数学6.3 二项式定理复习ppt课件
展开
这是一份数学6.3 二项式定理复习ppt课件,共42页。PPT课件主要包含了掌握规律,命题探明,两个计数原理,二项式定理的应用等内容,欢迎下载使用。
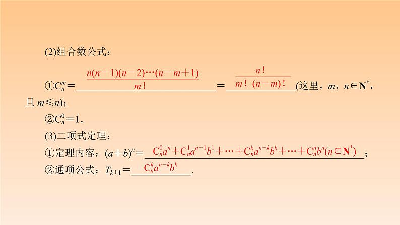
n(n-1)(n-2)…(n-m+1)
易错警示1.分类标准不明确,有重复或遗漏,区分平均分组与平均分配问题.2.混淆排列问题与组合问题的差异.3.混淆二项展开式中某项的系数与二项式系数.4.在求展开式的各项系数之和时,忽略了赋值法的应用.
4.(2018·全国卷Ⅰ,15)从2位女生,4位男生中选3人参加科技比赛,且至少有1位女生入选,则不同的选法共有______种.(用数字填写答案)
(1)如图,小明从街道的E处出发,先到F处与小红会合,再一起到位于G处的老年公寓参加志愿者活动,则小明到老年公寓可以选择的最短路径条数为( )A.24 B.18 C.12 D.9
[解析] E→F有6种走法,F→G有3种走法,由分步乘法计数原理知,共6×3=18种走法.
(2)如果一个三位正整数“a1a2a3”满足a1
相关课件
这是一份统考版2024高考数学二轮专题复习第二篇必备知识为基第4讲计数原理二项式定理课件理,共25页。PPT课件主要包含了考点一,考点二,答案C,答案A,答案D,考点二二项式定理,答案B等内容,欢迎下载使用。
这是一份高考数学(理)一轮复习课件+讲义 第10章 第3讲 二项式定理,文件包含高考数学理一轮复习课件第10章第3讲二项式定理pptx、高考数学理一轮复习讲义第10章第3讲二项式定理doc等2份课件配套教学资源,其中PPT共39页, 欢迎下载使用。
这是一份高考数学(理)一轮复习课件+讲义 第10章 第1讲 分类加法计数原理与分步乘法计数原理,文件包含高考数学理一轮复习课件第10章第1讲分类加法计数原理与分步乘法计数原理pptx、高考数学理一轮复习讲义第10章第1讲分类加法计数原理与分步乘法计数原理doc等2份课件配套教学资源,其中PPT共46页, 欢迎下载使用。

