


苏教版五下数学分数、小数、解方程简算练习400题
展开
这是一份数学本册综合课时练习,共21页。
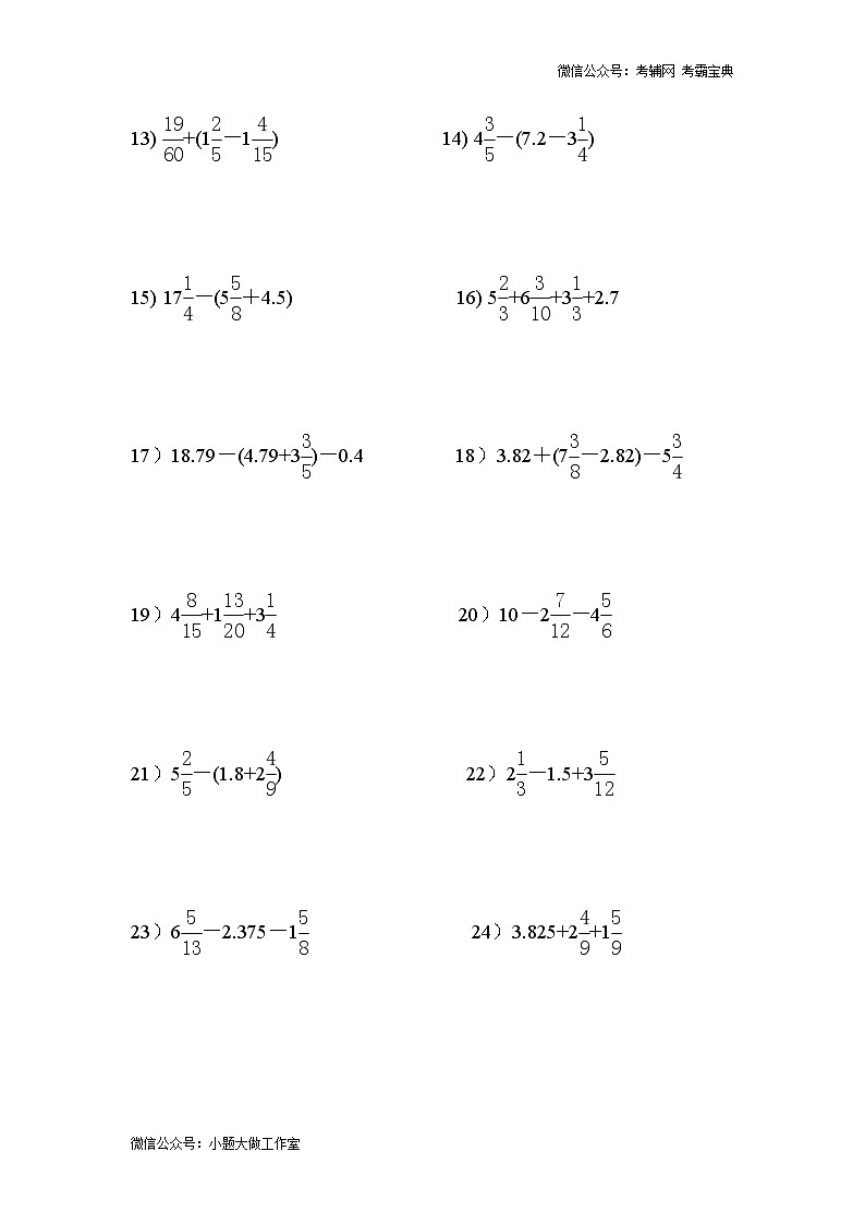
1)-+ 2)4+8+3 3)6-1-3 4)6.5+1-4.8 5)15-5+4.8 6)9.28-3-2-1 7)10-(2+3.9) 8)10-3-2.45+1.6 9) -+ 10) 57+3-4 11) 24-15+6 12) 15-7-2.8 13) +(1-1) 14) 4-(7.2-3) 15) 17-(5+4.5) 16) 5+6+3+2.7 17)18.79-(4.79+3)-0.4 18)3.82+(7-2.82)-5 19)4+1+3 20)10-2-4 21)5-(1.8+2) 22)2-1.5+3 23)6-2.375-1 24)3.825+2+1 25)4-(1.75+) 26)7.42-(5-1.35)-1 27)+ = 28) -= 29) += 30) -= 31) -= 32)5-1= 33) 0.375+= 34) 1.2+= 35)7-1.25= 36)+= 37) -= 38)3-= 39)1+= 40)1+0.3= 41)0.8-= 42)6-2= 43)7-5= 44)2+1+3= 45)7.54-2-0.125= 46)+0.5= 47)0.125+= 48)0.4+= 49)1-0.8 = 50)-0.1 = 51)2.6-2= 52)1-= 53)1+0.4 = 54) 3.6+1+1= 55)0.8-+= 56) 6.43-5-0.375= 57) 0.25+= 58)2.5-= 59) +1.375= 60)3-1.5 = 61)6+3.58+1= 62)3.8-1-1= 63) -(-) = 64) 3-(0.75+2)= 65) 4×9.5×2.5= 66) 3.24+0.8×7= 67)7-2 68) 3+4 69) 3.75+5 70)14-2-5 71) 2-1+2.3 72)1-0.5+2 73)6-(0.15+4) 74) 5.25-(1+3) 75) 2-(7.05-6) 76)2-(0.75+) 77) 4.125+2-2+5 78) 32-12-3 79) 15+1-2 80)4+3.8+1 81)10-(1.5-5) 82) 15.25-2+8 83)14-2.75+1.5-3 84)5.48-(6-2.52)- 85) 4.375+6-4+5 86) (80÷20+80)÷4 87) (3.6-3.6)÷9.1 88) 37.8-16.4-13.6 89) 1.3+2.9+8.7+0.1 90) 1.8+0.2-1.8+0.2 91) 35.72-4.9-(5.72+5.1) 92) 30.8÷[14-(9.85+1.07)] 93) [60-(9.5+28.9)]÷0.18 94) 28-(3.4+1.25×2.4) 95) 2.881÷0.43-0.24×3.5 96) 2.55×7.1+2.45×7.1 97) 0.64×25×7.8+2.2 98) 20×[(2.44-1.8)÷0.4+0.15] 99) 0.8×〔15.5-(3.21+5.79)〕 100) 194-64.8÷1.8×0.9 101) 8.7 × 17.4 - 8.7 × 7.4 102) 5×0.75÷1.5×0.75 103) (6.8-6.8×0.55)÷8.5 104) 2.5×56+4.5×65 105) (9.37+9.37+9.37+9.37)× 2.5 106) - ( + ) 107) + + 108) - ( - ) 109) + - + 110)++ 111)+- 112) -+ 113) -+- 114)-+ 115) -(+)- 116) ++ 117) -- 118) + 119)-(-) 120) -(+) 121) + X-= X+ = -X= -X= +X=1 X- = X-= -X= X-= X-(+)= +X= X+=3 2X-=1- X+= -X= X-= X-(+)= X+= 2X-= -X= +X= X-= -X= -X= X-= 2X-8=18 3X+= X+=1 2x-= x-(+)= 脱式计算(能简算的要简算) -+- 3-+ +++ 1-(+) -(+) -(-) ++ 2--- +-+ ++ -(-) +- -(-) 4-- +++ ++ -- -(-) +++ -- 1) X-3= 3 2)6.75+3X= 18 3)X-9=4 4) =X+0.25 5)3.25+4-X=5 6)x+3=5.375 7)x-7=4 8)-0.6+x=1 9)8-x=7.5-3 10)2+X=6.5 11)4-X=2 12)X-(+0.5)=1 13)7-X=2 14)X+1=6 15)13-X=5+2 16)X+2=4.375 17) X-0.45=6 18)3-(0.83+X)=1.4 19) X-(2+5.75)= 20) 2+X+4=12 21)X-(4+0.75)=2 22)(+)-X-= 23) 3-(X+3)= 24) 5x - 3x= 3.2 25) + x = 26) - x= 27) x - = 28)X-= 29)+X= 30) 3X=4 31)X÷0.4=0.16 32) +x= 33) -x=
相关试卷
这是一份苏教版数学五上 小数四则混合运算的简算及应用(核心考点测评含答案),共8页。试卷主要包含了 小数四则混合运算的简算及应用,5,△ - □ =2,5 米,其余每层的层高都是 3,3 千米,最少跑 2,3 B.3 C.3,5)×2,6 D.3,36等内容,欢迎下载使用。
这是一份小学五年级分数、小数、解方程简算练习400题,共21页。试卷主要包含了5+1 EQ \F -4,2-3 eq \f ),79- )-0,5+28等内容,欢迎下载使用。
这是一份北京版四年级下册一 小数精品习题,共3页。试卷主要包含了93 +0,3+2,4+2,4-0,46—,7+2,26等内容,欢迎下载使用。
