高中数学人教版第一册下册三角函数课后作业题
展开三角函数习题练习
一、单选题(共12题)
1.若 则 ( )
A. B. C. D.
2.将函数 图象上所有的点的横坐标伸长到原来的2倍(纵坐标不变),再把图象向左平移 个单位长度,所得的图象关于 轴对称,则 ( )
A. B. C. D.
3.若, 则的值为
A. B. C. D.
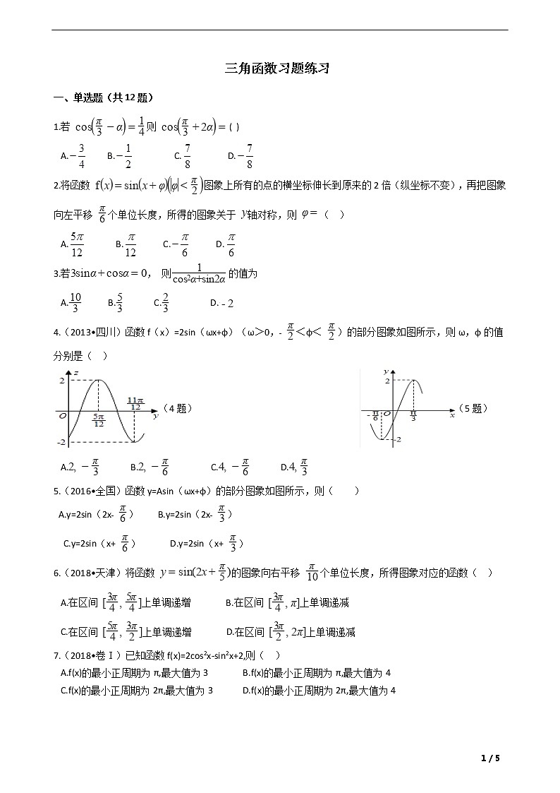
4.(2013•四川)函数f(x)=2sin(ωx+φ)(ω>0,﹣ <φ< )的部分图象如图所示,则ω,φ的值分别是( )
(4题) (5题)
A. B. C. D.
5.(2016•全国)函数y=Asin(ωx+φ)的部分图象如图所示,则( )
A.y=2sin(2x﹣ ) B.y=2sin(2x﹣ )
C.y=2sin(x+ ) D.y=2sin(x+ )
6.(2018•天津)将函数 的图象向右平移 个单位长度,所得图象对应的函数( )
A.在区间 上单调递增 B.在区间 上单调递减
C.在区间 上单调递增 D.在区间 上单调递减
7.(2018•卷Ⅰ)已知函数f(x)=2cos2x-sin2x+2,则( )
A.f(x)的最小正周期为π,最大值为3 B.f(x)的最小正周期为π,最大值为4
C.f(x)的最小正周期为2π,最大值为3 D.f(x)的最小正周期为2π,最大值为4
8.(2018•卷Ⅲ)若 ,则 =( )
A. B. C.- D.-
9.若锐角 满足 ,则 ( )
A. B. C. D.
10.(2013•浙江)已知 ,则tan2α=( )
A. B. C. D.
11.(2013•辽宁)在△ABC,内角A,B,C所对的边长分别为a,b,c.asinBcosC+csinBcosA= b,且a>b,则∠B=( )
A. B. C. D.
12.设a=sin33°,b=cos55°,c=tan35°,则( )
A.a>b>c B.b>c>a C.c>b>a D.c>a>b
二、填空题(共4题;共0分)
13.函数 ( )的部分图象如图所示,则 ________;函数 在区间 上的零点为________.
(13题) (14题)
14.函数 的图象如右图所示,则 的表达式是________.
15.函数 的部分图象如图所示,将函数 的图象向右平移 个单位后得到函数 的图象,若函数 在区间 上的值域为 ,则________.
16.在 中,角 所对的边分别为 , , 的面积 ,则 的周长为________.
三、解答题(共6题;共0分)
17.已知函数
(1)用“五点作图法”在给定的坐标系中,画出函数 在 上的图象.
(2)先将函数 的图象向右平移 个单位后,再将得到的图象上各点的横坐标伸长为原来的4倍,纵坐标不变,得到函数 的图象,求 的对称中心.
18.已知函数 的部分图象如图所示.
(1)求函数 的解析式;
(2)将函数 的图象向右平移 个单位得到函数 ,当 时,求函数 的值域.
19.如图四边形 中, 分别为 的内角 的对边,且满足 .
(1)证明: ;
(2)若 ,设 , 求四边形 面积的最大值.
20.已知函数 的部分图象如图所示.
(1)求 的值及 的单调增区间;
(2)求 在区间 上的最大值和最小值.
21.函数 的部分图象如图所示.
(1)求 及图中 的值;
(2)设 ,求函数 在区间 上的最大值和最小值.
22.已知函数 的部分图象如图所示.
(1)将函数 的图象保持纵坐标不变,横坐标向右平移 个单位后得到函数 的图象,求函数 在 上的值域;
(2)求使 的x的取值范围的集合.
人教A版 (2019)选择性必修 第二册4.1 数列的概念复习练习题: 这是一份人教A版 (2019)选择性必修 第二册<a href="/sx/tb_c4000339_t7/?tag_id=28" target="_blank">4.1 数列的概念复习练习题</a>,共15页。试卷主要包含了单选题,多选题,填空题,解答题等内容,欢迎下载使用。
数学选择性必修 第二册第四章 数列4.1 数列的概念课后作业题: 这是一份数学选择性必修 第二册第四章 数列4.1 数列的概念课后作业题,共12页。试卷主要包含了单选题,填空题,解答题等内容,欢迎下载使用。
高中数学人教A版 (2019)必修 第一册第五章 三角函数5.2 三角函数的概念测试题: 这是一份高中数学人教A版 (2019)必修 第一册第五章 三角函数5.2 三角函数的概念测试题,共4页。试卷主要包含了选择题,多选题,填空题等内容,欢迎下载使用。

