搜索
    上传资料 赚现金
    英语朗读宝
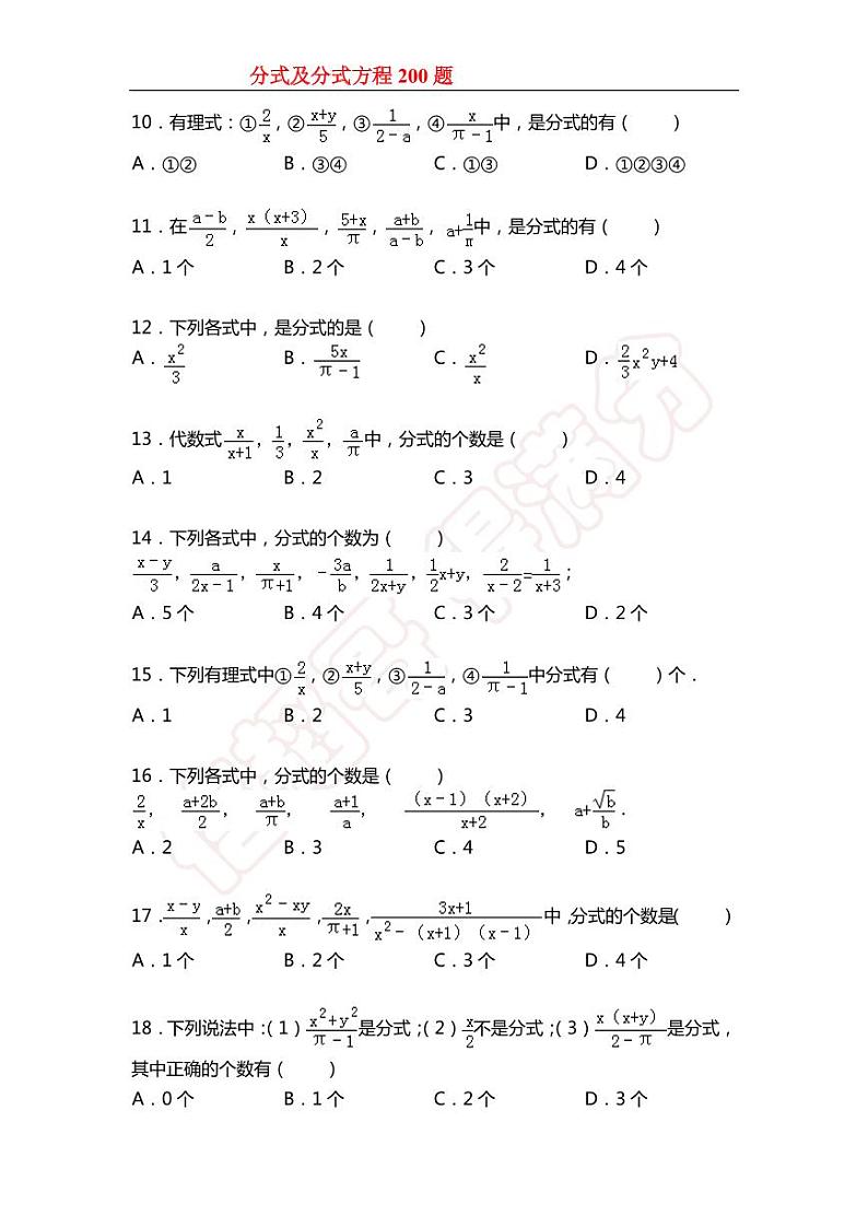
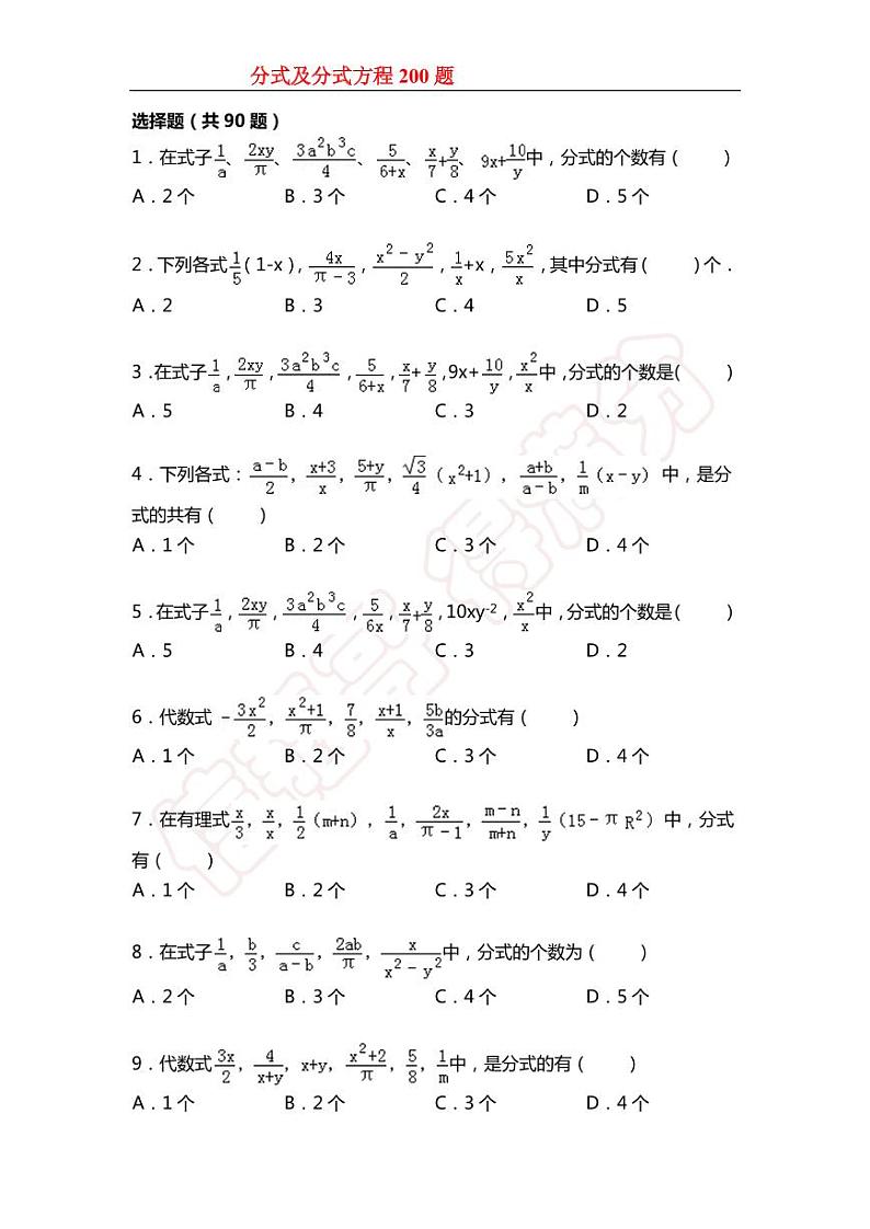
    分式及分式方程200题第1页
    分式及分式方程200题第2页
    分式及分式方程200题第3页
    还剩56页未读, 继续阅读
    下载需要5学贝 1学贝=0.1元
    使用下载券免费下载
    加入资料篮
    立即下载

    数学八年级上册第十五章 分式综合与测试课后复习题

    展开

    这是一份数学八年级上册第十五章 分式综合与测试课后复习题,共59页。

    相关试卷

    2023年中考数学精选真题实战测试7 分式及分式方程A:

    这是一份2023年中考数学精选真题实战测试7 分式及分式方程A,共7页。试卷主要包含了单选题,填空题,解答题等内容,欢迎下载使用。

    2023年中考数学精选真题实战测试7 分式及分式方程A:

    这是一份2023年中考数学精选真题实战测试7 分式及分式方程A,共7页。试卷主要包含了单选题,填空题,解答题等内容,欢迎下载使用。

    专题08 分式方程(共32题)及答案:

    这是一份专题08 分式方程(共32题)及答案,共6页。试卷主要包含了5倍.若设荧光棒的单价为元等内容,欢迎下载使用。

    • 课件
    • 教案
    • 试卷
    • 学案
    • 其他
    欢迎来到教习网
    • 900万优选资源,让备课更轻松
    • 600万优选试题,支持自由组卷
    • 高质量可编辑,日均更新2000+
    • 百万教师选择,专业更值得信赖
    微信扫码注册
    qrcode
    二维码已过期
    刷新

    微信扫码,快速注册

    手机号注册
    手机号码

    手机号格式错误

    手机验证码 获取验证码

    手机验证码已经成功发送,5分钟内有效

    设置密码

    6-20个字符,数字、字母或符号

    注册即视为同意教习网「注册协议」「隐私条款」
    QQ注册
    手机号注册
    微信注册

    注册成功

    返回
    顶部
    Baidu
    map