北师大版九年级上册1 成比例线段第1课时课时训练
展开知识点 1 线段的比
1.下列说法中正确的有( )
①两条线段的比是两条线段的长度之比,比值是一个正数;
②两条线段的长度之比是同一单位下的长度之比;
③两条线段的比值是一个数量,不带单位;
④两条线段的比有顺序,eq \f(a,b)与eq \f(b,a)不同,它们互为倒数.
A.1个 B.2个 C.3个 D.4个
2.已知线段AB,在BA的延长线上取一点C,使CA=3AB,则线段CA与线段CB之比为( )
A.3∶4 B.2∶3
C.3∶5 D.1∶2
知识点 2 成比例线段
3.下列各组线段(单位:cm)中,是成比例线段的是( )
A.1,2,3,4 B.1,2,2,4
C.3,5,9,13 D.1,2,2,3
4.教材随堂练习第3题变式题若线段a,b,c,d成比例,其中a=3 cm,b=6 cm,c=2 cm,则d=__________.
知识点 3 比例的基本性质
5.已知eq \f(x,2)=eq \f(y,3),那么下列式子中一定成立的是( )
A.2x=3y B.3x=2y
C.x=2y D.xy=6
6.若3a=5b,则eq \f(a,b)=________.
7.等边三角形的一边与这条边上的高的比是( )
A.eq \r(3)∶2 B.eq \r(3)∶1
C.2∶eq \r(3) D.1∶eq \r(3)
8.如果eq \f(a+2b,b)=eq \f(5,2),那么eq \f(a,b)的值是( )
A.eq \f(1,2) B.2 C.eq \f(1,5) D.5
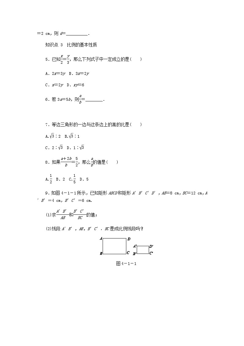
9.如图4-1-1所示,已知矩形ABCD和矩形A′B′C′D′,AB=8 cm,BC=12 cm,A′B′=4 cm,B′C′=6 cm.
(1)求eq \f(A′B′,AB)和eq \f(B′C′,BC)的值;
(2)线段A′B′,AB,B′C′,BC是成比例线段吗?
图4-1-1
10.教材习题4.1第2题变式题如图4-1-2,已知eq \f(AD,DB)=eq \f(AE,EC),AD=6.4 cm,DB=4.8 cm,EC=4.2 cm,求AC的长.
图4-1-2
11.已知三条线段的长度分别是4,8,5,试写出另一条线段的长度,使这四条线段为成比例线段.
1.D.
2.A .
3.B 4.4 cm 5.B 6.eq \f(5,3) 7.C
8.A
9.解:(1)∵AB=8 cm,BC=12 cm,A′B′=4 cm,B′C′=6 cm,
∴eq \f(A′B′,AB)=eq \f(4,8)=eq \f(1,2),eq \f(B′C′,BC)=eq \f(6,12)=eq \f(1,2).
(2)由(1)知eq \f(A′B′,AB)=eq \f(1,2),eq \f(B′C′,BC)=eq \f(1,2),
∴eq \f(A′B′,AB)=eq \f(B′C′,BC),
∴线段A′B′,AB,B′C′,BC是成比例线段.
10.解:∵eq \f(AD,DB)=eq \f(AE,EC),∴eq \f(6.4,4.8)=eq \f(AE,4.2),
解得AE=5.6(cm),
则AC=AE+EC=5.6+4.2=9.8(cm).
11.解:设所求的线段长度为x.
当x∶4=8∶5时,可求得x=eq \f(32,5);
当x∶4=5∶8时,可求得x=eq \f(20,8)=eq \f(5,2);
当4∶8=5∶x时,可求得x=eq \f(40,4)=10.
所以所求的线段长度可能为eq \f(32,5)或eq \f(5,2)或10.
数学九年级上册第四章 图形的相似1 成比例线段课时作业: 这是一份数学九年级上册第四章 图形的相似1 成比例线段课时作业,共3页。试卷主要包含了单选题,填空题,解答题等内容,欢迎下载使用。
初中数学北师大版九年级上册1 成比例线段课时作业: 这是一份初中数学北师大版九年级上册1 成比例线段课时作业,共3页。试卷主要包含了1 成比例线段,8×104cm C.3等内容,欢迎下载使用。
数学九年级上册1 成比例线段课堂检测: 这是一份数学九年级上册1 成比例线段课堂检测,共3页。试卷主要包含了1 成比例线段,76等内容,欢迎下载使用。

