


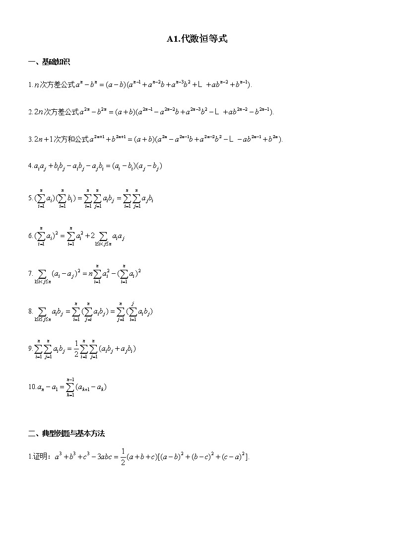
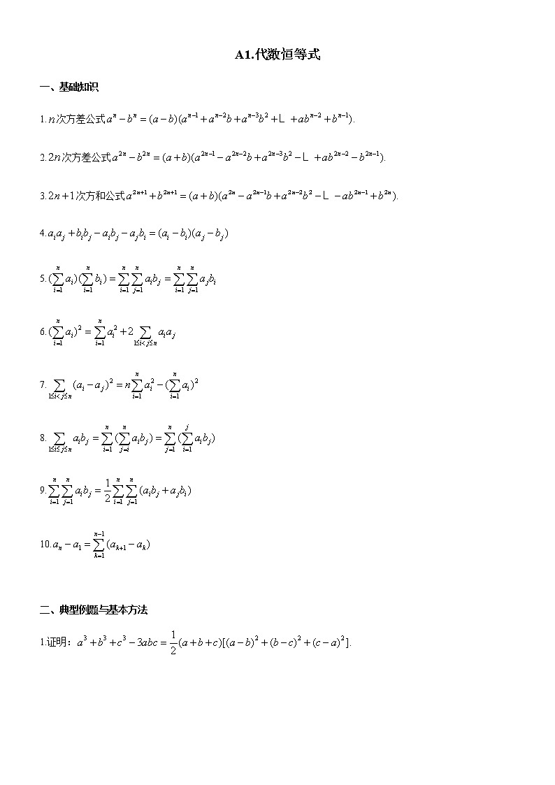
四川省成都市第七中学高一年级竞赛数学不等式专题讲义:1.代数恒等式
展开A1.代数恒等式
一、基础知识
1.次方差公式
2.次方差公式
3.次方和公式
4.
5.
6.
7.
8.
9.
10.
二、典型例题与基本方法
1.证明:
2.证明:.
3.证明:
4.若求证:
5.已知求的值.
6.化简
7.证明拉格朗日恒等式
8.(Abel恒等式)设求证:
(Abel和差变换公式)
(Abel分部求和公式)
B1.练习 姓名:
1.证明:
2.已知求证:
3.证明:.
A1.代数恒等式参考解答
二、典型例题与基本方法
1.证明:
解:
2.证明:.
解:
取即可得.
3.证明:
解:
法2 则
海伦公式
于是
4.若求证:
解:于是三个数一个为0两个互为相反数,于是得证.
5.已知求的值.
解:由2可得证.
或于是
6.化简
解:观察到
联想到
于是
于是原式
7.证明拉格朗日恒等式
证明:
8.(Abel恒等式)设求证:
(Abel和差变换公式)
(Abel分部求和公式)
证明:
令
则
B1.练习 姓名:
1.证明:
解:
2.已知求证:
证明:
3.证明:.
解: