【数学】江西省上饶中学2019-2020学年高二下学期期末考试(文)
展开江西省上饶中学2019-2020学年高二下学期期末考试(文)
时间:120分钟 分值:150分
一、单选题(共12小题,每小题5分,共60分)
1.已知集合,,则( )
A. B. C. D.
2.设,且,则下列不等式中一定成立的是( )
A. B. C. D.
3.已知,则“”是“”的( )
A.充分非必要条件 B.必要非充分条件
C.充要条件 D.既非充分又非必要条件
4.设,则的大小关系( )
A. B. C. D.
5.函数的图象大致是( )
A. B.
C. D.
6.已知,若,满足,则( )
A. B.
C. D.
7.若,则=( )
A. B. C. D.
8.已知函数是定义域为的偶函数,且在上单调递减,则不等式的解集为( )
A. B. C. D.
9.若函数有两个不同的极值点,则实数的取值范围是( )
A. B.
C. D.
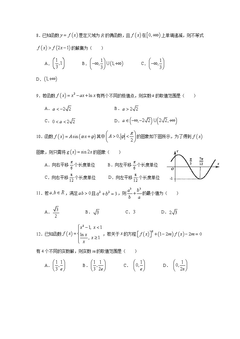
10.函数其中的图象如下图所示,为了得到图象,则只需将的图象( )
A.向右平移个长度单位 B.向左平移个长度单位
C.向右平移个长度单位 D.向左平移个长度单位
11.若,满足且,则的最小值为( )
A. B. C. D.
12.已知函数,若关于的方程有4个不同的实数解,则实数m的取值范围是( )
A. B. C. D.
二、填空题:本大题共四小题,每小题5分,共20分
13.命题,使得的否定为________________.
14.函数的定义域为__________________.
15.已知,且,则的值为____________.
16.已知函数图像上有动点,函数图像上有动点.若两点同时从纵坐标的初始位置出发,沿着各自函数图像向右上方运动至两点的纵坐标值再次相等,且始终满足,则在此运动过程中两点的距离的取值范围是__________________.
三、解答题:本大题共6小题,共70分。解答应写出文字说明,证明过程或演算步骤
17.(10分)已知集合, ,全集,求:
(1);
(2).
18.(12分)设函数.
(1)求不等式的解集;
(2)若,恒成立,求实数的取值范围.
19.(12分)已知函数.
(1)求函数的单调递增区间;
(2)若方程,在只有一个根,求实数的取值范围.
20.(12分)平面直角坐标系中,直线l的参数方程为(t为参数).以原点O为极点,x轴正半轴为极轴建立极坐标系,曲线C极坐标方程为,直线l与曲线C交于M、N两点.
(1)求直线l的普通方程以及曲线C的直角坐标方程;
(2)若直线l上有定点,求的值.
21.(12分)由于新冠肺炎疫情造成医用防护服紧缺,当地政府决定为防护服生产企业A公司提供(万元),的生产专项补贴,并确保以每套80元的价格收购其生产的全部防护服.A公司在收到政府x(万元)补贴后,防护服的产量为(万套),其中k为工厂工人的复工率,A公司生产t万套防护服的总成本为(万元).
(1)将A公司生产防护服的利润y(万元)表示为补贴x(万元)的函数;注:利润=总收益-总成本
(2)对任意的(万元),当复工率k达到多少时,A公司才能不产生亏损?(k精确到0.01)
22.(12分)设函数.
(1)当求函数的单调区间和极值;
(2)若存在满足,证明:成立.
参考答案
一、单选题
1. D 2.B 3. A 4. B 5. D 6. C 7. D 8. B 9. B 10. B 11. C 12. D
二、填空题
13. ,使得 14. 15. . 16.
三、解答题
17.【答案】(1)(2)
(1)集合,,∴; 5分
(2)全集,∴,∴. 5分
18.【答案】(1);(2)
(1),
当,,,∴;
当,,∴无解;
当,,,∴; 综上: 6分
(2)易得,若,恒成立,
只需 ,
综上:. 6分
19.【答案】(1);(2).
(1),
解不等式,得.
因此,函数的单调递增区间为; 6分
(2),,由题意可得设
方程可以化为:,即,的图像与的图像有且只有一个交点,根据图像得. 6分
20.【答案】(1)直线l:;曲线C:;(2)
(1)将两式相加可得,直线l的普通方程为:,
∵,即,C的直角坐标方程为:.6分
(2)直线l的参数方程:(t为参数)代入曲线C方程得: ,
设M,N对应的参数分别为, 曲线C内,异号,且
∵. 6分
21.【答案】(1);(2).
(1)因为公司生产万件防护服成本,政府以每套80元的价格收购其生产的全部防护服,且提供(万元)的专项补贴,所以,公司生产防护服的利润,; 5分
(2)为使公司不产生亏损,只需利润在上恒成立;
即在上恒成立;
因为,
令,因为,所以,记,在上单调递增;因此,即的最大值为;只需,即. 7分
22.【答案】(1)当时, 在上单调递增没有极值;当时,在上单调递增,在上单调递减,极小值为;(2)证明见解析.
(1)由时,得,得;得;
在上单调递减;在上单调递增;有极小值,无极大值. 4分
(2)由得:,从而得
由得,
当时,从而得在上单调递增没有极值;当时,得;
得;得;在上单调增,在上单调减,
①当时,从而得在上单调递增,所以此时不成立
②当,由于的极小值点为,可设
设
,仅当时取得“”
所以在为单调递增函数且
当,时有,即
又由,所以
又由(1)知在上单调递减,且,
所以从而得证成立. 8分

