若您为此资料的原创作者,认为该资料内容侵犯了您的知识产权,请扫码添加我们的相关工作人员,我们尽可能的保护您的合法权益。

1/29

2/29

3/29
还剩26页未读, 继续阅读
所属成套资源:2024版七年级上册各科学习资料知识点+练习+试卷
成套系列资料,整套一键下载
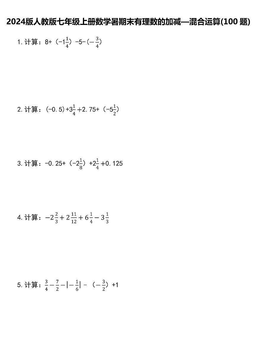
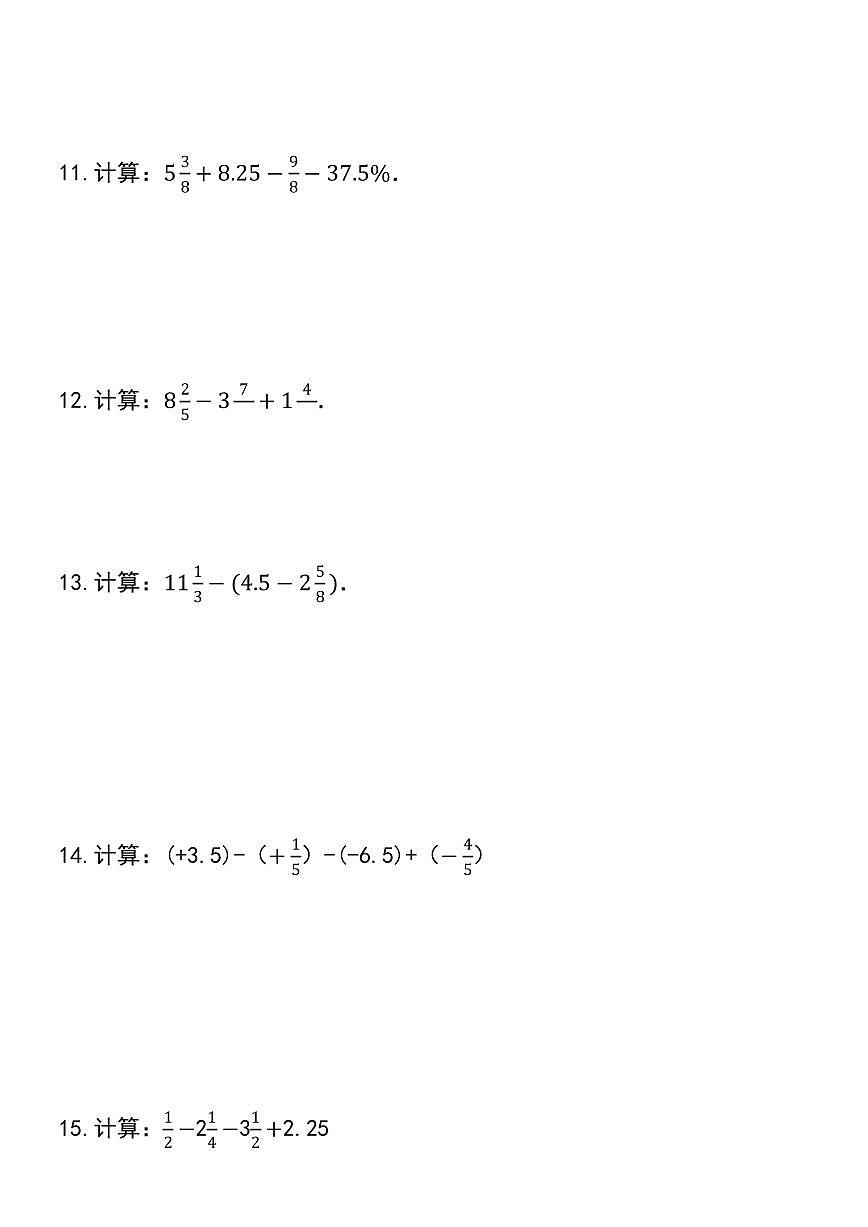
2024版人教版七年级上册上册期末有理数的加减混合运算专项练习含答案
展开 这是一份2024版人教版七年级上册上册期末有理数的加减混合运算专项练习含答案,共29页。
相关试卷 更多
资料下载及使用帮助
版权申诉
- 1.电子资料成功下载后不支持退换,如发现资料有内容错误问题请联系客服,如若属实,我们会补偿您的损失
- 2.压缩包下载后请先用软件解压,再使用对应软件打开;软件版本较低时请及时更新
- 3.资料下载成功后可在60天以内免费重复下载
版权申诉
免费领取教师福利 






