7分
①当时,在上单调递增,符合题意, 8分
②当时,为二次函数,对称轴为, 9分
当时,图像开口向上,只需,解得, 10分
当时,图像开口向下,只需,解得, 11分
综上:。 12分
21.(本小题满分12分)
已知函数满足(且)。
(1)判断函数的奇偶性及单调性;
(2)当时,恒成立,求实数的取值范围;
(3)当时,恒成立,求的取值范围。
【解析】(1)令(),则,∵,
则(), 2分
又∵,∴为奇函数, 4分
又当时,为增函数,为增函数,
当时,为减函数,仍为增函数, 6分
综上,可知是上递增的奇函数; 7分
(2)由(1),当时,,
再由单调性及定义域可得; 9分
(3)设,∵是上的增函数,∴在上也递增,
由得,则,
要使恒成立,只需在时恒成立, 11分
即,解得且。 12分
22.(本小题满分12分)
已知函数。
(1)若且时,求的最大值和最小值;
(2)若且时,方程有两个不相等的实数根、,求的取值范围及的值。
【解析】(1)若,则,∵,∴, 1分
∴当时,的取得最大值为,
此时在的最大值为, 3分
当时,的取得最小值为,
此时在的最小值为; 5分
(2)若,,∵,∴,
∴,∴, 7分
当有两不等的根,
结合函数的图像可得或,
即, 9分
由得,由,得, 10分
即函数在内的对称性为和,
两个根分别关于和对称, 11分
即或。 12分

