2019届二轮复习三角函数中的参数问题学案(全国通用)
展开专题03 三角函数中的参数问题
三角函数中的参数范围问题是三角函数中中等偏难的问题,很多同学由于思维方式不对,导致问题难解。此类问题主要分为四类,它们共同的方法是将相位看成整体,结合正弦函数或余弦函数的图像与性质进行求解。
【题型示例】
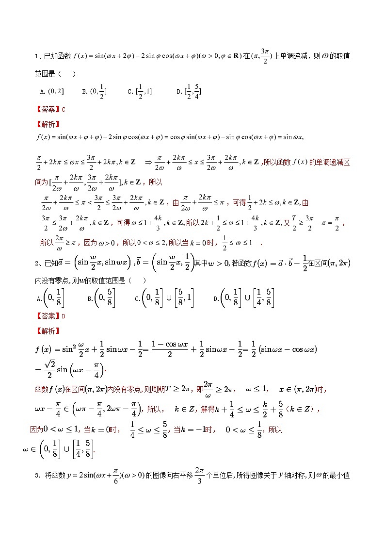
1. 已知,函数在上单调递减,则的取值范围是( )
A. B. C. D.
【答案】A
【解析】
方法一(通法):由,得,,又在上递减,所以,解得.
方法二(采用特殊值代入检测法):令,则,当时,,不合题意,故排除选项D;令,则,当时,,故排除选项B,C.
2、已知函数在上有且只有两个零点,则实数的取值范围为( )
A. B. C. D.
【答案】B
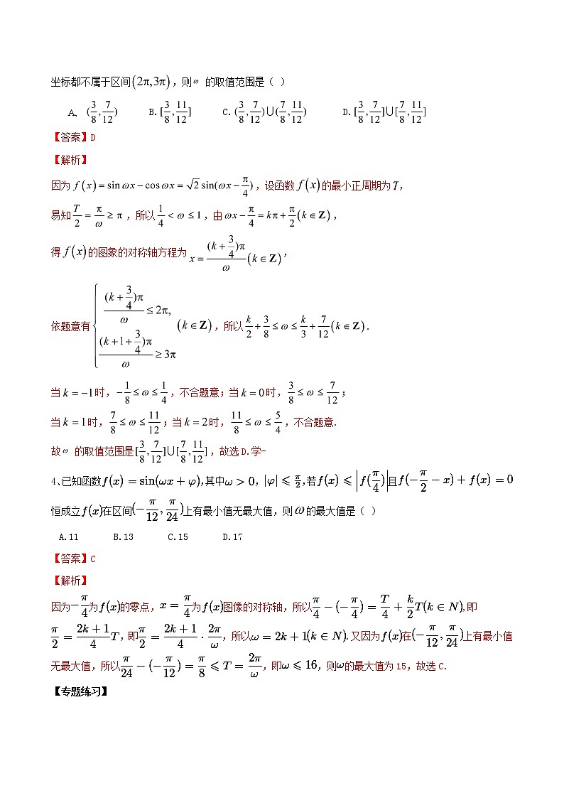
3、已知函数,若的图象的任意一条对称轴与轴的交点的横坐标都不属于区间,则的取值范围是( )
A、 B. C. D.
【答案】D
【解析】
因为,设函数的最小正周期为,
易知,所以,由,
得的图象的对称轴方程为,
依题意有,所以.
当时,,不合题意;当时,;
当时,;当时,,不合题意.
故的取值范围是,故选D.学-
4、已知函数,其中,,若且恒成立在区间上有最小值无最大值,则的最大值是( )
A.11 B.13 C.15 D.17
【答案】C
【解析】
因为为的零点,为图像的对称轴,所以,即,即,所以.又因为在上有最小值无最大值,所以,即,则的最大值为15,故选C.
【专题练习】
1、已知函数在上单调递减,则的取值范围是( )
A. B. C. D.
【答案】C
【解析】
,所以函数的单调递减区间为,所以
,由,可得由
,可得所以又,
所以,因为,所以所以当时, .
2、已知其中,若函数在区间内没有零点,则的取值范围是( )
A. B. C. D.
【答案】D 学
【解析】
,
函数在区间内没有零点,则周期,即, , 时, ,所以, ,解得(),
因为,当时, ,当时, ,所以.
3. 将函数的图像向右平移个单位后,所得图像关于轴对称,则的最小值为( )
A. B. C. D.
【答案】B
【解析】
函数的图像向右平移个单位后,所得图像对应的解析式为
.∵函数的图像关于轴
对称,∴,即.∵,∴时,取得最小值为.故选
B.
4、已知函数的图象过点,若对恒成立,则的最小值为( )
A. B. C. D. .
【答案】A
【解析】
函数图像过点,则,结合可得:,由对恒成立可
得:,解得:,令可得:,故选A.
5、若函数()在上恰有两个极大值和一个极小值,则的取值范围是( )
A. B. C. D.
【答案】A
【解析】
依题意,函数在上恰有两个极大值和一个极小值,由图象可知,亦即,解得
6、将函数的图象向右平移个单位,得取函数的图象,若在上为减函数,则的最大值为( )
A. B. C. D.
【答案】B
7、函数在内的值域为,则的取值范围为( )
A. B. C. D.
【答案】A
【解析】
函数,
当时,,∴, 学
结合余弦函数的性质,则,解得,
故的取值范围为.故选A.
8、已知函数,若且在区间上有最小值,无最大值,则的值为( )
A. B. C. D.
【答案】C _ _ .
【解析】
,,且在区间上有最小值,无最大值,所以直线为的一条对称轴,所以,,又,则当时.
9、已知函数,若方程在上有且只有四个实根数,则实数的取值范围为( )
A. B. C. D.
【答案】B
【解析】
因为,方程在上有且只有四个实数根,即在上有且只有四个实数根,设,因为,所以,所以,解得,故选B.
10、已知函数,若对满足的,有,若对任意恒成立,则的取值范围是( )
A. B. C. D.
【答案】A
【解析】学
因为函数最大,最小值分别为,由和可知,
,,,,由对任意恒成立,得对任意恒成立,所以即,
又,所以.

