2020届二轮复习三角恒等变形2(教师)学案(全国通用)
展开三角恒等变形2
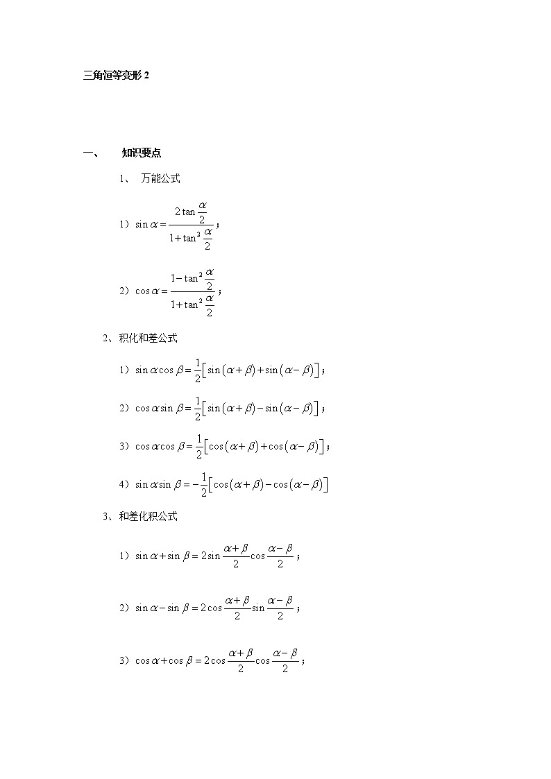
一、 知识要点
1、 万能公式
1);
2);
2、 积化和差公式
1);
2);
3);
4)
3、 和差化积公式
1);
2);
3);
4)
二、 例题精讲
例1、证明下列三角恒等式
(1);
(2).
答案:提示:利用万能公式
例2、已知,求证:.
例3、求下列三角式的值
(1);
(2).
答案:(1);(2).
例4、关于的方程在上有两个不相等的实数根,求的值.
答案:
例5、已知函数.
(1) 将表示成的整式;
(2) 若与的图像在内至少有一个公共点,试求的取值范围.
答案:(1);(2).
*例6、(1)已知向量和,,且,求的值.
(2)已知向量,令,求函数的最大值、最小正周期,并写出在上的单调区间.
答案:(1);(2),,增区间为,减区间为和.
*例7、等比数列中,,,其中,
(1)问是数列的第几项?
(2)若,求数列的前项和.
答案:(1)第5项;(2).
三、 课堂练习
1、 .
答案:
2、,,,则 .
答案:
3、 .
答案:
4、设,且,,则的值是 .
答案:或
5、若,,则 .
答案:
四、 课后作业
一、填空题
1、若,则 , .
答案:,
2、若、为方程的两根,则的值为 .
答案:
3、二次方程的两根的平方差是,锐角 .
答案:
4、化简 .
答案:1
5、 .
答案:1
6、定义在区间上的函数的图像与的图像的交点为,过点作轴于点,直线与的图像交于点,则线段的长为 .
答案:
二、选择题
7、若,则的最大值为( )
A、 B、 C、 D、
答案:B
8、已知向量,,那么的值是( )
A、 B、 C、 D、
答案:D
9、( )
A、 B、 C、2 D、
答案:C
三、解答题
10、(1)已知锐角三角形中,,,
①求证:;②设,求边上的高.
(2)已知为第二象限角,且,求的值.
答案:(1)①略;②;(2)
11、(1)已知,求证:;
(2)设同时满足,,
求证:.
12、已知,其中和都是常数,且满足,问:是否存在这样的和,使的值是与无关的定值?若存在,求出和的值;若不存在,说明理由.
答案:且

