2020届宁夏银川市第二中学高三上学期统练二数学(理)试题(解析版)
展开
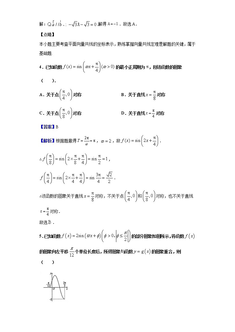
2020届宁夏银川市第二中学高三上学期统练二数学(理)试题 一、单选题1.设集合,集合,则( )A. B. C. D.【答案】B【解析】先求得集合B,再根据并集运算即可得解.【详解】集合解得由并集运算可得故选:B【点睛】本题考查了并集的简单运算,属于基础题.2.已知命题,命题,则是的( )A.充分不必要条件 B.必要不充分条件C.充要条件 D.既不充分也不必要条件【答案】B【解析】【详解】试题分析:由题意得,命题,命题,所以是的必要不充分条件,故选B.【考点】必要不充分条件的判定.3.已知向量,若与共线,则实数( )A. B.1 C. D.3【答案】A【解析】利用向量共线的坐标表示得出,解出即可.【详解】解:,,解得.故选A.【点睛】本小题主要考查平面向量共线的坐标表示,熟练掌握向量共线定理是解题的关键,属于基础题.4.已知函数的最小正周期为,刚该函数的图象( ).A.关于点对称 B.关于直线对称C.关于点对称 D.关于直线对称【答案】B【解析】根据题意得,,故.∴,.∴该函数的图象关于直线对称,不关于点和对称,也不关于直线对称.故选.5.已知函数的部分图象如图所示,将函数的图象向左平移个单位长度后,所得图象与函数的图象重合,则( )A. B.C. D.【答案】A【解析】根据函数(,)的部分图象,可得,∴,根据,∴,故,将函数的图象向左平移个单位长度后,所得图象与函数的图象重合,故,故选A.点睛:题主要考查利用的图象特征,由函数的部分图象求解析式,理解解析式中的意义是正确解题的关键,属于中档题.为振幅,有其控制最大、最小值,控制周期,即,通常通过图象我们可得和,称为初象,通常解出,之后,通过特殊点代入可得,用到最多的是最高点或最低点.6.函数的图像大致是( )A. B.C. D.【答案】C【解析】根据函数特点,判断奇偶性,再通过函数在时的函数值,进行判断,得到答案.【详解】定义域为,,且所以为上的奇函数,A、B排除.当时,分子、分母都为正数,故,排除D项.故选C项.【点睛】本题考查函数的图像与性质,通过排除法进行解题,属于简单题.7.设向量,若,则 ( )A. B.3 C. D.【答案】C【解析】根据向量垂直时数量积为0,结合坐标数量积的表示形式,代入可得.由正切差角公式展开,代入即可求得的值.【详解】向量,,则由向量垂直的坐标关系可得化简可得 由正切差角公式展开可得 故选:C【点睛】本题考查了平面向量数量积的坐标运算,正切差角公式的简单应用,属于基础题.8.在中,内角A,B,C所对的边分别是a,b,c,若,,则的面积是( )A. B. C. D.【答案】C【解析】根据题意,利用余弦定理可得ab,再利用三角形面积计算公式即可得出答案.【详解】由c2=(a﹣b)2+6,可得c2=a2+b2﹣2ab+6,由余弦定理:c2=a2+b2﹣2abcosC=a2+b2﹣ab,所以:a2+b2﹣2ab+6=a2+b2﹣ab,所以ab=6;则S△ABCabsinC;故选:C.【点睛】本题考查余弦定理、三角形面积计算公式,关键是利用余弦定理求出ab的值.9.设是定义在上的奇函数,,当时,有恒成立,则的解集为( )A. B.C. D. 【答案】B【解析】构造函数,由题意可知为上的偶函数.求得后,结合条件可知当时,即在时单调递减.结合函数性质即可解不等式,求得解集.【详解】令,因为是定义在上的奇函数,所以为上的偶函数,当时,,所以在时单调递减,且,若,则,因为为上的偶函数,所以即且 解得或即的解集为故选:B【点睛】本题考查了函数奇偶性的性质应用,构造函数并由导数的单调性解不等式,属于中档题.10.在△ABC中,若22=,则△ABC是( )A.等腰三角形 B.直角三角形C.等腰直角三角形 D.等边三角形【答案】B【解析】由已知利用平面向量数量积的运算,余弦定理可求c2=a2+b2,利用勾股定理即可判断得解.【详解】解: ,化简可得:,∴△ABC是直角三角形.故选B.【点睛】本题主要考查了平面向量数量积的运算,余弦定理,勾股定理在解三角形中的应用,考查了计算能力和转化思想.11.已知三个向量,,共面,且均为单位向量,,则的取值范围是( )A. B. C. D.【答案】A【解析】因为,所以,所以,所以==,则当与同向时最大,最小,此时,,所以=;当与反向时最小,最大,此时 =,,所以,所以的取值范围为,故选A.12.若函数在区间上,对,为一个三角形的三边长,则称函数为“三角形函数”.已知函数在区间上是“三角形函数”,则实数的取值范围为( )A. B. C. D.【答案】D【解析】,所以在单调递减,单调递增,,,则只需,函数就是“三角形函数”,所以,解得,故选D.点睛:本题关键是理解三角形函数的定义,要对任意的都满足,则只需即可(三角形较小的两边之和大于第三边),通过求导得到函数的最小值和最大值,代入计算,得到的取值范围. 二、填空题13.计算:_____.【答案】4【解析】根据先求得的原函数,再根据微积分基本定理即可求得定积分值.【详解】因为所以故答案为:.【点睛】本题考查了定积分的求法,微积分基本定理的简单应用,属于基础题.14.已知函数为偶函数,且,则_____.【答案】【解析】根据时的解析式,结合函数为偶函数,可求得时的解析式.求得导函数,即可求得的值.【详解】设,则则因为函数为偶函数,则所以当时,则所以故答案为:【点睛】本题考查了根据奇偶性求函数解析式,由导数的运算法则求得导函数并求导数值,属于基础题.15.已知向量,,,若向量与共线,则向量在向量方向上的投影为______.【答案】.【解析】【详解】试题分析:根据向量共线求出λ,计算,代入投影公式即可.详解:向量=(1,λ),=(3,1),向量2﹣=(﹣1,2λ﹣1),∵向量2﹣与=(1,2)共线,∴2λ﹣1=﹣2,即λ=.∴向量=(1,),∴向量在向量方向上的投影为||•cos<,>= 故答案为0.点睛:这个题目考查的是向量基本定理的应用;向量的点积运算.解决向量的小题常用方法有:数形结合,向量的三角形法则,平行四边形法则等;建系将向量坐标化;向量基底化,选基底时一般选择已知大小和方向的向量为基底.16.若的面积为,且∠C为钝角,则∠B=_________;的取值范围是_________.【答案】 【解析】根据题干结合三角形面积公式及余弦定理可得,可求得;再利用,将问题转化为求函数的取值范围问题.【详解】,,即,,则,为钝角,,,故.故答案为,.【点睛】此题考查解三角形的综合应用,能够根据题干给出的信息选用合适的余弦定理公式是解题的第一个关键;根据三角形内角的隐含条件,结合诱导公式及正弦定理,将问题转化为求解含的表达式的最值问题是解题的第二个关键. 三、解答题17.已知tan(α+)=-3,α∈(0,).(1)求tanα的值;(2)求sin(2α-)的值.【答案】(1)2 (2)【解析】试题分析:(1)由tan(α+)=-3可得解得tanα=2.(2)由tanα=2,α∈(0,),可得sinα=,cosα=.因此sin2α=2sinαcosα=,cos2α=1-2sin2α=-,sin(2α-)=sin2αcos-cos2αsin=【考点】两角和差的三角公式点评:主要是考查了二倍角公式以及两角和差的公式的运用,属于基础题.18.已知函数Ⅰ求函数的最小正周期和图象的对称轴方程;Ⅱ求函数在区间上的值域.【答案】Ⅰ,对称轴方程为:;【解析】(Ⅰ)首先根据三角函数关系式的恒等变换,把函数的关系式变形成正弦型函数,进一步求出函数的周期和对称轴方程.(Ⅱ)直接利用函数的定义域求出函数的值域.【详解】Ⅰ已知函数,,,. 则函数的最小正周期为:.令,解得:,则函数的对称轴方程为:由于:,则:,所以:,故函数的值域为:【点睛】本题考查的知识要点:正弦型函数的性质对称轴和周期的应用,三角函数关系式的恒等变换,利用函数的定义域求函数的值域,熟记三角函数公式,准确化简是关键,是中档题19.在锐角中,角的对边分别为,且(1)求角的大小;(2)若,求的取值范围.【答案】(1) (2)【解析】(1)先将三角函数表达式化简,结合正弦定理将边化为角的表达式.由正弦和角公式化简,即可求得角.(2)根据正弦定理,由及(1)可表示出.进而用角表示出,由内角和定理及角,将式中的角化为角,利用辅助角公式化简,结合正弦函数的图像与性质即可求得的取值范围.【详解】(1)锐角中,,∴,由正弦定理得,∴,又,∴,又,∴(2)由正弦定理,则有, 则,因为为锐角三角形所以,可得,则, 由正弦函数的图像与性质可得,即【点睛】本题考查了正弦定理在解三角形中的应用,三角恒等变换及辅助角公式的用法,正弦函数的图像与性质的综合应用,属于中档题.20.如图所示,我市某居民小区拟在边长为1百米的正方形地块上划出一个三角形地块种植草坪,两个三角形地块与种植花卉,一个三角形地块设计成水景喷泉,四周铺设小路供居民平时休闲散步,点在边上,点在边上,记.(1)当时,求花卉种植面积关于的函数表达式,并求的最小值;(2)考虑到小区道路的整体规划,要求,请探究是否为定值,若是,求出此定值,若不是,请说明理由.【答案】(1),];最小值为 (2)是定值,且.【解析】(1)根据三角函数定义及,表示出,进而求得.即可用表示出,(2)设,利用正切的和角公式求得,由求得的等量关系.进而求得的值,即可求得的值.【详解】(1)∵边长为1百米的正方形中,,,∴,,∴ ,其中∴当时,即时,S取得最小值为.(2)设,则,在中,,在中,,∴,∵,∴,整理可得,∴,∴,∴是定值,且.【点睛】本题考查了三角函数定义,三角形面积求法,正弦函数的图像与性质应用,正切和角公式的应用,属于中档题.21.已知函数f(x)=,其中a>0.(Ⅰ)若a=1,求曲线y=f(x)在点(2,f(2))处的切线方程;(Ⅱ)若在区间上,f(x)>0恒成立,求a的取值范围.【答案】(Ⅰ)y=6x-9(Ⅱ)0lt;alt;5【解析】试题分析:(1)利用导数求切线斜率即可;
(2)在区间上,恒成立恒成立,令,解得或,以下分两种情况,讨论,分类求出函数最大值即可.试题解析:(1)当a=1时,f(x)=x3-x2+1,f(2)=3;f' (x)=3x2-3x, f' (2)=6.所以曲线y=f(x) 在点(2,f(2))处的切线方程y-3=6(x-2),即y=6x-9.(2)f' (x)=3ax2-3x=3x(ax-1),令f' (x)=0,解得x=0或x=.以下分两种情况讨论:①若0<a≤2,则≥,当x变化时,f' (x),f(x)的变化情况如下表:x(-,0)0(0,)f' (x)+0-f(x)递增极大值递减 当x[-,]上,f(x)>0等价于,即解不等式组得-5<a<5.因此0<a≤2. ②若a>2,则0<<,当x变化时,f' (x),f(x)的变化情况如下表:X(-,0)0(0,)(,)f' (x)+0-0+f'(x)递增极大值递减极小值递增 当x[-,]上,f(x)>0等价于,即解不等式组得<a<5,或a<-.因此2<a<5. 综合①和②,可知a的取值范围为0<a<5.点睛:本题考查导数知识的运用,考查函数函数在某点处的切线方程即函数在某点处的导数即为函数在该点处的切线斜率;考查恒成立问题,除了上述方法外还可正确分离参数是关键,也是常用的一种手段.通过分离参数可转化为或恒成立,即或即可,利用导数知识结合单调性求出或即得解. 22.直角坐标系中,曲线的参数方程为(为参数),曲线.(1)在以为极点,轴的正半轴为极轴的极坐标系中,求的极坐标方程;(2)射线与异于极点的交点为,与的交点为,求.【答案】(1)曲线的极坐标方程为;(2).【解析】【试题分析】(1)利用,消去参数,可求得的普通方程,利用代入化简,可求得的极坐标方程.(2)将分别代入的极坐标方程,求得,.【试题解析】(Ⅰ)曲线:(为参数)化为普通方程为,所以曲线的极坐标方程为, 曲线的极坐标方程为. (Ⅱ)射线与曲线的交点的极径为, 射线与曲线的交点的极径满足,解得, 所以23.设函数.(1)当时,求不等式的解集;(2)若存在,使得不等式对一切恒成立,求实数的取值范围.【答案】(Ⅰ) .(Ⅱ).【解析】(Ⅰ)时,根据绝对值不等式的定义去掉绝对值,求不等式的解集即可;(Ⅱ)不等式的解集为,等价于,求出在的最小值即可.【详解】(Ⅰ)当时,时,不等式化为,解得,即时,不等式化为,不等式恒成立,即时,不等式化为,解得,即综上所述,不等式的解集为(Ⅱ)不等式的解集为 对任意恒成立当时,取得最小值为实数的取值范围是【点睛】本题考查了绝对值不等式的解法与应用问题,也考查了函数绝对值三角不等式的应用问题,属于常规题型.

