资料中包含下列文件,点击文件名可预览资料内容
还剩38页未读,
继续阅读
成套系列资料,整套一键下载
- 2021版新高考地区高考数学(人教版)大一轮复习(课件+学案+高效演练分层突破)第05章 第4讲 第2课时 三角函数的图象与性质(二) 课件 12 次下载
- 2021版新高考地区高考数学(人教版)大一轮复习(课件+学案+高效演练分层突破)第05章 第6讲 正弦定理和余弦定理 课件 12 次下载
- 2021版新高考地区高考数学(人教版)大一轮复习(课件+学案+高效演练分层突破)第05章 第5讲 函数y=Asin(ωx+φ)的图象及三角函数模型的简单应用 课件 12 次下载
- 2021版新高考地区高考数学(人教版)大一轮复习(课件+学案+高效演练分层突破)第05章 第1讲 任意角和弧度制及任意角的三角函数 课件 12 次下载
- 2021版新高考地区高考数学(人教版)大一轮复习(课件+学案+高效演练分层突破)第05章 第7讲 解三角形应用举例及综合问题 课件 11 次下载
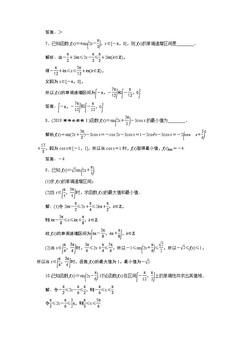
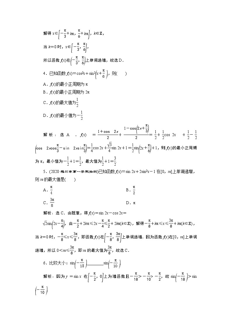
2021版新高考地区高考数学(人教版)大一轮复习(课件+学案+高效演练分层突破)第05章 第4讲 第1课时 三角函数的图象与性质(一)
展开数学
第五章 三角函数、解三角形
第4讲 三角函数的图象与性质第1课时 三角函数的图象与性质(一)
请做:高效演练 分层突破
word部分:
点击进入链接
本部分内容讲解结束
按ESC键退出全屏播放
相关资料
更多

