终身会员
搜索
    上传资料 赚现金
    英语朗读宝

    2021版高考数学(文)新创新一轮(实用课件+精致讲义+新题检测)全国通用版:第二章 函数的概念与基本初等函数Ⅰ (共18份打包)

    立即下载
    加入资料篮
    资料中包含下列文件,点击文件名可预览资料内容
    • 课件
      标题-2018-2019学年高中新创新一轮复习文数通用版:第二章 第一节 函数及其表示.ppt
    • 课件
      标题-2018-2019学年高中新创新一轮复习文数通用版:第二章 第三节 函数的奇偶性及周期性.ppt
    • 课件
      标题-2018-2019学年高中新创新一轮复习文数通用版:第二章 第六节 对数与对数函数.ppt
    • 课件
      标题-2018-2019学年高中新创新一轮复习文数通用版:第二章 第五节 指数与指数函数.ppt
    • 课件
      标题-2018-2019学年高中新创新一轮复习文数通用版:第二章 第四节 二次函数与幂函数.ppt
    • 课件
      标题-2018-2019学年高中新创新一轮复习文数通用版:第二章 第七节 函数的图象及其应用.ppt
    • 课件
      标题-2018-2019学年高中新创新一轮复习文数通用版:第二章 第二节 函数的单调性与最值.ppt
    • 课件
      标题-2018-2019学年高中新创新一轮复习文数通用版:第二章 第八节 函数与方程.ppt
    • 课件
      标题-2018-2019学年高中新创新一轮复习文数通用版:第二章 第九节 函数模型及应用.ppt
    • 练习
      标题-2018-2019学年高中新创新一轮复习文数通用版:第二章 函数的概念与基本初等函数Ⅰ.doc
    • 练习
      标题-2018-2019学年高中新创新一轮复习文数通用版:课时达标检测(八) 指数与指数函数.doc
    • 练习
      标题-2018-2019学年高中新创新一轮复习文数通用版:课时达标检测(七) 二次函数与幂函数.doc
    • 练习
      标题-2018-2019学年高中新创新一轮复习文数通用版:课时达标检测(九) 对数与对数函数.doc
    • 练习
      标题-2018-2019学年高中新创新一轮复习文数通用版:课时达标检测(十二) 函数模型及应用.doc
    • 练习
      标题-2018-2019学年高中新创新一轮复习文数通用版:课时达标检测(六) 函数的奇偶性及周期性.doc
    • 练习
      标题-2018-2019学年高中新创新一轮复习文数通用版:课时达标检测(十一) 函数与方程.doc
    • 练习
      标题-2018-2019学年高中新创新一轮复习文数通用版:课时达标检测(十) 函数的图象及其应用.doc
    • 练习
      标题-2018-2019学年高中新创新一轮复习文数通用版:课时达标检测(五) 函数的单调性与最值.doc
    标题-2018-2019学年高中新创新一轮复习文数通用版:第二章 第一节  函数及其表示第1页
    标题-2018-2019学年高中新创新一轮复习文数通用版:第二章 第一节  函数及其表示第2页
    标题-2018-2019学年高中新创新一轮复习文数通用版:第二章 第一节  函数及其表示第3页
    标题-2018-2019学年高中新创新一轮复习文数通用版:第二章 第一节  函数及其表示第4页
    标题-2018-2019学年高中新创新一轮复习文数通用版:第二章 第一节  函数及其表示第5页
    标题-2018-2019学年高中新创新一轮复习文数通用版:第二章 第一节  函数及其表示第6页
    标题-2018-2019学年高中新创新一轮复习文数通用版:第二章 第一节  函数及其表示第7页
    标题-2018-2019学年高中新创新一轮复习文数通用版:第二章 第一节  函数及其表示第8页
    标题-2018-2019学年高中新创新一轮复习文数通用版:第二章 第三节  函数的奇偶性及周期性第1页
    标题-2018-2019学年高中新创新一轮复习文数通用版:第二章 第三节  函数的奇偶性及周期性第2页
    标题-2018-2019学年高中新创新一轮复习文数通用版:第二章 第三节  函数的奇偶性及周期性第3页
    标题-2018-2019学年高中新创新一轮复习文数通用版:第二章 第三节  函数的奇偶性及周期性第4页
    标题-2018-2019学年高中新创新一轮复习文数通用版:第二章 第三节  函数的奇偶性及周期性第5页
    标题-2018-2019学年高中新创新一轮复习文数通用版:第二章 第三节  函数的奇偶性及周期性第6页
    标题-2018-2019学年高中新创新一轮复习文数通用版:第二章 第三节  函数的奇偶性及周期性第7页
    标题-2018-2019学年高中新创新一轮复习文数通用版:第二章 第三节  函数的奇偶性及周期性第8页
    标题-2018-2019学年高中新创新一轮复习文数通用版:第二章 第六节  对数与对数函数第1页
    标题-2018-2019学年高中新创新一轮复习文数通用版:第二章 第六节  对数与对数函数第2页
    标题-2018-2019学年高中新创新一轮复习文数通用版:第二章 第六节  对数与对数函数第3页
    标题-2018-2019学年高中新创新一轮复习文数通用版:第二章 第六节  对数与对数函数第4页
    标题-2018-2019学年高中新创新一轮复习文数通用版:第二章 第六节  对数与对数函数第5页
    标题-2018-2019学年高中新创新一轮复习文数通用版:第二章 第六节  对数与对数函数第6页
    标题-2018-2019学年高中新创新一轮复习文数通用版:第二章 第六节  对数与对数函数第7页
    标题-2018-2019学年高中新创新一轮复习文数通用版:第二章 第六节  对数与对数函数第8页
    标题-2018-2019学年高中新创新一轮复习文数通用版:第二章 第五节  指数与指数函数第1页
    标题-2018-2019学年高中新创新一轮复习文数通用版:第二章 第五节  指数与指数函数第2页
    标题-2018-2019学年高中新创新一轮复习文数通用版:第二章 第五节  指数与指数函数第3页
    标题-2018-2019学年高中新创新一轮复习文数通用版:第二章 第五节  指数与指数函数第4页
    标题-2018-2019学年高中新创新一轮复习文数通用版:第二章 第五节  指数与指数函数第5页
    标题-2018-2019学年高中新创新一轮复习文数通用版:第二章 第五节  指数与指数函数第6页
    标题-2018-2019学年高中新创新一轮复习文数通用版:第二章 第五节  指数与指数函数第7页
    标题-2018-2019学年高中新创新一轮复习文数通用版:第二章 第五节  指数与指数函数第8页
    标题-2018-2019学年高中新创新一轮复习文数通用版:第二章 第四节  二次函数与幂函数第1页
    标题-2018-2019学年高中新创新一轮复习文数通用版:第二章 第四节  二次函数与幂函数第2页
    标题-2018-2019学年高中新创新一轮复习文数通用版:第二章 第四节  二次函数与幂函数第3页
    标题-2018-2019学年高中新创新一轮复习文数通用版:第二章 第四节  二次函数与幂函数第4页
    标题-2018-2019学年高中新创新一轮复习文数通用版:第二章 第四节  二次函数与幂函数第5页
    标题-2018-2019学年高中新创新一轮复习文数通用版:第二章 第四节  二次函数与幂函数第6页
    标题-2018-2019学年高中新创新一轮复习文数通用版:第二章 第四节  二次函数与幂函数第7页
    标题-2018-2019学年高中新创新一轮复习文数通用版:第二章 第四节  二次函数与幂函数第8页
    标题-2018-2019学年高中新创新一轮复习文数通用版:第二章 第七节  函数的图象及其应用第1页
    标题-2018-2019学年高中新创新一轮复习文数通用版:第二章 第七节  函数的图象及其应用第2页
    标题-2018-2019学年高中新创新一轮复习文数通用版:第二章 第七节  函数的图象及其应用第3页
    标题-2018-2019学年高中新创新一轮复习文数通用版:第二章 第七节  函数的图象及其应用第4页
    标题-2018-2019学年高中新创新一轮复习文数通用版:第二章 第七节  函数的图象及其应用第5页
    标题-2018-2019学年高中新创新一轮复习文数通用版:第二章 第七节  函数的图象及其应用第6页
    标题-2018-2019学年高中新创新一轮复习文数通用版:第二章 第七节  函数的图象及其应用第7页
    标题-2018-2019学年高中新创新一轮复习文数通用版:第二章 第七节  函数的图象及其应用第8页
    标题-2018-2019学年高中新创新一轮复习文数通用版:第二章 第二节  函数的单调性与最值第1页
    标题-2018-2019学年高中新创新一轮复习文数通用版:第二章 第二节  函数的单调性与最值第2页
    标题-2018-2019学年高中新创新一轮复习文数通用版:第二章 第二节  函数的单调性与最值第3页
    标题-2018-2019学年高中新创新一轮复习文数通用版:第二章 第二节  函数的单调性与最值第4页
    标题-2018-2019学年高中新创新一轮复习文数通用版:第二章 第二节  函数的单调性与最值第5页
    标题-2018-2019学年高中新创新一轮复习文数通用版:第二章 第二节  函数的单调性与最值第6页
    标题-2018-2019学年高中新创新一轮复习文数通用版:第二章 第二节  函数的单调性与最值第7页
    标题-2018-2019学年高中新创新一轮复习文数通用版:第二章 第二节  函数的单调性与最值第8页
    标题-2018-2019学年高中新创新一轮复习文数通用版:第二章 第八节  函数与方程第1页
    标题-2018-2019学年高中新创新一轮复习文数通用版:第二章 第八节  函数与方程第2页
    标题-2018-2019学年高中新创新一轮复习文数通用版:第二章 第八节  函数与方程第3页
    标题-2018-2019学年高中新创新一轮复习文数通用版:第二章 第八节  函数与方程第4页
    标题-2018-2019学年高中新创新一轮复习文数通用版:第二章 第八节  函数与方程第5页
    标题-2018-2019学年高中新创新一轮复习文数通用版:第二章 第八节  函数与方程第6页
    标题-2018-2019学年高中新创新一轮复习文数通用版:第二章 第八节  函数与方程第7页
    标题-2018-2019学年高中新创新一轮复习文数通用版:第二章 第八节  函数与方程第8页
    标题-2018-2019学年高中新创新一轮复习文数通用版:第二章 第九节  函数模型及应用第1页
    标题-2018-2019学年高中新创新一轮复习文数通用版:第二章 第九节  函数模型及应用第2页
    标题-2018-2019学年高中新创新一轮复习文数通用版:第二章 第九节  函数模型及应用第3页
    标题-2018-2019学年高中新创新一轮复习文数通用版:第二章 第九节  函数模型及应用第4页
    标题-2018-2019学年高中新创新一轮复习文数通用版:第二章 第九节  函数模型及应用第5页
    标题-2018-2019学年高中新创新一轮复习文数通用版:第二章 第九节  函数模型及应用第6页
    标题-2018-2019学年高中新创新一轮复习文数通用版:第二章 第九节  函数模型及应用第7页
    标题-2018-2019学年高中新创新一轮复习文数通用版:第二章 第九节  函数模型及应用第8页
    标题-2018-2019学年高中新创新一轮复习文数通用版:第二章  函数的概念与基本初等函数Ⅰ第1页
    标题-2018-2019学年高中新创新一轮复习文数通用版:第二章  函数的概念与基本初等函数Ⅰ第2页
    标题-2018-2019学年高中新创新一轮复习文数通用版:第二章  函数的概念与基本初等函数Ⅰ第3页
    标题-2018-2019学年高中新创新一轮复习文数通用版:课时达标检测(八)  指数与指数函数第1页
    标题-2018-2019学年高中新创新一轮复习文数通用版:课时达标检测(八)  指数与指数函数第2页
    标题-2018-2019学年高中新创新一轮复习文数通用版:课时达标检测(八)  指数与指数函数第3页
    标题-2018-2019学年高中新创新一轮复习文数通用版:课时达标检测(七)  二次函数与幂函数第1页
    标题-2018-2019学年高中新创新一轮复习文数通用版:课时达标检测(七)  二次函数与幂函数第2页
    标题-2018-2019学年高中新创新一轮复习文数通用版:课时达标检测(七)  二次函数与幂函数第3页
    标题-2018-2019学年高中新创新一轮复习文数通用版:课时达标检测(九)  对数与对数函数第1页
    标题-2018-2019学年高中新创新一轮复习文数通用版:课时达标检测(九)  对数与对数函数第2页
    标题-2018-2019学年高中新创新一轮复习文数通用版:课时达标检测(九)  对数与对数函数第3页
    标题-2018-2019学年高中新创新一轮复习文数通用版:课时达标检测(十二)  函数模型及应用第1页
    标题-2018-2019学年高中新创新一轮复习文数通用版:课时达标检测(十二)  函数模型及应用第2页
    标题-2018-2019学年高中新创新一轮复习文数通用版:课时达标检测(十二)  函数模型及应用第3页
    标题-2018-2019学年高中新创新一轮复习文数通用版:课时达标检测(六)  函数的奇偶性及周期性第1页
    标题-2018-2019学年高中新创新一轮复习文数通用版:课时达标检测(六)  函数的奇偶性及周期性第2页
    标题-2018-2019学年高中新创新一轮复习文数通用版:课时达标检测(十一)  函数与方程第1页
    标题-2018-2019学年高中新创新一轮复习文数通用版:课时达标检测(十一)  函数与方程第2页
    标题-2018-2019学年高中新创新一轮复习文数通用版:课时达标检测(十)  函数的图象及其应用第1页
    标题-2018-2019学年高中新创新一轮复习文数通用版:课时达标检测(十)  函数的图象及其应用第2页
    标题-2018-2019学年高中新创新一轮复习文数通用版:课时达标检测(五)  函数的单调性与最值第1页
    标题-2018-2019学年高中新创新一轮复习文数通用版:课时达标检测(五)  函数的单调性与最值第2页
    还剩52页未读, 继续阅读
    下载需要10学贝 1学贝=0.1元
    使用下载券免费下载
    加入资料篮
    立即下载

    2021版高考数学(文)新创新一轮(实用课件+精致讲义+新题检测)全国通用版:第二章 函数的概念与基本初等函数Ⅰ (共18份打包)

    展开

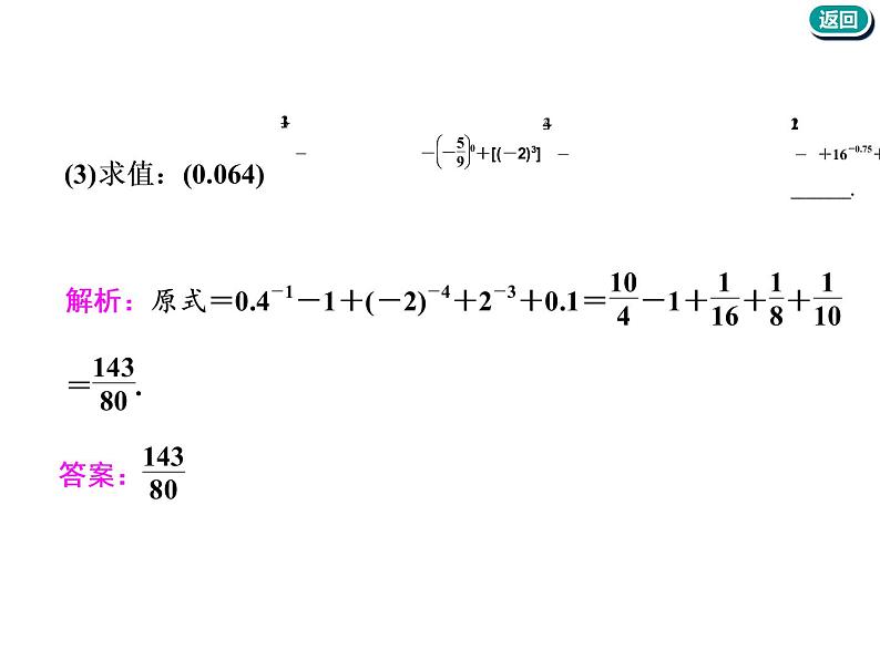
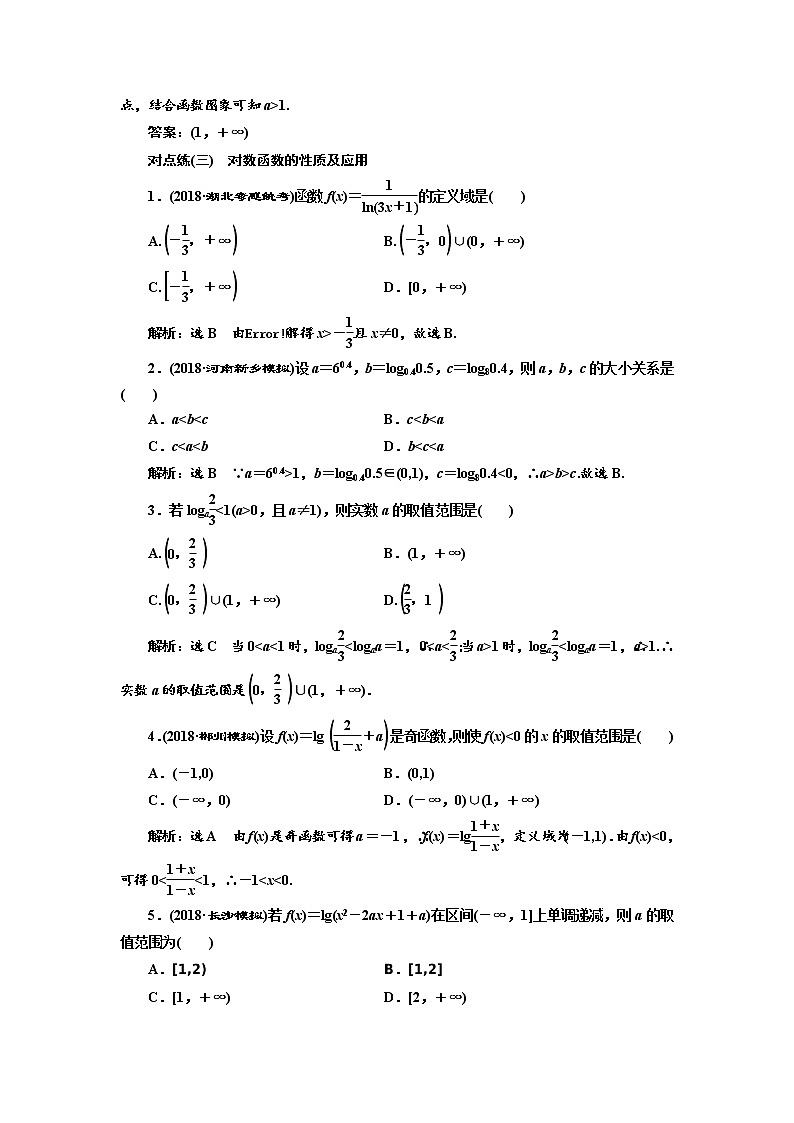
    课时达标检测(五)  函数的单调性与最值[小题对点练——点点落实]对点练() 函数的单调性1(2018·阜阳模拟)给定函数yxylog (x1)y|x1|y2x1.其中在区间(0,1)上单调递减的函数序号是(  )A①② B②③  C③④ D①④解析:B yx(0,1)上递增;②∵tx1(0,1)上递增,且0<<1,故ylog (x1)(0,1)上递减;结合图象可知y|x1|(0,1)上递减;④∵ux1(0,1)上递增,且2>1,故y2x1(0,1)上递增.故在区间(0,1)上单调递减的函数序号是②③.2(2018·天津模拟)若函数f(x)满足对任意x1x2(0,+),当x1<x2时,都有f(x1)>f(x2),则f(x)的解析式可以是(  )Af(x)(x1)2 Bf(x)exCf(x) Df(x)ln(x1)解析:C 根据条件知,f(x)(0,+)上单调递减.对于Af(x)(x1)2(1,+)上单调递增,排除A;对于Bf(x)ex(0,+)上单调递增,排除B;对于Cf(x)(0,+)上单调递减,C正确;对于Df(x)ln(x1)(0,+)上单调递增,排除D.3(2018·宜春模拟)函数f(x)log3(34xx2)的单调递减区间为(  )A(2) B(1)(3,+)C(1) D(1)(2,+)解析:C 由34xx2>0x<1x>3.易知函数y34xx2的单调递减区间为(2),函数ylog3x在其定义域上单调递增,由复合函数的单调性知,函数f(x)的单调递减区间为(1),故选C.4(2018·贵阳模拟)下列四个函数中,在定义域上不是单调函数的是(  )Ay=-2x1 ByCylg x Dyx3解析:B y=-2x1在定义域上为单调递减函数;ylg x在定义域上为单调递增函数;yx3在定义域上为单调递增函数;y(0)(0,+)上均为单调递减函数,但在定义域上不是单调函数.故选B.5.若函数f(x)8x22kx7[1,5]上为单调函数,则实数k的取值范围是(  )A(8] B[40,+)C(8][40,+) D[8,40]解析:C 由题意知函数f(x)8x22kx7的图象的对称轴为x,因为函数f(x)8x22kx7[1,5]上为单调函数,所以15,解得k8k40,所以实数k的取值范围是(8][40,+).故选C.6.定义运算adbc,若函数f(x)(m)上单调递减,则实数m的取值范围是(  )A(2,+) B[2,+)C(,-2) D(,-2]解析:D adbcf(x)(x1)(x3)2×(x)x24x3(x2)27f(x)的单调递减区间为(,-2)函数f(x)(m)上单调递减,(m)(,-2),即m2.故选D.对点练() 函数的最值1.已知a>0,设函数f(x)(x[aa])的最大值为M,最小值为N,那么MN(  )A2 016 B2 018  C4 032 D4 034解析:D 由题意得f(x)2 018.y2 018x1[aa]上是单调递增的,f(x)2 018[aa]上是单调递增的,Mf(a)Nf(a)MNf(a)f(a)4 0364 034.2.已知函数f(x)x22axa在区间(1)上有最小值,则函数g(x)在区间(1,+)上一定(  )A.有最小值 B.有最大值C.是减函数 D.是增函数解析:D 由题意知a<1,又函数g(x)x2a[,+)上为增函数,故选D.3(2018·湖南雅礼中学月考)若函数f(x)(a>0a1)的值域是[4,+),则实数a的取值范围是(  )A(1,2] B(0,2]C[2,+) D(1,2 ]解析:A 当x2时,-x64.x>2时,a(1,2],故选A.4(2018·安徽合肥模拟)已知函数f(x)(x22x)·sin(x1)x1[1,3]上的最大值为M,最小值为m,则Mm(  )A4 B2  C1 D0解析:A 设tx1,则y(x22x)sin(x1)x1(t21)sin tt2t[2,2]g(t)(t21)sin tt2,则函数yg(t)2(t21)sin tt是奇函数.由已知得yg(t)2的最大值为M2,最小值为m2,所以M2(m2)0,即Mm4.故选A.5.已知函数f(x)f(x)的最小值是________解析:x1时,x32 323,当且仅当x,即x时等号成立,此时f(x)min230;当x1时,lg(x21)lg(021)0,此时f(x)min0.所以f(x)的最小值为23.答案:236(2018·益阳模拟)已知函数f(x)的值域为,则函数g(x)f(x)的值域为________解析:f(x).t,则f(x)(1t2),令yg(x),则y(1t2)t,即y=-(t1)21.t时,y有最小值;当t时,y有最大值.g(x)的值域为.答案: [大题综合练——迁移贯通]1.已知函数f(x)ax(1x)(a>0),且f(x)[0,1]上的最小值为g(a),求g(a)的最大值.解:f(x)x,当a>1时,a>0,此时f(x)[0,1]上为增函数,g(a)f(0);当0<a<1时,a<0,此时f(x)[0,1]上为减函数,g(a)f(1)a;当a1时,f(x)1,此时g(a)1.g(a)g(a)(0,1)上为增函数,在[1,+)上为减函数,又a1时,有a1a1时,g(a)取最大值1.2(2018·衡阳联考)已知函数f(x)对于任意xyR,总有f(x)f(y)f(xy),且当x>0时,f(x)<0f(1)=-.(1)求证:f(x)R上是减函数;(2)f(x)[3,3]上的最大值和最小值.解:(1)证明:设x1>x2,则f(x1)f(x2)f(x1x2x2)f(x2)f(x1x2)f(x2)f(x2)f(x1x2).又x>0时,f(x)<0,而x1x2>0f(x1x2)<0,即f(x1)<f(x2)f(x)R上为减函数.(2)f(x)R上是减函数,f(x)[3,3]上也是减函数,f(x)[3,3]上的最大值和最小值分别为f(3)f(3).而f(3)3f(1)=-2,且f(0)f(0)f(0)f(0)0,又f(3)f(3)f(33)0f(3)=-f(3)2.f(x)[3,3]上的最大值为2,最小值为-2.3.已知f(x)(xa)(1)a=-2,试证明f(x)(,-2)内单调递增;(2)a>0f(x)(1,+)上单调递减,求a的取值范围.解:(1)证明:任设x1<x2<2,则f(x1)f(x2).(x12)(x22)>0x1x2<0f(x1)f(x2)<0,即f(x1)<f(x2)f(x)(,-2)上单调递增.(2)任设1<x1<x2,则f(x1)f(x2).a>0x2x1>0要使f(x1)f(x2)>0,只需(x1a)(x2a)>0(1,+)上恒成立,a1.综上所述知a的取值范围是(0,1] 

    文档详情页底部广告位
    • 精品推荐
    • 所属专辑
    欢迎来到教习网
    • 900万优选资源,让备课更轻松
    • 600万优选试题,支持自由组卷
    • 高质量可编辑,日均更新2000+
    • 百万教师选择,专业更值得信赖
    微信扫码注册
    qrcode
    二维码已过期
    刷新

    微信扫码,快速注册

    手机号注册
    手机号码

    手机号格式错误

    手机验证码 获取验证码

    手机验证码已经成功发送,5分钟内有效

    设置密码

    6-20个字符,数字、字母或符号

    注册即视为同意教习网「注册协议」「隐私条款」
    QQ注册
    手机号注册
    微信注册

    注册成功

    返回
    顶部
    Baidu
    map