



浙江省浙江大学附属中学2020届高三数学全真模拟考试试题
展开浙江省浙江大学附属中学2020届高三数学全真模拟考试试题
第Ⅰ卷(选择题部分共40分)
一、选择题:本大题共10小题,每小题4分,共40分,在每小题给出的四个选项中只有一项是符合题目要求的.
1.设集合,Q={x∈R||x|<2}则=
A. B. C. D.
2.若复数,则z的虚部为
A. B. C. D.
3.已知双曲线,则焦点坐标为
A. B. C. D.
4.若x,y满足约束条件,则z=x+2y的最大值是
A. 8
B. 4
C. 2
D. 6
5.函数的部分图像大致为
6.设则“”是“”的
A.充分而不必要条件B.必要而不充分条件
C.充要条件D.既不充分也不必要条件
7,设,已知随机变量ζ的分布列为
那么,当P在(0,1)内增大时, D(ζ)的变化是
A.减小
B.增大
C.先减小后增大
D.先增大后减小
8、已知向量满足,22-(2+)+3=0,则最小值为
A. B. C. D.
9.如图△ABC中,点D是AB上靠近A的三等分点,点E是AC上靠近C的三等分点,沿直线DE将AADE翻折成△A‘DE ,所成二面角A’—DE—B的平面角为α,则
A. B.
C. D.
10.已知正项数列满足,则下列正确的是
A.当a>1时,递增, 递增
B.当a>1时, 递增, 递减
C.当0<a<1时, 递增, 递减
D.当0<a<1时, 递减, 递减
第Ⅱ卷(非选择题部分共110分)
二、填空题:本大题共7小题,多空题每小题6分,单空题每小题4分,共36分.
11.=________:若,则=________
12.空间几何体的三视图如图所示,则该几何体的体积是________,
表面积是________.
13.在△ABC中, BC=4, 点D在AC边上,且3AD=DC,,
,则BD=________,=________.
14.已知,则=________;=________.
15.疫情期间某医院需要安排5名医生去A, B,C三家医院,每家医院至少一名医生,若医生甲去A医院,则医生乙去B医院;若医生甲不去A医院,则医生乙去A医院,则这样的排法共有________种.
16.已知点是椭圆(a>b>0)的左焦点,过原点作直线l交椭圆于A, B两点, M, N分别是AF1, BF1的中点,若存在以MN为直径的圆过原点,则椭圆的离心率的范围是________.
17,对任意x∈R,不等式恒成立,则a的取值范围是________.
三、解答题:本大题共5小题,共74分·解答应写出文字说明、证明过程或演算步骤
18.(本题满分14分)已知函数.
(Ⅰ)求的值和f(x)的单调增区间;
(Ⅱ)函数f(x+θ)是奇函数,求的值域.
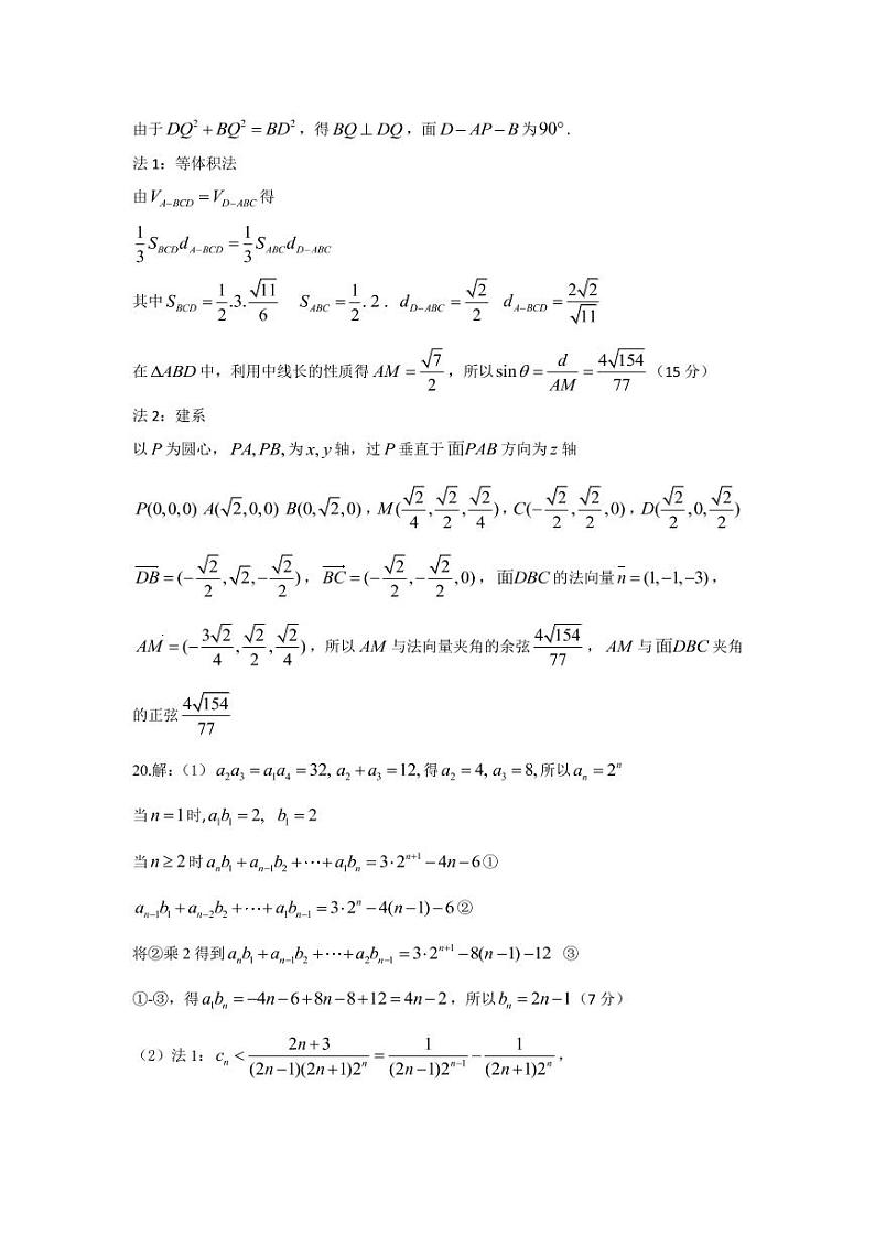
19.(本题满分15分)如图,已知矩形ABCD中, AB=2, AD=1, P为DC的中点,将△ADP沿着AP折起,使得.
(Ⅰ)求证: AD⊥BP;
(Ⅱ)若M是BD的中点,求直线AM与平面DBC所成角的正弦值
20. (本题满分15分)已知{an}是公比q>1的等比数列,且满足,,数列{bn}满足:
(Ⅰ)求数列和的通项公式;
(Ⅱ)令,求证:
21.(本题满分15分)如图,已知抛物线,点P是圆上的任意一点.过点P作两直线分别交抛物线于点A, C, B, D,使得
(Ⅰ)当点M为CD的中点时,证明: PM //y轴;
(Ⅱ)求△PCD面积的取值范围
22. (本题满分15分)已知函数
(Ⅰ)当k=0时,若f(x)≤0,对任意的x∈ (0,+∞)恒成立,求a的范围;
(11)设a≥e,证明:对任意的k>0, f(x)有唯一零点.
(注: e是自然对数的底数)