






人教A版 (2019)必修 第一册5.3 诱导公式习题课件ppt
展开
这是一份人教A版 (2019)必修 第一册5.3 诱导公式习题课件ppt,共15页。PPT课件主要包含了新知探究,∵α是第三象限角,=-cos120°,=cos60°,例2求证,归纳小结,作业布置,目标检测等内容,欢迎下载使用。
例1 已知α是第三象限角,
(1)若 ,求f(α)的值;
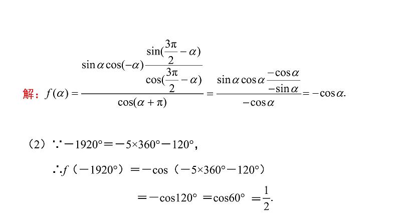
(2)若α=-1920°,求f(α)的值.
追问1 根据所给已知条件,首先应该解决什么问题?
由于所给f(α)的表达式很繁琐,因此可先化简再代入求值.
追问2 对于式子中的 与 ,可以直接选用诱导公式,那么,对于 、 、 ,该如何选用公式呢?
当然也可以采用别的途径消去常数,比如,先用诱导公式三,
再用诱导公式一,最后用公式六也可解决;
再用公式二,进行化简;
再用公式六,即可化简.
(2)∵-1920°=-5×360°-120°,
∴f(-1920°)=-cs(-5×360°-120°)
追问1 根据所给恒等式,应该采用什么样的证明方法?
追问2 你能试着分析一下具体的证明过程吗?
∴左边=右边,故原式得证.
例3 已知 求
问题 通过解决以上的几道题,你觉得在应用诱导公式时需要注意哪些问题?你有什么收获?
(2)学会分析所给角之间的联系;
(3)根据已知条件会选择恰当的诱导公式进行变形.
已知 ,求 的值.
相关课件
这是一份数学人教A版 (2019)5.3 诱导公式授课课件ppt,共16页。PPT课件主要包含了诱导公式二,-x-y,sinαy,cosαx,公式二,诱导公式三,x-y,公式三,诱导公式四,-xy等内容,欢迎下载使用。
这是一份人教A版 (2019)必修 第一册5.3 诱导公式图片ppt课件,共31页。PPT课件主要包含了目标认知,图5-3-1,知识点二诱导公式,cosα,sinα,-sinα等内容,欢迎下载使用。
这是一份高中数学人教A版 (2019)必修 第一册5.3 诱导公式获奖课件ppt,共31页。PPT课件主要包含了公式一,解题归纳,解题一般步骤等内容,欢迎下载使用。
