所属成套资源:人教B版(2019)必修第三册课时分层作业+单元综合测评
必修 第三册第七章 三角函数7.3 三角函数的性质与图像7.3.2 正弦型函数的性质与图像优秀练习
展开
这是一份必修 第三册第七章 三角函数7.3 三角函数的性质与图像7.3.2 正弦型函数的性质与图像优秀练习,共7页。
(建议用时:60分钟)
[合格基础练]
一、选择题
1.函数y=3sineq \b\lc\(\rc\)(\a\vs4\al\c1(2x+\f(π,6)))的图像的一条对称轴方程是( )
A.x=0 B.x=eq \f(2π,3)
C.x=-eq \f(π,6) D.x=eq \f(π,3)
B [令sineq \b\lc\(\rc\)(\a\vs4\al\c1(2x+\f(π,6)))=±1,得2x+eq \f(π,6)=kπ+eq \f(π,2)(k∈Z),即x=eq \f(k,2)π+eq \f(π,6)(k∈Z),取k=1时,x=eq \f(2π,3).]
2.已知简谐运动f(x)=2sineq \b\lc\(\rc\)(\a\vs4\al\c1(\f(π,3)x+φ))eq \b\lc\(\rc\)(\a\vs4\al\c1(|φ|<\f(π,2)))的图像经过点(0,1),则该简谐运动的最小正周期T和初相φ分别为( )
A.T=6,φ=eq \f(π,6) B.T=6,φ=eq \f(π,3)
C.T=6π,φ=eq \f(π,6)D.T=6π,φ=eq \f(π,3)
A [将(0,1)点代入f(x)可得sin φ=eq \f(1,2).∵|φ|0,-\f(π,2)0,ω>0)上的一个最高点的坐标为eq \b\lc\(\rc\)(\a\vs4\al\c1(\f(π,8),\r(,2))),此点到相邻最低点间的曲线与x轴交于点eq \b\lc\(\rc\)(\a\vs4\al\c1(\f(3π,8),0)),若φ∈eq \b\lc\(\rc\)(\a\vs4\al\c1(-\f(π,2),\f(π,2))).
(1)试求这条曲线的函数表达式;
(2)用“ 五点法” 画出(1)中函数在[0,π]上的图像.
[解](1)依题意,A=eq \r(2) ,T=4×eq \b\lc\(\rc\)(\a\vs4\al\c1(\f(3π,8)-\f(π,8)))=π.
∵ T=eq \f(2π,|ω|)=π,ω>0,∴ ω=2,∴ y=eq \r(2)sin(2x+φ),
又曲线上的最高点为eq \b\lc\(\rc\)(\a\vs4\al\c1(\f(π,8),\r(,2))),
∴ sineq \b\lc\(\rc\)(\a\vs4\al\c1(2×\f(π,8)+φ))=1.
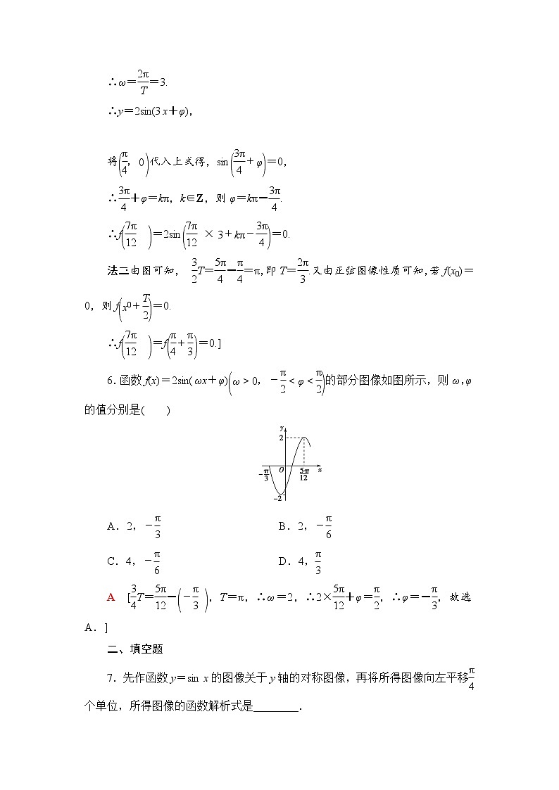
∵-eq \f(π,2)0,-\f(π,2)
相关试卷
这是一份人教B版 (2019)必修 第三册7.3.2 正弦型函数的性质与图像精练,共6页。试卷主要包含了某同学给出了以下结论等内容,欢迎下载使用。
这是一份人教B版 (2019)必修 第三册7.3.2 正弦型函数的性质与图像课时训练,共6页。
这是一份人教B版 (2019)必修 第三册7.3.1 正弦函数的性质与图像精品练习,共4页。

